Submitted:
03 June 2023
Posted:
05 June 2023
You are already at the latest version
Abstract
Keywords:
1. Introduction
1.1. FEMR state of art
1.2. Eilat region - geology, faults, and the location of measurement stations
2. FEMR measurements methodology in the Eilat region
2.1. The Instrument and Method
3. Results
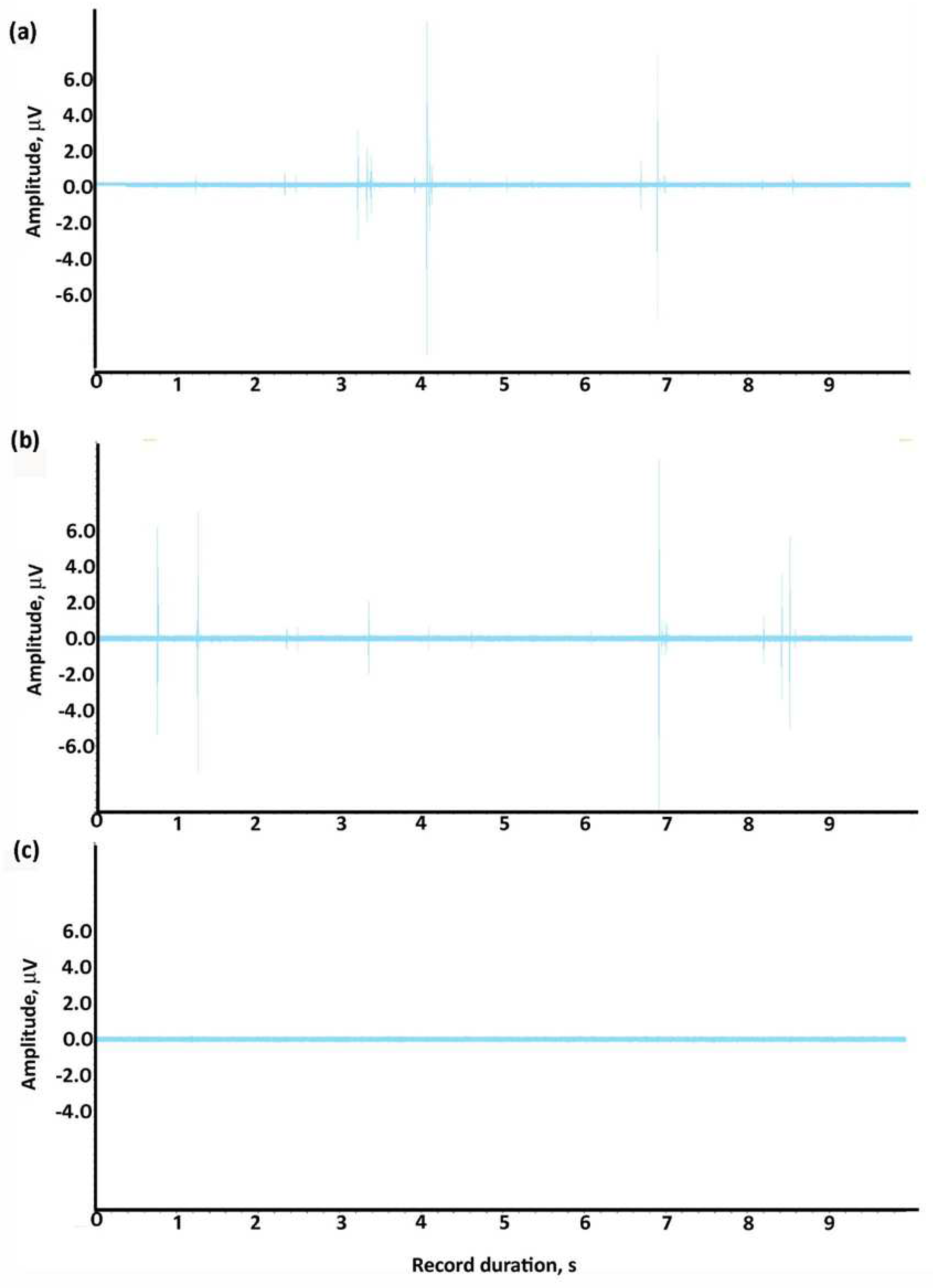
3.1. The results of the FEMR measurements
3.2. The source amplitude of the electromagnetic field of the FEMR signals
3.3. Sources’ distances
3.3.1. Attenuation factor
3.3.2. FEMR amplitudes at the input of the measuring instrument and the antenna factor
3.4. Crack dimensions
3.5. The FEMR source direction
- Wadi Shlomo: 4-7° from the East and 83-86° from the North
- The Birds Park: 14-62° from the East and 28-76° from the North
- The Timna Park: 10-40° from the East and 60-80° from the North
3.6. The FEMR activity
4. Discussion
- the range of micro-fractures lengths associated with the FEMR parameters is between 5-30 cm,
- the amplitude of the FEMR field at the source (micro-fracture) is assessed to be of the order of 150-200 V/m (0.4-0.5 A/m),
- the amplitude of the FEMR field at the input of the recording antennae is estimated to be of the order of ≈10-13-10-14V/m (H≈10-16A/m),
- the distance between the antennae and the FEMR signals' sources is assessed to be of the order of 5 km, while their azimuth of ≈5-60° to the East indicate that the sources of FEMR are indeed within the zone of the Dead Sea transform,
- the range of Mw magnitudes of the impending "EQ's" associated with the micro-fractures is shown to be of the order of -4 to -3, implying that they were created during an early period of a micro-earthquake nucleation,
- conclusion e. is also confirmed by the comparison of the FEMR activities (the number of FEMR hits per unit time) and the associated FEMR magnitudes, with the Gutenberg-Richter relationship in the region.
5. Conclusions
References
- Nur, A. Apocalypse. Earthquakes, Archaeology, and the wrath of God. Princeton University Press Princeton and Oxford, 2008.
