Submitted:
22 May 2023
Posted:
23 May 2023
You are already at the latest version
Abstract
Keywords:
1. Introduction
2. Materials and Methods
2.1. Bridge Description

2.2. Load Test Setting
2.2.1. Static Load Test Setting
| Case | Loading Conditions | Num. of Vehicles | No. of Vehicles |
Duration | Loading Section |
Target Location |
GB-radar Location |
|---|---|---|---|---|---|---|---|
| S1 | 1st Stage Loading |
9 | B1-B9 | 5 min | Middle of the N. Main Span | Middle of the N. Main Span | N. Construction Platform |
| S2 | 2nd Stage Loading |
18 | B1-B9 C1-C9 |
30 min | |||
| S3 | 3rd Stage Loading |
27 | A1-A9 B1-B9 C1-C9 |
30min | |||
| S4 | 4th Stage Loading |
36 | A1-A9 B1-B9 C1-C9 D1-D9 |
50 min | |||
| S5 | Unloading Process |
0 | / | 40 min | |||
| S6 | Loading Process |
7 | B1-B7 | 462 sec | Middle of the S. Side Span | Top of the N. Pylon |
N. Bridge Approach |

2.2.2. Dynamic Load Test Setting
| Case | Velocity (km/h) | Presence of Obstacles | Num. of Trucks | GB-radar Location |
|---|---|---|---|---|
| D1 | 20 | No | 2 | N. Construction Platform |
| D2 | 40 | 2 | ||
| D3 | 60 | 2 | ||
| D4 | 80 | 1 | ||
| D5 | 20 | Yes | 1 | |
| D6 | 40 | 1 |

3. Methodology
3.1. Ground-Based Radar Interferometry

| IBIS-S Parameters | |
|---|---|
| Central Frequency/Wavelength | 17.2 GHz/1.75 cm |
| Maximum Operation Range | 1000 m |
| Range Resolution | 0.5 m/0.75 m* |
| Maximum Acquisition Frequency | 200 Hz |
| Nominal Displacement Accuracy | 0.02mm |
| Operating Temperature Range | -20°C to +55°C |
| Antenna Gain | 19dBi (Type ANT-3) |
| Antenna Field of View | Horizontal 17°Vertical 15° |
3.2. Data Acquisition and Processing
3.2.1. Static Monitoring



