Submitted:
31 May 2023
Posted:
01 June 2023
You are already at the latest version
Abstract
Keywords:
1. Introduction
2. Materials and Methods
2.1. Markov chain bull model
2.2. Economic module
2.2.1. Bull variables.
2.2.2. Economic variables
2.3. Case study
3. Results and discussion
3.1. Performance of the model and results of base scenario at steady state
3.2. Case study
4. Conclusions
Author Contributions
Funding
Institutional Review Board Statement
Informed Consent Statement
Data Availability Statement
Acknowledgments
Conflicts of Interest
Appendix A
| Market Price (USD/dose) | |||||||
| Age Class | NM Bin | A | B | C | D | E | F |
| Young | 1 | 8.96 | 7.10 | 14.65 | 7.10 | 7.10 | 9.81 |
| In-waiting | 7.39 | 7.08 | 8.94 | 15.29 | 6.87 | 8.48 | |
| Proven | 4.18 | 6.04 | 7.07 | 5.54 | 5.00 | 5.74 | |
| Young | 2 | 8.84 | 7.10 | 14.81 | 7.10 | 7.10 | 9.43 |
| In-waiting | 7.45 | 7.30 | 8.02 | 12.74 | 3.52 | 6.52 | |
| Proven | 3.81 | 6.52 | 5.35 | 5.94 | 3.82 | 6.69 | |
| Young | 3 | 7.60 | 5.00 | 9.10 | 7.10 | 7.10 | 9.39 |
| In-waiting | 9.08 | 4.47 | 6.71 | 8.92 | 4.93 | 5.12 | |
| Proven | 6.89 | 5.66 | 6.33 | 15.67 | 2.31 | 5.25 | |
| Young | 4 | 7.89 | 4.15 | 11.52 | 7.10 | 9.52 | 7.24 |
| In-waiting | 5.90 | 6.21 | 6.67 | 9.97 | 2.40 | 6.81 | |
| Proven | 9.03 | 6.24 | 7.84 | 7.10 | 3.38 | 3.48 | |
| Young | 5 | 7.09 | 4.50 | 9.19 | 7.10 | 5.68 | 9.59 |
| In-waiting | 9.24 | 5.03 | 5.56 | 7.10 | 3.21 | 5.03 | |
| Proven | 7.10 | 8.46 | 5.98 | 7.10 | 9.06 | 3.73 | |
| Young | 6 | 9.19 | 6.37 | 10.51 | 7.10 | 8.49 | 9.62 |
| In-waiting | 9.06 | 9.04 | 7.74 | 10.31 | 7.37 | 6.66 | |
| Proven | 4.67 | 7.19 | 3.10 | 7.10 | 7.10 | 4.44 | |
| Young | 7 | 8.99 | 6.72 | 5.14 | 9.34 | 8.83 | 7.74 |
| In-waiting | 8.31 | 7.16 | 5.99 | 7.10 | 7.10 | 6.48 | |
| Proven | 7.10 | 7.10 | 3.59 | 7.10 | 7.10 | 4.30 | |
| Young | 8 | 8.43 | 5.91 | 7.97 | 8.23 | 14.01 | 7.87 |
| In-waiting | 8.71 | 7.50 | 2.82 | 9.30 | 7.10 | 3.71 | |
| Proven | 7.10 | 7.10 | 7.62 | 7.10 | 7.10 | 3.41 | |
| Young | 9 | 9.53 | 5.16 | 8.02 | 8.15 | 7.10 | 9.41 |
| In-waiting | 9.38 | 7.00 | 4.96 | 7.10 | 7.10 | 6.56 | |
| Proven | 7.10 | 7.10 | 7.10 | 7.10 | 7.10 | 7.10 | |
| Young | 10 | 8.55 | 5.64 | 12.37 | 9.47 | 7.10 | 8.43 |
| In-waiting | 8.26 | 7.00 | 8.21 | 10.30 | 7.10 | 8.70 | |
| Proven | 7.10 | 7.10 | 7.10 | 7.10 | 7.10 | 7.10 | |


References
- Cabrera, V.E. A simple formulation and solution to the replacement problem: A practical tool to assess the economic cow value, the value of a new pregnancy, and the cost of a pregnancy loss. J. Dairy Sci. 2012, 95, 4683–4698. [Google Scholar] [CrossRef] [PubMed]
- De Vries, A. Economics of delayed replacement when cow performance is seasonal. J. Dairy Sci. 2004, 87, 2947–2958. [Google Scholar] [CrossRef] [PubMed]
- De Vries, A. Economic value of pregnancy in dairy cattle. J. Dairy Sci. 2006, 89, 3876–3885. [Google Scholar] [CrossRef] [PubMed]
- Schroeder, T.C.; Espinosa, J.A.; Goodwin, B.K. The Value of Genetic Traits in Purebred Dairy Bull Services. Appl. Econ. Perspect. Policy 1992, 14, 215–226. [Google Scholar] [CrossRef]
- VanRaden, P.M.; Cole, J.B.; Parker Gaddis, K.L. Net merit as a measure of lifetime profit: 2018 revision. AIP Res. Rep. 2018, NM, 5–18. [Google Scholar]
- Van Raden, P.M.; Cole, J.B.; Neupane, M.; Toghiani, S.; Gaddis, K.; Tempelman, R.J. Net Merit as a Measure of Lifetime Profit: 2021 Revision. Accessed December 3, 2021. http://go.usa.gov/xybuq.