- Kramer, S.L. Geotechnical Earth Engineering. Prentice Hall, 1996.
- Bolt, B.A.; Horn, W.L.; Macdonald, G.A.; Scott, R.F. Geological Hazards. Springer-Verlag 1977.
- Kazama, M.; Noda, T. Damage statistics (Summary of the 2011 off the Pacific Coast of Tohoku Earthquake damage). Soils Found. 2012, 52, 780–792. [Google Scholar] [CrossRef]
- Ishida, T.; Kanagawa, T.; Kanaori, Y. Source distribution of acoustic emissions during an in-situ direct shear test: Implications for an analog model of seismogenic faulting in an inhomogeneous rock mass. Eng. Geol. 2010, 110, 66–76. [Google Scholar] [CrossRef]
- Cheon, D.-S.; Jung, Y.-B.; Park, E.-S.; Song, W.-K.; Jang, H.-I. Evaluation of damage level for rock slopes using acoustic emission technique with waveguides. Eng. Geol. 2011, 121, 75–88. [Google Scholar] [CrossRef]
- Deng, L.; Yuan, H.; Chen, J.; Sun, Z.; Fu, M.; Zhou, Y.; Yan, S.; Zhang, Z.; Chen, T. Experimental investigation on progressive deformation of soil slope using acoustic emission monitoring. Eng. Geol. 2019, 261, 105295. [Google Scholar] [CrossRef]
- Mei, C.; Fang, Z.; Wu, W. Slip transition of rock fractures due to chemical corrosion. Eng. Geol. 2022, 308. [Google Scholar] [CrossRef]
- Meng, F.; Wong, L.N.Y.; Zhou, H.; Wang, Z. Comparative study on dynamic shear behavior and failure mechanism of two types of granite joint. Eng. Geol. 2018, 245, 356–369. [Google Scholar] [CrossRef]
- McLaskey, G.C.; Lockner, D.A. Preslip and cascade processes initiating laboratory stick slip. J. Geophys. Res. Solid Earth 2014, 119, 6323–6336. [Google Scholar] [CrossRef]
- Noda, H.; Nakatani, M. Hori, T. Large nucleation before large earthquakes is sometimes skipped due to cascade-up—Implications from a rate and state simulation of faults with hierarchical asperities, J. Geophys. Res. Solid Earth, 2013, 118, 2924–2952. [Google Scholar]
- Rikitake, T. Predictions and precursors of major earthquakes: The Science of Macro-Anomaly Precursory to an Earthquake. Terra Scientific Publishing Company, Tokyo, 2001.