3.2.2. Dynamic Monitoring

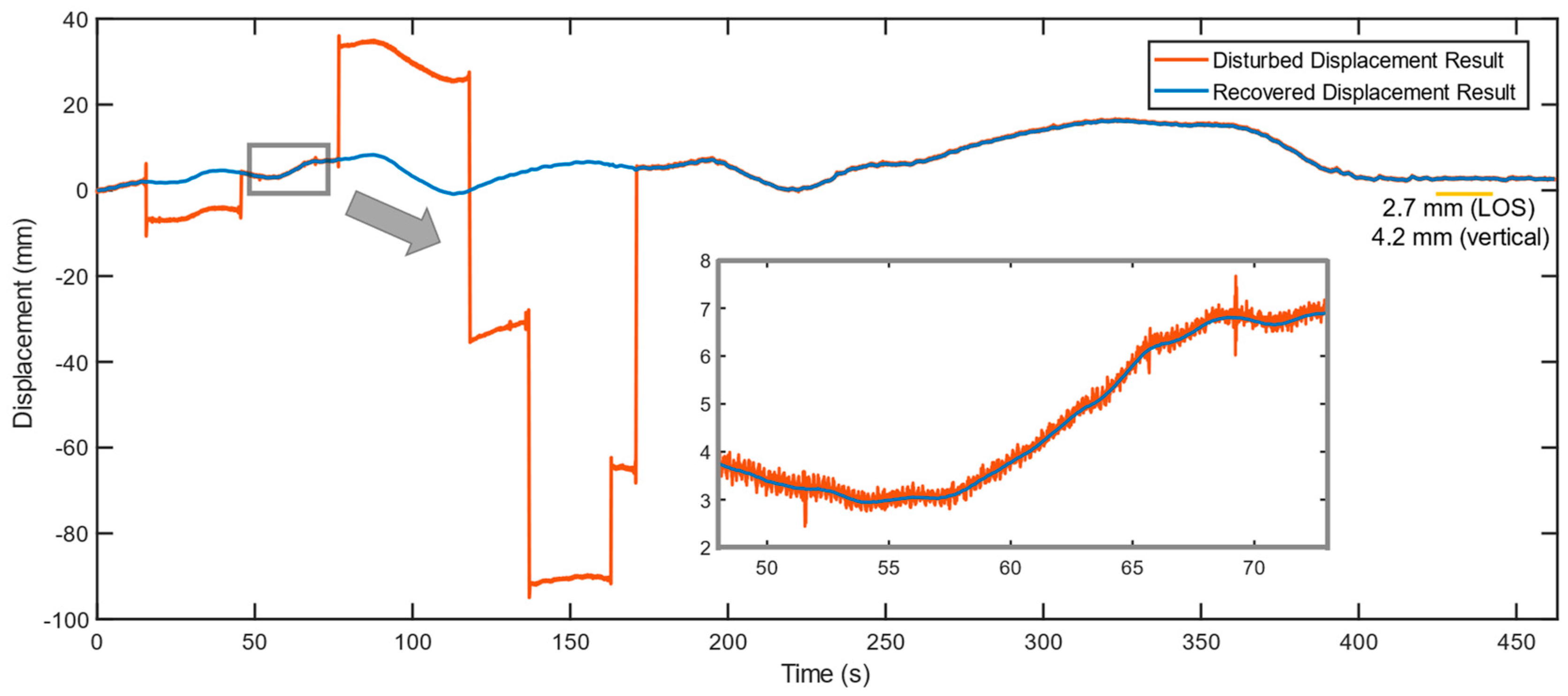
3.3. Detection and Recovery of Phase jumps


3.4. Geometry Projection


4. Results
4.1. Correction of GB-radar Displacements


4.2. Static Displacements

| Point | None (mm) |
S1 (mm) |
S2 (mm) |
S3 (mm) |
S4 (mm) |
S5 (mm) |
|---|---|---|---|---|---|---|
| L-1 | 0.0 | -272.3 | -402.8 | -719.8 | -832.4 | -10.3 |
| L-2 | 0.0 | -211.5 | -402.8 | -629.1 | -831.0 | -12.4 |
| R-2 | 0.0 | -179.9 | -401.2 | -585.8 | -831.3 | -11.4 |
| R-1 | 0.0 | -117.5 | -402.5 | -504.1 | -840.2 | -10.3 |
| Mean1 | 0.0 | -195.3 | -402.1 | -609.7 | -833.7 | -11.1 |
| Rb442 | / | -116.1 | -392.3 | -518.2 | -845.1 | -10.5 |
| Difference2 | / | 1.4 | 10.2 | -14.1 | -4.9 | -0.2 |
4.3. Dynamic Displacements




| Case | Max. Positive Disp. (mm) |
Max. Negative Disp. (mm) |
Max. Dynamic Strain (με) |
Impact Coeff. (1+μ) |
|---|---|---|---|---|
| D1 | 9.4 | -16.5 | 53.28 | 1.011 |
| D2 | 12.3 | -17.2 | 53.33 | 1.023 |
| D3 | 8.6 | -16.8 | 55.27 | 1.020 |
| D4 | 5.6 | -10.3 | 27.77 | 1.033 |
| D5 | 7.2 | -6.3 | 28.73 | 1.072 |
| D6 | 6.7 | -7.8 | 28.75 6 | 1.068 |
4.4. Ambient Vibrations
| Mode1 | Frequency | ||
|---|---|---|---|
| Theoretical (Hz) | Accelerometer (Hz) | IBIS-S2 (Hz) | |
| V-A-1 | 0.159 | 0.191 | 0.2 (IBISDV) |
| L-A-1 | 0.207 | 0.211 | |
| V-S-1 | 0.246 | 0.281 | 0.28 (IBISDV) 0.28247 |
| L-S-1 | 0.266 | 0.306 | 0.30601 |
| V-A-2 | 0.271 | 0.309 | 0.30993 |
| T-S-1 | / | 0.386 | / |
| V-S-2 | 0.359 | 0.397 | 0.4 (IBISDV) 0.39624 |
| V-A-3 | 0.406 | 0.474 | 0.47471 |
| V-S-3 | 0.459 | 0.511 | 0.51001 |
| V-A-4 | 0.514 | 0.572 | / |
| V-S-4 | 0.523 | 0.593 | / |
| V-A-5 | 0.580 | 0.634 | 0.63556 |
| V-S-5 | 0.593 | 0.652 | / |
| T-S-2 | / | 0.663 | / |