- Quick, A.E.; Meronek, J.; Amburn, K.; Rozeboom, K.; Weigel, K.A. Predicting sperm production of young dairy bulls using collection history and management factors. J. Dairy Sci. 2021, 04, 5817–5826. [Google Scholar] [CrossRef] [PubMed]
- Cole, J.B.; Dürr, J.W.; Nicolazzi, E.L. Invited review: The future of selection decisions and breeding programs: What are we breeding for, and who decides? J. Dairy Sci. 2021, 104, 5111–5124. [Google Scholar] [CrossRef] [PubMed]
- Cabrera, V.E. A large Markovian linear program for replacement policies to optimize dairy herd net income for diets and nitrogen excretion. J. Dairy Sci. 2010, 93, 394–406. [Google Scholar] [CrossRef]
- Giordano, J.O.; Kalantari, A.; Fricke, P.M.; Wiltbank, M.C.; Cabrera, V.E. A daily herd Markov-chain model to study the reproductive and economic impact of reproductive programs combining timed artificial insemination and estrous detection. J. Dairy Sci. 2012, 95, 5442–5460. [Google Scholar] [CrossRef] [PubMed]
- Hillier, F.S.; Lieberman, G.J. Introduction to Operations Research, 4th ed.; Holden-Day: San Francisco, CA, 1986. [Google Scholar]
- Quick, A.E.; Meronek, J.; Amburn, K.; Rozeboom, K.; Weigel, K.A. Predicting sperm production of young dairy bulls using collection history and management factors. J. Dairy Sci. 2021. [Google Scholar] [CrossRef] [PubMed]




| Variable | Base Value |
| Bull variable evaluated | |
| Current age bin | Bull-specific (1 to 19) |
| Replacement bull variable | |
| Age bin | 1 |
| Net Merit bin | 9 |
| TSp deviation | 0 |
| Arrival age (month) | 6 |
| Herd variable | |
| Bulls in herd | 396 |
| Economic variable | |
| Maintenance cost ($/bull/month) | 900 |
| Depreciation cost ($) | 54,000 |
| Depreciation term (month) | 36 |
| Cost of replacement ($) | 10,000 |
| Salvage value ($) | 850 |
| Packing rate (TSp/straw unit) | 15,000,000 |
| Interest rate (%/year) | 6.00 |
| Market price | See Supplemental Figure A1 for distribution and Supplemental Table A1 for price (Appendix A) |
| Age (month) | AGE (4 month) | TSpBin Ave (Billion Cells) | Involuntary Culling Proportion (%) |