- Bormann, P. From Earthquake Prediction Research to Time-Variable Seismic Hazard Assessment Applications. Pure Appl. Geophys. 2010, 168, 329–366. [Google Scholar] [CrossRef]
- Rabinovitch, A.; Frid, V.; Bahat, D. Use of electromagnetic radiation to predict earthquakes. Geological Magazine. 2018, 155, 992–996. [Google Scholar] [CrossRef]
- Shimamoto, T.; Togo, T. Earthquakes in the Lab. Science 2012, 338, 54–55. [Google Scholar] [CrossRef] [PubMed]
- Hayakawa, M. Earthquake Prediction with Radio Techniques; Wiley: Hoboken, NJ, United States, 2015; ISBN 9781118770160. [Google Scholar]
- Hayakawa, M. Earthquake prediction studies: seismo electromagnetics. Terrapub, Tokyo, 2013.
- Uyeda, S.; Nagao, T.; Kamogawa, M. Short-term earthquake prediction: Current status of seismo-electromagnetics. Tectonophysics 2009, 470, 205–213. [Google Scholar] [CrossRef]
- Liu, Y.; Li, X.; Li, Z.; Chen, P.; Yang, T. Experimental study of the surface potential characteristics of coal containing gas under different loading modes (uniaxial, cyclic and graded). Eng. Geol. 2018, 249, 102–111. [Google Scholar] [CrossRef]
- Das, S.; Mallik, J.; Deb, T.; Das, D. Quantification of principal horizontal stresses inside a tunnel: An application of Fracture induced Electromagnetic Radiation (FEMR) technique in the Darjeeling-Sikkim Himalayas. Eng. Geol. 2020, 279, 105882. [Google Scholar] [CrossRef]
- Rabinovitch, A.; Frid, V.; Bahat, D. Gutenberg-Richter-type relation for laboratory fracture-induced electromagnetic radiation. Phys. Rev. E 2001, 65, 011401. [Google Scholar] [CrossRef] [PubMed]
- Frid, V.; Goldbaum, J.; Rabinovitch, A.; Bahat, D. Time-dependent Benioff strain release diagrams. Philos. Mag. 2011, 91, 1693–1704. [Google Scholar] [CrossRef]
- Baddari, K.; Frolov, A.D.; Tourtchine, V.; Rahmoune, F. An Integrated Study of the Dynamics of Electromagnetic and Acoustic Regimes During Failure of Complex Macrosystems Using Rock Blocks. Rock Mech. Rock Eng. 2010, 44, 269–280. [Google Scholar] [CrossRef]
- Lacidogna, G.; Carpinteri, A.; Manuello, A.; Durin, G.; Schiavi, A.; Niccolini, G.; Agosto, A. Acoustic and Electromagnetic Emissions as Precursor Phenomena in Failure Processes. Strain 2011, 47, 144–152. [Google Scholar] [CrossRef]
- Hadjicontis, V.; Mavromatou, C.; Mastrogiannis, D.; Antsygina, T.N.; Chishko, K.A. Relationship between electromagnetic and acoustic emissions during plastic deformation of gamma-irradiated LiF monocrystals. J. Appl. Phys. 2011, 110. [Google Scholar] [CrossRef]
