Preprint
Article

This version is not peer-reviewed.

Bending Analysis of Stepped Rectangular Plates Resting on Elastic Half-Space Foundation

A peer-reviewed article of this preprint also exists.

Submitted:

29 May 2023

Posted:

30 May 2023

You are already at the latest version

Abstract
In this paper, thin plate theory and moderately thick plate theory are proposed for analyzing the bending problem of rectangular plates with stepped thickness resting on elastic half-space foundation. The ground reaction is considered as an unknown coefficient and the hypothesis of Winkler foundation model and two-parameter ground model is eliminated in this method, so as to obtain the law of internal force distribution of the plate and the distribution law of contact reaction force between the stepped rectangular plate and foundation. The stepped rectangular plate is divided into upper and lower plates, and thin plate theory and moderately thick plate theory are used to obtain the analytical solution. The obtained analytical solutions in this paper are compared with results reported in other publications to verify the accuracy of this method. The effects of the elastic modulus and dimensions of the plate, and theory of plate are also considered. The analytical solutions show that it is feasible to decompose the stepped rectangular plate into two plates for analyzing the bending properties of stepped rectangular plate, and this method provide a reference for the study of multilayer stepped rectangular plates.
Keywords: 
;  ;  ;  ;  

1. Introduction

The bending problems of plates and stepped rectangular plates resting on the elastic half-space foundation play an important role in practical engineering. These plates could be found in actual engineering, such as foundation plates in civil engineering [1] and piezoelectric laminated plates in electronic engineering [2].
Shao et al. [3] used Fourier differential quadrature method to study the bending problems of irregular thin plate on Winkler foundation, and the accuracy of this method was verified by numerical analysis. Guarracino et al. [4] gave an example of numerical analysis of thin plates buckling which could ensure that the relationship between load and displacement was correct. Kim et al. [5] introduced a novel analytical solution that could be used to solve the flexural responses of annular sector thin plates, the accuracy of which was demonstrated by existing research conclusions and numerical results. Besides the thin plates, moderately thick plates had also been studied by researchers. Tuivey [6] studied the flexural properties of moderately thick laminated plates on Winkler-Pasternak elastic foundations, and the numerical results were demonstrated by computer implementation. Alinaghizadeh et al. [7] investigated the moderately thick plates rested on two-parameter elastic foundation by employing Generalized Differential Quadrature, and the results were in good agreement with the numerical results. Khezri et al. [8] studied the application of a shear-locking-free formulation based on first-order Mindlin theory formulation, and adopted reproducing kernel particle method to demonstrate the accuracy of the presented method.
Winkler foundation [9,10] and two-parameter foundation [11,12] were two commonly used analysis models for the analysis of mechanical properties of plate. Although the Winkler foundation model was simple, the displacement of the foundation was limited to the loaded area which could not effectively reflect the stress diffusion and deformation, meaning that the accuracy of the calculation results was difficult to be guaranteed. The two-parameter foundation model used two independent parameters to reflect the soil properties, and though this model improved the discontinuity of the Winkler foundation model, the two-parameters were very difficult and complex to be determined.
Therefore, some studies have been done to solve the problem of flexural properties of stepped rectangular plates. Cheung et al. [13] and Cho et al. [14] utilized the finite element method to analyze the mechanical performance of the stepped rectangular plate. Xiang et al. [15] and Radosavljević et al. [16] used Levy type solution method to deal with the stepped rectangular plates. Rahai et al. [17] chose energy method based on modified buckling mode shapes to analyze the buckling performance of stepped plates.
These works provided important insight into the characteristics of the rectangular stepped plates, however, the methods they used are mainly numerical method and finite element method. Therefore, analytical method is proposed to study the flexural response of stepped rectangular plate resting on elastic half-space foundation in this paper, which subjected to static load. The stepped rectangular plate is considered to be composed of two plates with different dimensions and properties (upper and lower plates), and taking into account the thickness of the upper and lower plates, the analytical method is divided into three cases: (1) The upper and lower plates are both thin plates; (2) One plate is thin plate, while the other one is moderately thick plate; (3) The upper and lower plates are both moderately thick plates. Fourier series with supplementary terms are used to obtain the analytical solution, and also, the influence of theory of plate, elastic modulus and dimensions of the plate on the bending performance of stepped rectangular plate are analyzed.