5. Discussions
5.1. Implications of Continuous Deformation Observations

5.2. Potentials and Limitations in GB-radar SHM
6. Conclusions
- With a maximum displacement of -845.1 mm, all cases are precisely identified in static load test. Good agreements between the results from radar and established geodetic methods indicate the superior performance and useability of the instrument for monitoring long-span bridges.
- A method for detecting and recovering phase jumps is proposed and utilized to recover a measurement disturbed by vehicle motion. The investigation of geometry projection shows the urgent need to apply the precise geometry projection method, especially under large deformation scenarios.
- Continuous deformations with a maximum deformation rate of 0.31 mm/min were observed, indicating a postconstruction settlement caused by soil consolidation under a massive load abruptly applied on the bridge foundation. The good accordance of GB-radar ambient vibrations and accelerometer results proves the GB-radar’s capability to pick up low-frequency vibrations with good accuracy and demonstrates its potential to be utilized as an SHM substitute in future applications.
- To best avoid the motion-induced phase jumps, it’s suggested to switch to antennas with a limited field of view to prevent the vehicles or other irrelevant objects from emerging into the target range bin. It’s also advised to move the maintenance vehicles to the measurement points to gain an improved backscattering.
Author Contributions
Funding
Data Availability Statement
Conflicts of Interest
References
- Cai, H.; Abudayyeh, O.; Abdel-Qader, I.; Attanayake, U.; Barbera, J.; Almaita, E. Bridge Deck Load Testing Using Sensors and Optical Survey Equipment. Advances in Civil Engineering 2012, 2012, 493983. [Google Scholar] [CrossRef]
- Lantsoght, E.O.L.; Veen, C.v.d.; Boer, A.d.; Hordijk, D.A. State-of-the-art on load testing of concrete bridges. Engineering Structures 2017, 150, 231–241. [Google Scholar] [CrossRef]
- Zhang, G.; Wu, Y.; Zhao, W.; Zhang, J. Radar-based multipoint displacement measurements of a 1200-m-long suspension bridge. ISPRS Journal of Photogrammetry and Remote Sensing 2020, 167, 71–84. [Google Scholar] [CrossRef]
- Sabato, A.; Niezrecki, C.; Fortino, G. Wireless MEMS-Based Accelerometer Sensor Boards for Structural Vibration Monitoring: A Review. IEEE Sensors Journal 2017, 17, 226–235. [Google Scholar] [CrossRef]
- Fukuda, Y.; Feng, M.Q.; Narita, Y.; Kaneko, S.i.; Tanaka, T. Vision-Based Displacement Sensor for Monitoring Dynamic Response Using Robust Object Search Algorithm. IEEE Sensors Journal 2013, 13, 4725–4732. [Google Scholar] [CrossRef]
- Drumea, A.; Vasile, A.; Comes, M.; Blejan, M. System on Chip Signal Conditioner for LVDT Sensors. In Proceedings of the 2006 1st Electronic Systemintegration Technology Conference, 5-7 Sept. 2006; pp. 629–634. [Google Scholar]