- Carpinteri, A.; Lacidogna, G.; Manuello, A.; Niccolini, G.; Schiavi, A.; Agosto, A. Mechanical and Electromagnetic Emissions Related to Stress-Induced Cracks. Exp. Tech. 2011, 36, 53–64. [Google Scholar] [CrossRef]
- Rabinovitch, A.; Frid, V.; Bahat, D. Directionality of electromagnetic radiation from fractures. Int. J. Fract. 2017, 204, 239–244. [Google Scholar] [CrossRef]
- Liu, X.; Zhang, Z.; Wang, E.; Wang, X.; Yang, B.; Wang, H. Characteristics of electromagnetic radiation signal of coal and rock under uniaxial compression and its field application. J. Earth Syst. Sci. 2019, 129, 1–11. [Google Scholar] [CrossRef]
- Song, D.; Wang, E.; Song, X.; Jin, P.; Qiu, L. Changes in Frequency of Electromagnetic Radiation from Loaded Coal Rock. Rock Mech. Rock Eng. 2015, 49, 291–302. [Google Scholar] [CrossRef]
- Lou, Q.; Song, D.; He, X.; Li, Z.; Qiu, L.; Wei, M.; He, S. Correlations between acoustic and electromagnetic emissions and stress drop induced by burst-prone coal and rock fracture. Saf. Sci. 2019, 115, 310–319. [Google Scholar] [CrossRef]
- Wang, W.; Song, D.; He, X.; Liu, Q.; Li, Z.; Qiu, L.; Mei, G. Dynamic Propagation and Electro-Mechanical Characteristics of New Microcracks in Notched Coal Samples Studied by the Three-Point Bending Test System and AFM. Minerals 2022, 12, 582. [Google Scholar] [CrossRef]
- Qiu, L.; Zhu, Y.; Song, D.; He, X.; Wang, W.; Liu, Y.; Xiao, Y.; Wei, M.; Yin, S.; Liu, Q. Study on the Nonlinear Characteristics of EMR and AE during Coal Splitting Tests. Minerals 2022, 12, 108. [Google Scholar] [CrossRef]
- Zang, Z.; Li, Z.; Niu, Y.; Tian, H.; Zhang, X.; Li, X.; Ali, M. Energy Dissipation and Electromagnetic Radiation Response of Sandstone Samples with a Pre-Existing Crack of Various Inclinations under an Impact Load. Minerals 2021, 11, 1363. [Google Scholar] [CrossRef]
- Potirakis, S.; Mastrogiannis, D. Critical features revealed in acoustic and electromagnetic emissions during fracture experiments on LiF. Phys. A: Stat. Mech. its Appl. 2017, 485, 11–22. [Google Scholar] [CrossRef]
- Sharma, S.K.; Chauhan, V.S.; Sinapius, M. A review on deformation-induced electromagnetic radiation detection: history and current status of the technique. J. Mater. Sci. 2020, 56, 4500–4551. [Google Scholar] [CrossRef]
- Hayakawa M, Fujinawa Y Electromagnetic Phenomena Related to Earthquake Prediction. Terrapub, Tokyo.1994.
- Qian, S.; Yian, J.; Cao, H.; Shi, S.; Lu, Z.; Li, J.; Ren, K. Results of the observations on seismo-electromagnetic waves at two earthquake areas in China. In: Hayakawa M, Fujinawa Y (Eds) Electromagnetic Phenomena Related to Earthquake Prediction. Terrapub, Tokyo, pp. 205–211. 1994.