2. Governing equations and results

A stepped rectangular plate, whose upper and lower dimensions of plates are a1×b1 (length×width) and a2× b2 (length×width) respectively, is referred to the Cartesian systems of coordinates x1y1 and x2y2 associated with the external surfaces of upper and lower plates (Figure 1). The contact surface between the upper and lower plates is assumed to exclude their mutual slipping. Uniformly distributed load q ( x 1 , y 1 ) is applied to the external surface of upper plate.

2.1. Both upper and lower parts of the plate are thin plates

2.1.1. Basic equations and boundary conditions

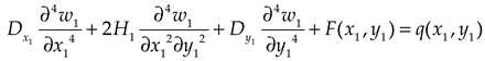
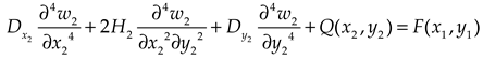
Governing differential equations of the upper and lower plates are given as
Preprints 74982 i001a
Preprints 74982 i001b
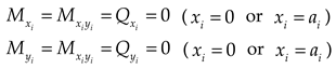
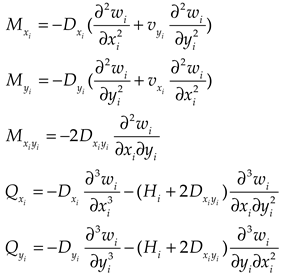
where D x i and D y i are bending stiffness, w i is deflection, F ( x 1 , y 1 ) is interaction force between the upper and lower plates, Q ( x 2 , y 2 ) is subgrade reaction, H i = D x i v y i + 2 D x i y i is equivalent stiffness, v x i and v y i are Poisson ratio, D x i y i is torsional stiffness. The upper and lower plates are numbered i = 1 and i = 2 , respectively.
The internal force of the upper and lower plates could be written in terms of deflection functions:
Preprints 74982 i002
in which M x i is bending moment, M x i y i is twisting moment, Q x i is shear force.
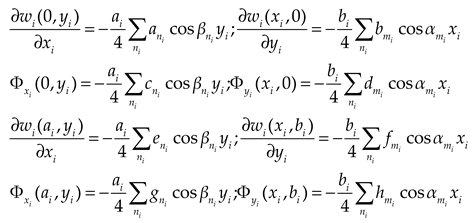
Boundary restrictions are given as
Preprints 74982 i003a
Preprints 74982 i003b
Preprints 74982 i003c