| 10 to 13 | 1 | 99.6 | 0.0067 |
| 14 to 17 | 2 | 229.3 | 0.0040 |
| 18 to 21 | 3 | 296.0 | 0.0014 |
| 22 to 25 | 4 | 342.9 | 0.0041 |
| 26 to 29 | 5 | 366.3 | 0.0030 |
| 30 to 33 | 6 | 386.7 | 0.0063 |
| 34 to 37 | 7 | 403.8 | 0.0104 |
| 38 to 41 | 8 | 399.8 | 0.0162 |
| 42 to 45 | 9 | 415.2 | 0.0100 |
| 46 to 49 | 10 | 398.1 | 0.0148 |
| 50 to 53 | 11 | 406.5 | 0.0088 |
| 54 to 57 | 12 | 422.8 | 0.0215 |
| 58 to 61 | 13 | 450.6 | 0.0202 |
| 62 to 65 | 14 | 489.2 | 0.0094 |
| 66 to 69 | 15 | 485.6 | 0.0250 |
| 70 to 73 | 16 | 486.0 | 0.0200 |
| 74 to 77 | 17 | 469.2 | 0.0571 |
| 78 to 81 | 18 | 433.7 | 0.0789 |
| 82 to 85 | 19 | 259.4 | 1.0000 |
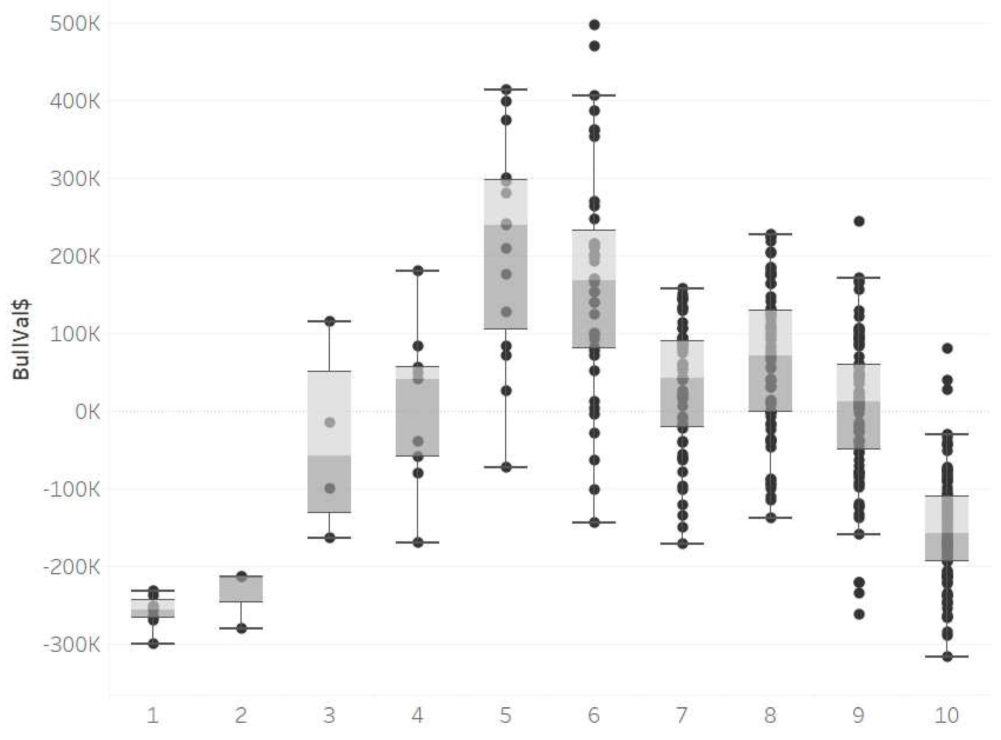
| NM decile bin | NM$ range | Number of bulls | TSp mean deviation % (SD) | Mean BullVal$ (SD) |
| 1 | -151 to 152 | 8 | 4.2 (31.7) | -257,759 (21,280) |
| 2 | 205 to 286 | 3 | -29.9 (26.9) | -235,546 (38,630) |
| 3 | 298 to 351 | 4 | -3.5 (33.7) | -40,291 (120,230) |
| 4 | 361 to 418 | 9 | 5.0 (32.5) | 7,151 (103,780) |
| 5 | 423 to 474 | 15 | -0.3 (26.8) | 210,924 (142,140) |
| 6 | 479 to 559 | 40 | 1.7 (29.3) | 16,8307 (147,720) |
| 7 | 560 to 636 | 55 | -3.0 (21.0) | 30,979 (83,700) |
| 8 | 637 to 692 | 76 | -6.9 (22.4) | 64,302 (93,650) |
| 9 | 693 to 756 | 87 | 4.8 (28.8) | 3,953 (94,440) |
| 10 | 757 to 950 | 99 | 3.6 (41.6) | -151,324 (-71,390) |
| Total | 396 | 0.3 (30.9) | -2,565 (148,450) |
Disclaimer/Publisher’s Note: The statements, opinions and data contained in all publications are solely those of the individual author(s) and contributor(s) and not of MDPI and/or the editor(s). MDPI and/or the editor(s) disclaim responsibility for any injury to people or property resulting from any ideas, methods, instructions or products referred to in the content. |
© 2023 by the authors. Licensee MDPI, Basel, Switzerland. This article is an open access article distributed under the terms and conditions of the Creative Commons Attribution (CC BY) license (http://creativecommons.org/licenses/by/4.0/).