- Kapiris, P.G.; Eftaxias, K.A.; Chelidze, T.L. Electromagnetic Signature of Prefracture Criticality in Heterogeneous Media. Phys. Rev. Lett. 2004, 92, 065702. [Google Scholar] [CrossRef]
- Contoyiannis, Y.F.; Eftaxias, K. Tsallis and Levy statistics in the preparation of an earthquake. Nonlinear Process. Geophys. 2008, 15, 379–388. [Google Scholar] [CrossRef]
- Contoyiannis, Y.; Kapiris, P.G.; Eftaxias, K. A Monitoring of a pre-seismic phase from its electromagnetic precursors. Phys. Rev. E. 2005, 71, 066123. [Google Scholar] [CrossRef]
- Contoyiannis, Y.; Potirakis, S.M. Signatures of the symmetry breaking phenomenon in pre-seismic electromagnetic emissions. J. Stat. Mech. Theory Exp. 2018, 2018, 083208. [Google Scholar] [CrossRef]
- Potirakis, S.M.; Minadakis, G.; Nomicos, C.D.; Eftaxias, K. A multidisciplinary analysis for traces of the last state of earthquake generation in preseismic electromagnetic emissions. Nat. Hazards Earth Syst. Sci. 2011, 11, 2859–2879. [Google Scholar] [CrossRef]
- Frid, V. Electromagnetic radiation method water-infusion control in rockburst-prone strata. J. Appl. Geophys. 2000, 43, 5–13. [Google Scholar] [CrossRef]
- Frid, V.; Vozoff, K. Electromagnetic radiation induced by mining rock failure. Int. J. Coal Geol. 2005, 64, 57–65. [Google Scholar] [CrossRef]
- Liu, X.; Zhang, Z.; Wang, E.; Wang, X.; Yang, B.; Wang, H. Characteristics of electromagnetic radiation signal of coal and rock under uniaxial compression and its field application. J. Earth Syst. Sci. 2019, 129, 1–11. [Google Scholar] [CrossRef]
- Qiu, L.; Li, Z.; Wang, E.; Liu, Z.; Ou, J.; Li, X.; Ali, M.; Zhang, Y.; Xia, S. Characteristics and precursor information of electromagnetic signals of mining-induced coal and gas outburst. J. Loss Prev. Process. Ind. 2018, 54, 206–215. [Google Scholar] [CrossRef]
- Liu, X.; Wang, E. Study on characteristics of EMR signals induced from fracture of rock samples and their application in rockburst prediction in copper mine. J. Geophys. Eng. 2017, 15, 909–920. [Google Scholar] [CrossRef]
- Qiu, L.; Wang, E.; Song, D.; Liu, Z.; Shen, R.; Lv, G.; Xu, Z. Measurement of the stress field of a tunnel through its rock EMR. J. Geophys. Eng. 2017, 14, 949–959. [Google Scholar] [CrossRef]
- Li, B.; Li, Z.; Wang, E.; Li, N.; Huang, J.; Ji, Y.; Niu, Y. Discrimination of Different AE and EMR Signals during Excavation of Coal Roadway Based on Wavelet Transform. Minerals 2022, 12, 63. [Google Scholar] [CrossRef]
- He, S.; Qin, M.; Qiu, L.; Song, D.; Zhang, X. Early warning of coal dynamic disaster by precursor of AE and EMR "quiet period". Int. J. Coal Sci. Technol. 2022, 9, 1–14. [Google Scholar] [CrossRef]
- Lichtenberger, M. Underground Measurements of Electromagnetic Radiation Related to Stress-induced Fractures in the Odenwald Mountains (Germany). Pure Appl. Geophys. 2006, 163, 1661–1677. [Google Scholar] [CrossRef]
- Das, S.; Mallik, J.; Dhankhar, S.; Suthar, N.; Singh, A.K.; Dutta, V.; Gupta, U.; Kumar, G.; Singh, R. Application of Fracture Induced Electromagnetic Radiation (FEMR) technique to detect landslide-prone slip planes. Nat. Hazards 2020, 101, 505–535. [Google Scholar] [CrossRef]
- Mallik, J.; Mathew, G.; Angerer, T.; Greiling, R.O. Determination of directions of horizontal principal stress and identification of active faults in Kachchh (India) by electromagnetic radiation (EMR). J. Geodyn. 2008, 45, 234–245. [Google Scholar] [CrossRef]
- Greiling, R.O.; Obermeyer, H. Natural electromagnetic radiation (EMR) and its application in structural geology and neotectonics. J. Geol. Soc. India 2010, 75, 278–288. [Google Scholar] [CrossRef]
- Das, S.; Mallik, J.; Bandyopadhyay, K.; Das, A. Evaluation of maximum horizontal near-surface stress (SHmax) azimuth and its distribution along Narmada-Son Lineament, India by geogenic Electromagnetic Radiation (EMR) technique. J. Geodyn. 2019, 133, 101672. [Google Scholar] [CrossRef]
- Das, S.; Mallik, J.; Deb, T.; Das, D. Quantification of principal horizontal stresses inside a tunnel: An application of Fracture induced Electromagnetic Radiation (FEMR) technique in the Darjeeling-Sikkim Himalayas. Eng. Geol. 2020, 279, 105882. [Google Scholar] [CrossRef]
- Das, D.; Mallik, J.; Das, S.; Deb, T.; Das, A.; Bandyopadhyay, K. Active thrust induced realignment of recent near-surface stresses in the Darjeeling-Sikkim Himalayas: Reasons and implications. J. Struct. Geol. 2021, 145. [Google Scholar] [CrossRef]
- https://eq.gsi.gov.il/en/earthquake/eqsOnMapLF.php.