2.1.2. Coordination equation and analytical solution

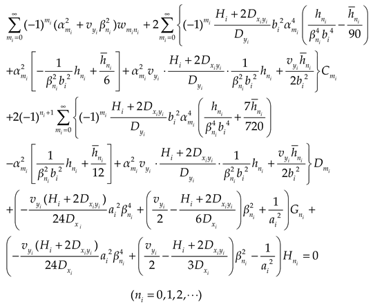
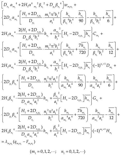
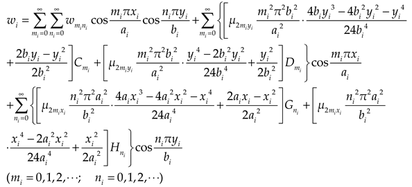
The deflections of the upper and lower plates can be expressed as double cosine series with supplementary terms:
Preprints 74982 i004
where μ 2 m i x i = H i + 2 D x i y i D x i , μ 2 m i y i = H i + 2 D x i y i D y i , w m i n i , C m i , D m i , G n i , H n i are undetermined parameters.
Eq. (4) has four steps’ derivation for rectangular plate with four free edges, which could satisfy the boundary conditions, such as the corner condition and shear force at the boundary. If the plate is made of isotropic material, the Eq. (4) can degenerate into an expression of an isotropic rectangular plate.
Based on Eq. (1), it could be found that F ( x 1 , y 1 ) is related to the control differential equations of the upper and lower plates, so F ( x 1 , y 1 ) can be expanded into double cosine series represented by x 1 , y 1 and x 2 , y 2 .
Preprints 74982 i005
where
Preprints 74982 i006a
Preprints 74982 i006b
Preprints 74982 i006c
x 0 , y 0 represent the relationship between x 1 y 1 and x 2 y 2 coordinate systems, and substituting x 2 = x 1 + x 0 , y 2 = y 1 + y 0 into the integral part of the Eq. (6c):
Preprints 74982 i006d
Hence, Eq. (6) is rewritten as
Preprints 74982 i006e
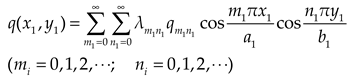
q ( x 1 , y 1 ) is expanded into double cosine series represented by x 1 and y 1 .
Preprints 74982 i007a
where
Preprints 74982 i007b
Subgrade reaction can be expressed in terms of double cosine series as
Preprints 74982 i007c
where
Preprints 74982 i007d
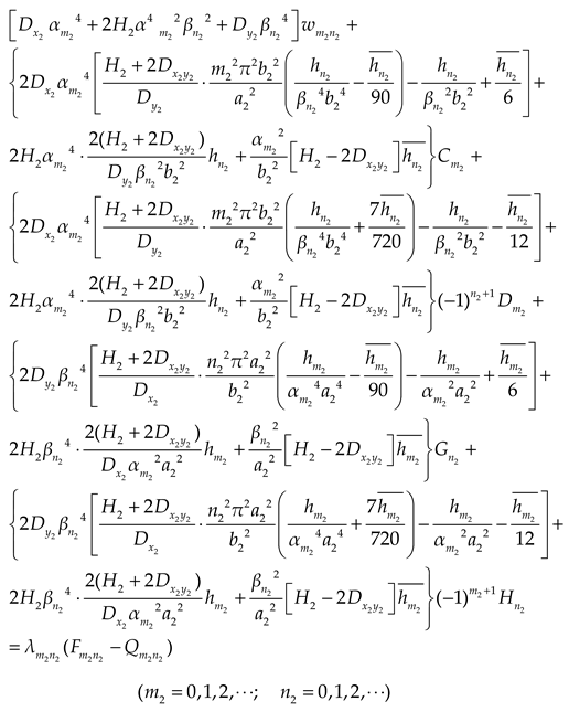
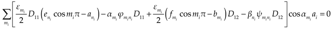
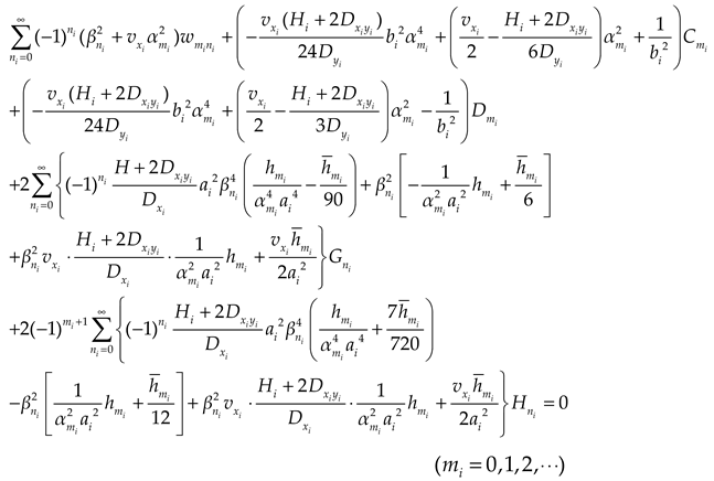
Substituting Eqs. (1a), (5) and (7) into Eqs. (3)~(4), and then expanding the polynomial of the supplementary terms in the formulas to cosine series. Comparing the coefficients of the corresponding items on both sides of the Eqs. (3)~(4), we could obtain the expressions as
Preprints 74982 i008