- Colesanti, C.; Ferretti, A.; Prati, C.; Rocca, F. Comparing GPS, optical leveling and permanent scatterers. In Proceedings of the IGARSS 2001. Scanning the Present and Resolving the Future. Proceedings. IEEE 2001 International Geoscience and Remote Sensing Symposium (Cat. No.01CH37217), 9-13 July 2001; vol.2626, pp. 2622–2624. [Google Scholar]
- Ribeiro, D.; Calçada, R.; Ferreira, J.; Martins, T. Non-contact measurement of the dynamic displacement of railway bridges using an advanced video-based system. Engineering Structures 2014, 75, 164–180. [Google Scholar] [CrossRef]
- Strozzi, T.; Werner, C.; Wiesmann, A.; Wegmuller, U. Topography Mapping With a Portable Real-Aperture Radar Interferometer. IEEE Geoscience and Remote Sensing Letters 2012, 9, 277–281. [Google Scholar] [CrossRef]
- Pieraccini, M.; Miccinesi, L. Ground-Based Radar Interferometry: A Bibliographic Review. Remote Sensing 2019, 11. [Google Scholar] [CrossRef]
- Pieraccini, M. Monitoring of Civil Infrastructures by Interferometric Radar: A Review. The Scientific World Journal 2013, 2013, 786961. [Google Scholar] [CrossRef]
- Jiang, L. Ground-Based Radar. In International Encyclopedia of Geography: People, the Earth, Environment and Technology; 2017; pp. 1–4. [Google Scholar]
- Tarchi, D.; Rudolf, H.; Luzi, G.; Chiarantini, L.; Coppo, P.; Sieber, A.J. SAR interferometry for structural changes detection: a demonstration test on a dam. In Proceedings of the IEEE 1999 International Geoscience and Remote Sensing Symposium. IGARSS’99 (Cat. No.99CH36293), 28 June-2 July 1999; vol.1523, pp. 1522–1524. [Google Scholar]
- Tarchi, D.; Rudolf, H.; Pieraccini, M.; Atzeni, C. Remote monitoring of buildings using a ground-based SAR: Application to cultural heritage survey. International Journal of Remote Sensing 2000, 21, 3545–3551. [Google Scholar] [CrossRef]
- Rödelsperger, S.; Läufer, G.; Gerstenecker, C.; Becker, M. Monitoring of displacements with ground-based microwave interferometry: IBIS-S and IBIS-L. Journal of Applied Geodesy 2010, 4, 41–54. [Google Scholar] [CrossRef]
- Gikas, V. Ambient vibration monitoring of slender structures by microwave interferometer remote sensing. Journal of Applied Geodesy 2012, 6, 167–176. [Google Scholar] [CrossRef]
- Sofi, M.; Lumantarna, E.; Zhong, A.; Mendis, P.A.; Duffield, C.; Barnes, R. Determining dynamic characteristics of high rise buildings using interferometric radar system. Engineering Structures 2018, 164, 230–242. [Google Scholar] [CrossRef]
- Zhou, L.; Guo, J.; Wen, X.; Ma, J.; Yang, F.; Wang, C.; Zhang, D. Monitoring and Analysis of Dynamic Characteristics of Super High-rise Buildings using GB-RAR: A Case Study of the WGC under Construction, China. Applied Sciences 2020, 10. [Google Scholar] [CrossRef]
- Farrar, C.R.; Darling, T.W.; Migliori, A.; Baker, W.E. MICROWAVE INTERFEROMETERS FOR NON-CONTACT VIBRATION MEASUREMENTS ON LARGE STRUCTURES. Mechanical Systems and Signal Processing 1999, 13, 241–253. [Google Scholar] [CrossRef]
- Pieraccini; Massimiliano; Fratini; Matteo; Parrini; Filippo; Atzeni; rlo, C. Dynamic Monitoring of Bridges Using a High-Speed Coherent Radar. IEEE Transactions on Geoscience & Remote Sensing 2006. [CrossRef]