- Sharon, M.; Sagy, A.; Kurzon, I.; Marco, S.; Rosensaft, M. Assessment of seismic sources and capable faults through hierarchic tectonic criteria: implications for seismic hazard in the Levant. Nat. Hazards Earth Syst. Sci. 2020, 20, 125–148. [Google Scholar] [CrossRef]
- Wetzler, N.; Kurzon, I. The Earthquake Activity of Israel: Revisiting 30 Years of Local and Regional Seismic Records along the Dead Sea Transform. Seism. Res. Lett. 2016, 87, 47–58. [Google Scholar] [CrossRef]
- Hofstetter, A.; Thio, H.K.; Shamir, M. Source mechanism of the 22/11/1995 Gulf of Aqaba earthquake and its aftershock sequence. Journal of Seismology 2003, 7, 99–114. [Google Scholar] [CrossRef]
- Hofstetter, A. Seismic observations of the 22/11/1995 Gulf of Aqaba earthquake sequence. Tectonophysics 2003, 369, 21–36. [Google Scholar] [CrossRef]
- Beth, M.; Eyal, Y.; Garfunkel, Z. The geology of the Eilat Sheet, explanatory notes. GSI report 2013, 22. [Google Scholar]
- Hartman, G.; Niemi, T. M.; Tibor, G.; Ben-Avraham, Z.; Al-Zoubi, A.; Makovsky, Y.; Akawwi, E.; Abueladas, A.-R.; Al-Ruzouq, R. Quaternary tectonic evolution of the Northern Gulf of Eilat/Aqaba along the Dead Sea Transform, J. Geophys. Res. Solid Earth, 2014, 119, 1–23. [Google Scholar] [CrossRef]
- Zilberman, E.; Amit, R.; Porat, N.; Enzel, Y.; Avner, U. Surface ruptures induced by the devastating 1068 AD earthquake in the southern Arava valley, Dead Sea Rift, Israel. Tectonophysics 2005, 408, 79–99. [Google Scholar] [CrossRef]
- Shamir, G. The active structure of the Dead Sea Depression, in Enzel, Y. , Agnon, A., and Stein, M., eds., New frontiers in Dead Sea paleoenvironmental research. Geological Society of America Special Paper 2006, 401, 15–32. [Google Scholar]
- Geological map of Israel 1:50000, Be'er Ora sheet 25-IV (1999), and Eilat sheet 26-I,II 2012. GSI.
- Frid, V.; Wang, E.Y.; Mulev, S.N.; Li, D.X. The Fracture Induced Electromagnetic Radiation: Approach and Protocol for the Stress State Assessment for Mining. Geotech. Geol. Eng. 2021, 39, 3285–3291. [Google Scholar] [CrossRef]
- Rabinovitch, A.; Frid, V.; Bahat, D. Surface oscillations — A possible source of fracture induced electromagnetic radiation. Tectonophysics 2007, 431, 15–21. [Google Scholar] [CrossRef]
- Rabinovitch, A.; Frid, V.; Bahat, D. A note on the amplitude - frequency relation of electromagnetic radiation pulses induced by material failure, Phil. Mag. Lett. 1999, 79, 195–200. [Google Scholar] [CrossRef]
- https://www.ahsystems.com/articles/Antenna-Factor-Calculations.php.