Preprints 74982 i009
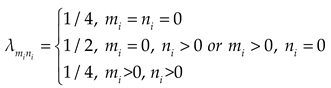
where α m i = m i π a i , β m i = n i π b i and
Preprints 74982 i009a
Considering the boundary conditions of bending moment, we could obtain:
(1) When x i = 0 , M x i = 0
Preprints 74982 i010
(2) When x i = a i , M x i = 0
Preprints 74982 i011
(3) When y i = 0 , M y i = 0
Preprints 74982 i012
(4) When y i = b i , M y i = 0
Preprints 74982 i013
The deflection of the upper and lower plate could be expressed by formula [18]
Preprints 74982 i013a
where
Preprints 74982 i013b
Expanding the deflections of the lower plate into double cosine series at the contacting position with the upper plate
Preprints 74982 i014
Substituting x 2 = x 1 + x 0 , y 2 = y 1 + y 0 into Eq. (14), we obtain
Preprints 74982 i014a
Eq. (8) can be rewritten as
Preprints 74982 i014b
Taking into account that the deflections of upper and lower plates at the contact position are the same, the deformation equation of compatibility is expressed as
Preprints 74982 i015
The double Fourier transform of the ground reaction force is expressed as
Preprints 74982 i016
Expanding w z 2 = 0 into double cosine series form
Preprints 74982 i017
in which
Preprints 74982 i018
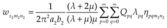
In view of the research contents in the literature [19], w z 2 m 2 n 2 could be expressed as
Preprints 74982 i019
where
Preprints 74982 i019a
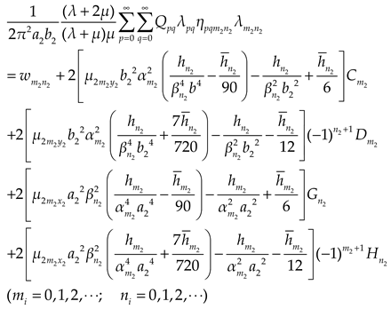
Eq. (4) could be rewritten in double cosine series form, and considering that the plate and surface of the elastic foundation have the same vertical displacement, thus the coefficients of corresponding items are also the same. The deformation equation of compatibility is given as
Preprints 74982 i020
According to Eqs. (8)~(13) and (15)~(20), the undetermined coefficients w m 1 n 1 , F m 1 n 1 , C m 1 , D m 1 , G n 1 , H n 1 , w m 2 n 2 , Q m 2 n 2 , C m 2 , D m 2 , G n 2 , H n 2 could be solved. Substituting the solved coefficients into Eq. (1) and Eq. (4), the subgrade reaction, deflection and internal force of the plate could be obtained.