- Frid, V.; Rabinovitch, A.; Bahat, D. Earthquake forecast based on its nucleation stages and the ensuing electromagnetic radiations. Phys. Lett. A 2019, 384, 126102. [Google Scholar] [CrossRef]
- Goodfellow, S.D.; Young, R.P. A laboratory acoustic emission experiment under in situ conditions. Geophys. Res. Lett. 2014, 41, 3422–3430. [Google Scholar] [CrossRef]
- Aoi, S.; Asano, Y.; Kunugi, T.; Kimura, T.; Uehira, K.; Takahashi, N.; Ueda, H.; Shiomi, K.; Matsumoto, T.; Fujiwara, H. MOWLAS: NIED observation network for earthquake, tsunami and volcano. Earth, Planets Space 2020, 72, 1–31. [Google Scholar] [CrossRef]
- Serafini, F.; Naylor, M.; Lindgren, F.; Werner, M.J.; Main, I. Ranking earthquake forecasts using proper scoring rules: binary events in a low probability environment. Geophys. J. Int. 2022, 230, 1419–1440. [Google Scholar] [CrossRef]
- Chelidze, T.; Kiria, T.; Melikadze, G.; Jimsheladze, T.; Kobzev, G. Earthquake Forecast as a Machine Learning Problem for Imbalanced Datasets: Example of Georgia, Caucasus. Front. Earth Sci. 2022, 10. [Google Scholar] [CrossRef]
- Kapiris, P.; Nomicos, K.; Antonopoulos, G.; Polygiannakis, J.; Karamanos, K.; Kopanas, J.; Zissos, A.; Peratzakis, A.; Eftaxias, K. Distinguished seismological and electromagnetic features of the impending global failure: Did the 7/9/1999 M5.9 Athens earthquake come with a warning? Earth, Planets Space 2005, 57, 215–230. [Google Scholar] [CrossRef]
- Eftaxias, K.; Panin, V.; Deryugin, Y. Evolution-EM signals before earthquakes in terms of mesomechanics and complexity. Tectonophysics 2007, 431, 273–300. [Google Scholar] [CrossRef]
- Potirakis, S.; Minadakis, G.; Eftaxias, K. , Relation between seismicity and pre-earthquake electromagnetic emissions in terms of energy, information and entropy content. Nat. Hazards Earth Syst. Sci. 2012, 12, 1179–1183. [Google Scholar] [CrossRef]
- Donner, R.; Potirakis, S.; Balasis, G.; Eftaxias, K; Kurths, J. Temporal correlation patterns in pre-seismic electromagnetic emissions reveal distinct complexity profiles prior to major earthquakes. Phys. Chem. Earth 2015, 85–86, 44–55. [Google Scholar] [CrossRef]
- Baroň, I.; Koktavý, P.; Trčka, T.; Rowberry, M.; Stemberk, J.; Balek, J.; Plan, L.; Melichar, R.; Diendorfer, G.; Macků, R.; et al. Differentiating between artificial and natural sources of electromagnetic radiation at a seismogenic fault. Eng. Geol. 2022, 311. [Google Scholar] [CrossRef]
- Zhuang, J.; Matsu’ura, M.; Han, P. Critical zone of the branching crack model for earthquakes: Inherent randomness, earthquake predictability, and precursor modelling. Eur. Phys. J. Spéc. Top. 2021, 230, 409–424. [Google Scholar] [CrossRef]
- Petrescu, L.; Moldovan, I.-A. Prospective Neural Network Model for Seismic Precursory Signal Detection in Geomagnetic Field Records. Mach. Learn. Knowl. Extr. 2022, 4, 912–923. [Google Scholar] [CrossRef]







Disclaimer/Publisher’s Note: The statements, opinions and data contained in all publications are solely those of the individual author(s) and contributor(s) and not of MDPI and/or the editor(s). MDPI and/or the editor(s) disclaim responsibility for any injury to people or property resulting from any ideas, methods, instructions or products referred to in the content. |
© 2023 by the authors. Licensee MDPI, Basel, Switzerland. This article is an open access article distributed under the terms and conditions of the Creative Commons Attribution (CC BY) license (http://creativecommons.org/licenses/by/4.0/).