2.1.3. Example

We consider a stepped rectangular plate resting on the surface of an elastic half space foundation. The dimensions of the upper and lower plate are 4.0m×0.2m (side length × thickness) and 4m×0m (side length × thickness) respectively, and the uniform load q ( x 1 , y 1 ) on the plate is 0.98MPa. In this case, the stepped rectangular plate degenerates into a rectangular plate. The performance parameters of plate and foundation are given in Table 1.
The subgrade reaction, bending moment and deflection of the plate could be obtained by the solution, as shown in Figure 2.
Table 2 shows that the calculated results are consistent with the results in [19]. This comparison proves the effectiveness of the theory proposed in this paper.

2.2. Both upper and lower parts of the plate are moderately thick plates

2.2.1. Basic equations and boundary conditions

The governing differential equations of moderately thick plate are determined by formulas [20]
Preprints 74982 i021
where Φ x i , Φ y i , w i , F , Q are unknown coefficient.
Boundary restrictions are given as
Preprints 74982 i021a

2.2.2. Coordination equation and analytical solution

Expanding Φ x i , Φ y i , w i , F , Q , q into Fourier series
Preprints 74982 i021b
in which Φ m n i i , ψ m i n i , w m i n i , F m 2 n 2 , q m 1 n 1 and Q m i n i are unknown coefficients.
Taking into account the continuous differentiability of the formula on the boundary of the plate, we can write
Preprints 74982 i021c
where a n i , b m i , c n i , d m i , e n i , f m i , g n i and h m i are unknown coefficients. According to boundary conditions, we obtain the expressions
Preprints 74982 i021d
(1) Derived from M x i = 0 on the edge x i = 0 , we obtain the expression
Preprints 74982 i021e
(2) Derived from M x i = 0 on the edge x i = a i , we obtain the expression
Preprints 74982 i021f
(3) Derived from M y i = 0 on the edge y i = 0 , we obtain the expression
Preprints 74982 i021g
(4) Derived from M y i = 0 on the edge y i = b i , we obtain the expression
Preprints 74982 i021h
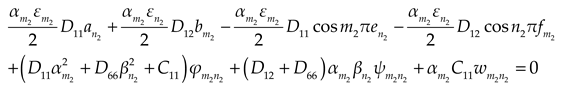
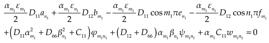
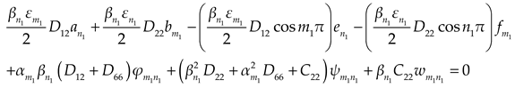
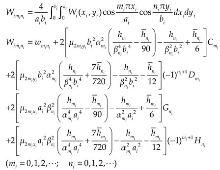
Substituting the unfolded Fourier form of Φ x i , Φ y i and w into the Eq. (17), the expressions are given as
Preprints 74982 i022a
Preprints 74982 i022b
Preprints 74982 i022c
Preprints 74982 i022d
Preprints 74982 i022e
Preprints 74982 i022f
Considering the same displacement of upper and lower plate at the contacting position, thus the deflection equations of the upper and lower plate could be expanded into double cosine series as
Preprints 74982 i022
The deformation coordination equation between the upper and the lower plates is expressed as
Preprints 74982 i022g
The deformation coordination equation between the lower plate and the foundation is given as
Preprints 74982 i023
Through the Eqs. (21), (22), (22) and (23), the undetermined coefficients m i , a n i , b m 1 , e n 1 , f m 1 , φ m i n i , ψ m i n i , w m i n i , F m i n i , Q m 2 n 2 could be simultaneously solved. Substituting the solved coefficients into related formulas, the subgrade reaction, deflection and internal force of the plate could be obtained.

2.2.3. Example

Recalculating the example in 2.1.3 according to the theory mentioned in this section, the results are given in Figure 3.
The calculated results in this paper are consistent with the results in [19], as shown in Table 3. This comparison proves the effectiveness of the theory proposed in this paper.
When the stepped rectangular plate is simultaneously analyzed using moderately thick plate theory and thin plate theory, the same method (as shown in 2.1 and 2.2) could be used to solve the bending moment and deflection formula of the plate.

3. Discussions

3.1. Effect of elastic modulus on the deflection of plate

The dimensions, Poisson ratios and elastic modulus of the rectangular stepped plate and foundation are given in Table 4. The vertical uniform load value is 0.98MPa. The deflection curve of the center line of the plate is shown in Figure 4, in which the number of the curves 1, 2, 3, and 4 indicate that the elastic modulus of the upper plate are 34300MPa, 343000MPa, 686000MPa, and 1029000MPa, respectively.
Through Figure 4, it could be concluded that with the increase of the elastic modulus of the upper plate, deflection at the center of the plate decreases, while the deflection at the edge of the plate increases.

3.2. Influence of plate theory on calculation results of plate deflection

The dimensions, Poisson ratios and elastic modulus of the rectangular stepped plate and foundation are given in Table 5. The vertical uniform load value is 0.98MPa, the thickness of lower plate is 0.2m, 0.3 m, 0.4m, 0.5m, 0.6m, 0.7m, 0.8m, 0.9m, and 1.0m, respectively. The deflection of the center of the lower plate is given in Table 6, in which w 1 and w 2 are the deflection values calculated by thin plate theory and moderately thick plate theory, respectively.
Through the calculation results in Table 6, it can be obtained that when the thickness of the plate is small, the calculation results using the thin plate theory and the moderately thick plate theory are basically the same.

3.3. Influence of side length of upper and lower plates on calculation results of plate deflection

The dimensions of the stepped rectangular plates are given in Table 7. The vertical uniform load value is 0.98MPa. Calculation results can be seen in Figure 5, in which 1, 2, 3, and 4 indicate the side length of the upper plate are 3.0m, 2.0m, 1.0m, and 0.5m, respectively. It could be concluded that the deflection of the center of the plate increases as the size of the upper plate increases.

4. Conclusions

This paper presents a new solving method to obtain the bending moment and deflection of the stepped rectangular plate by using conventional thin plate theory and moderately thick plate theory. Several conclusions can be drawn as following.
(1) Analytical solution of stepped rectangular plate using thin plate theory and moderately thick plate theory is given by formula derivation. Comparing with existing research, it shows that the analysis results are reliable.
(2) The increase of the elastic modulus of the upper plate can effectively reduce the deflection at the center of the plate and slightly increase the deflection at the edge of the plate.
(3) When the thickness of the plate is not large enough, the deflection calculation results using thin plate theory and the moderately thick plate theory are basically the same.
(4) The greater the difference in the side length of the upper and lower plates, the greater the deflection of the stepped rectangular plate. The increase of the deflection at the edge of the plate is not as significant as that at the center of the plate.

Author Contributions

Conceptualization, J. W. and X. L.; methodology, X. L.; software, J.P. ZH.; validation, J. W. and X. L.; formal analysis, X. L.; investigation, X. L.; resources, J. W.; data curation, J.P. ZH.; writing—original draft preparation, J. W. and X. L.; writing—review and editing, J.P. ZH.; visualization, J.P. ZH.; supervision, J. W.; project administration, J. W.; funding acquisition, J. W.

Funding

This research was supported by the Natural Science Foundation of Shaanxi Province (2021JQ-876) and Scientific Research Foundation for High-level Talents (XJ17T08). The authors would like to thank Shaanxi Key Laboratory of Safety and Durability of Concrete Structures for the project testing.

Data Availability Statement

Data sharing is not applicable to this article.

Conflicts of Interest

The authors declare no conflict of interest.

References

  1. Kotousov, A. Effect of plate thickness on stress state at sharp notches and the strength paradox of thick plates. Int J Solids Struct 2010, 47, 1916–1923. [Google Scholar] [CrossRef]
  2. Jiang, H.J.; Liang, L.H.; Ma, L.; Guo, J.; Dai, H.L.; Wang, X.G. An analytical solution of three-dimensional steady thermodynamic analysis for a piezoelectric laminated plate using refined plate theory. Compos. Struct. 2017, 162, 194–209. [Google Scholar] [CrossRef]
  3. Shao, W.T.; Wu, X.H. Fourier differential quadrature method for irregular thin plate bending problems on Winkler foundation. Eng Anal Bound Elem 2011, 35, 389–394. [Google Scholar] [CrossRef]
  4. Guarracino, F.; Walker, A. Some comments on the numerical analysis of plates and thin-walled structures. Thin Wall Struct 2008, 46, 975–980. [Google Scholar] [CrossRef]
  5. Kim, K.; Yoo, C.H. Analytical solution to flexural responses of annular sector thin-plates. Thin Wall Struct 2010, 48, 879–887. [Google Scholar] [CrossRef]
  6. Turvey, G.J. On the flexural response of moderately thick bimodular laminated plates on elastic foundations. Compos. Struct. 1984, 2, 23–47. [Google Scholar] [CrossRef]
  7. Alinaghizadeh, F.; Kadkhodayan, M. Large deflection analysis of moderately thick radially functionally graded annular sector plates fully and partially rested on two-parameter elastic foundations by GDQ method. Aerosp Sci Technol 2014, 39, 260–271. [Google Scholar] [CrossRef]
  8. Khezri, M.; Gharib, M.; Rasmussen, K.J.R. A unified approach to meshless analysis of thin to moderately thick plates based on a shear-locking-free Mindlin theory formulation. Thin Wall Struct 2018, 124, 161–179. [Google Scholar] [CrossRef]
  9. Kaschiev, M.S.; Mikhajlov, K. A beam resting on a tensionless Winkler foundation. Comput Struct. 1995, 55, 261–264. [Google Scholar] [CrossRef]
  10. Allotey, N.; Hesham, M.; Naggar, E. Analytical moment-rotation curves for rigid foundations based on a Winkler model. Soil Dyn. Earthquake Eng. 2023, 23, 367–381. [Google Scholar] [CrossRef]
  11. Çelik, M.; Saygun, A. A method for the analysis of plates on a two-parameter foundation. Int J Solids Struct 1999, 36, 2891–2915. [Google Scholar] [CrossRef]
  12. Glabisz, W. Cellular automata in nonlinear vibration problems of two-parameter elastic foundation. Archives of Civil and Mechanical Engineering 2011, 11, 285–299. [Google Scholar] [CrossRef]
  13. Cheung, Y.K.; Au, F.T.K.; Zheng, D.Y. Finite strip method for the free vibration and buckling analysis of plates with abrupt changes in thickness and complex support conditions. Thin Wall Struct 2000, 36, 89–110. [Google Scholar] [CrossRef]
  14. Cho, D.-S.; Choi, T.-M.; Kim, J.-H.; Vladimir, N. Structural intensity analysis of stepped thickness rectangular plates utilizing the finite element method. Thin Wall Struct 2016, 109, 1–12. [Google Scholar] [CrossRef]
  15. Xiang, Y.; Wei, G.W. Exact solutions for buckling and vibration of stepped rectangular Mindlin plates. Int J Solids Struct 2004, 41, 279–294. [Google Scholar] [CrossRef]
  16. Radosavljević, V.; Dražić, M. Exact solution for buckling of FCFC stepped rectangular plates. Appl. Math. Model. 2010, 34, 3841–3849. [Google Scholar] [CrossRef]
  17. Rahai, A.R.; Alinia, M.M.; Kazemi, S. Buckling analysis of stepped plates using modified buckling mode shapes. Thin Wall Struct 2008, 46, 484–493. [Google Scholar] [CrossRef]
  18. Yan, Z. Fourier series solution in structural mechanics; Tianjin University Press: Tianjin, 1989; [in Chinese]. [Google Scholar]
  19. Wang, C.L. Study on theory of elastic half-space for soli-foundation dynamic interaction. Master thesis, Xi'an University of Architecture and Technology, 2006. [in Chinese]. [Google Scholar]
  20. Hu, H. Variational principle of elasticity and its application; China Science Publishing & Media Ltd.: Beijing, 1981. (in Chinese) [Google Scholar]
Figure 1. Research model.
Figure 1. Research model.
Preprints 74982 g001
Figure 2. Calculation results using thin plate theory: (a) Subgrade reaction; (b) Bending moment of plate ( M y ); (c) Bending moment of plate ( M x ); (d) Deflection of plate.
Figure 2. Calculation results using thin plate theory: (a) Subgrade reaction; (b) Bending moment of plate ( M y ); (c) Bending moment of plate ( M x ); (d) Deflection of plate.
Preprints 74982 g002
Figure 3. Calculation results using thick plate theory: (a) Subgrade reaction; (b) Bending moment of plate ( M y ); (c) Bending moment of plate ( M x ); (d) Deflection of plate.
Figure 3. Calculation results using thick plate theory: (a) Subgrade reaction; (b) Bending moment of plate ( M y ); (c) Bending moment of plate ( M x ); (d) Deflection of plate.
Preprints 74982 g003
Figure 4. Deflection curve of plates with different elastic modulus.
Figure 4. Deflection curve of plates with different elastic modulus.
Preprints 74982 g004
Figure 5. Deflection curve of plates with different side length.
Figure 5. Deflection curve of plates with different side length.
Preprints 74982 g005
Table 1. Performance parameters.
Table 1. Performance parameters.
Poisson ratio Elastic modulus (MPa)
Plate 0.167 34300
Foundation 0.4 343
Table 2. Comparison of calculation results of thin plate.
Table 2. Comparison of calculation results of thin plate.
In this paper [19]
m ) 0.0107 0.0107
Maximum   bending   moment   ( kN m ) 35.558 35.558
Table 3. Comparison of calculation results of thick plate.
Table 3. Comparison of calculation results of thick plate.
In this paper [19]
Maximum deflection (m) 0.0107 0.0107
Maximum   bending   moment   ( kN m ) 35.551 35.558
Table 4. Dimensions and properties of plates with different elastic modulus.
Table 4. Dimensions and properties of plates with different elastic modulus.
Component name Side length (m) Thickness (m) Poisson ratio Elastic modulus (MPa)
Upper plate 2.0 0.1 0.167 Variable
Lower plate 4.0 0.3 0.167 34300
Foundation - - 0.4 343
Table 5. Dimensions and properties of plates with different thickness.
Table 5. Dimensions and properties of plates with different thickness.
Component name Side length (m) Thickness (m) Poisson ratio Elastic modulus (MPa)
Upper plate 2.0 0.2 0.167 34300
Lower plate 2.0 Variable 0.167 34300
Foundation - - 0.4 343
Table 6. Deflection at the center of the lower plate.
Table 6. Deflection at the center of the lower plate.
Thickness of Lower plate (m) w 1 (m) w 2 (m)
0.2 0.0053 0.0052
0.3 0.0042 0.0041
0.4 0.0035 0.0034
0.5 0.0030 0.0030
0.6 0.0027 0.0027
0.7 0.0025 0.0025
0.8 0.0024 0.0024
0.9 0.0023 0.0023
1.0 0.0022 0.0023
Table 7. Dimensions and properties of plates with different side length.
Table 7. Dimensions and properties of plates with different side length.
Component name Side length (m) Thickness (m) Poisson ratio Elastic modulus (MPa)
Upper plate Variable 0.2 0.167 34300
Lower plate 4.0 0.3 0.167 34300
Foundation - - 0.4 343
Disclaimer/Publisher’s Note: The statements, opinions and data contained in all publications are solely those of the individual author(s) and contributor(s) and not of MDPI and/or the editor(s). MDPI and/or the editor(s) disclaim responsibility for any injury to people or property resulting from any ideas, methods, instructions or products referred to in the content.
Copyright: This open access article is published under a Creative Commons CC BY 4.0 license, which permit the free download, distribution, and reuse, provided that the author and preprint are cited in any reuse.
Prerpints.org logo

Preprints.org is a free preprint server supported by MDPI in Basel, Switzerland.

Subscribe

Disclaimer

Terms of Use

Privacy Policy

Privacy Settings

© 2026 MDPI (Basel, Switzerland) unless otherwise stated