- Huang, Q.; Wang, Y.; Luzi, G.; Crosetto, M.; Monserrat, O.; Jiang, J.; Zhao, H.; Ding, Y. Ground-Based Radar Interferometry for Monitoring the Dynamic Performance of a Multitrack Steel Truss High-Speed Railway Bridge. Remote Sensing 2020, 12. [Google Scholar] [CrossRef]
- Huang, Q.; Luzi, G.; Monserrat, O.; Crosetto, M. Ground-based synthetic aperture radar interferometry for deformation monitoring: a case study at Geheyan Dam, China. Journal of Applied Remote Sensing 2017, 11, 036030. [Google Scholar] [CrossRef]
- Liu, L.; Jiang, L.; Sun, Y.; Wang, H.; Sun, Y.; Xu, H. Diurnal fluctuations of glacier surface velocity observed with terrestrial radar interferometry at Laohugou No. 12 Glacier, western Qilian mountains, China. Journal of Glaciology 2019, 65, 239–248. [Google Scholar] [CrossRef]
- Luzi, G.; Pieraccini, M.; Mecatti, D.; Noferini, L.; Macaluso, G.; Tamburini, A.; Atzeni, C. Monitoring of an Alpine Glacier by Means of Ground-Based SAR Interferometry. IEEE Geoscience and Remote Sensing Letters 2007, 4, 495–499. [Google Scholar] [CrossRef]
- Noferini, L.; Pieraccini, M.; Mecatti, D.; Macaluso, G.; Atzeni, C.; Mantovani, M.; Marcato, G.; Pasuto, A.; Silvano, S.; Tagliavini, F. Using GB-SAR technique to monitor slow moving landslide. Engineering Geology 2007, 95, 88–98. [Google Scholar] [CrossRef]
- Romeo, S.; Cosentino, A.; Giani, F.; Mastrantoni, G.; Mazzanti, P. Combining Ground Based Remote Sensing Tools for Rockfalls Assessment and Monitoring: The Poggio Baldi Landslide Natural Laboratory. Sensors 2021, 21. [Google Scholar] [CrossRef] [PubMed]
- Michel, C.; Keller, S. Advancing Ground-Based Radar Processing for Bridge Infrastructure Monitoring. Sensors 2021, 21, 2172. [Google Scholar] [CrossRef] [PubMed]
- Felguera-Martín, D.; González-Partida, J.-T.; Almorox-González, P.; Burgos-García, M.; Dorta-Naranjo, B.-P. Interferometric inverse synthetic aperture radar experiment using an interferometric linear frequency modulated continuous wave millimetre-wave radar. IET Radar, Sonar & Navigation 2011, 5, 39–47. [Google Scholar] [CrossRef]
- Coppi, F.; Gentile, C.; Paolo Ricci, P.; Tomasini, E.P. A Software Tool for Processing the Displacement Time Series Extracted from Raw Radar Data. AIP Conference Proceedings 2010, 1253, 190–201. [Google Scholar] [CrossRef]
- Lyu, L.; Cui, B.; Zhong, H.; Gu, Y.; Guo, Z. Study on Nonlinear Stability of Structure for Main Bridge of Fifth Changjiang River Bridge in Nanjing. Bridge Construction 2019, 49, 40–45. [Google Scholar]
- New bridge over Yangtze opens to traffic in east China. Xinhua 2020.
- Qi, J.; Bao, Y.; Wang, J.; Li, L.; Li, W. Flexural behavior of an innovative dovetail UHPC joint in composite bridges under negative bending moment. Engineering Structures 2019, 200, 109716. [Google Scholar] [CrossRef]
- Lu, K.; Xu, Q.; Li, W.; Hu, Y.; Wang, J.; Yao, Y. Fatigue performance of UHPC bridge deck system with field-cast dovetail joint. Engineering Structures 2021, 237, 112108. [Google Scholar] [CrossRef]
- Oliveira Pedro, J.J.; Reis, A.J. Composite cable-stayed bridges: state of the art. Proceedings of the Institution of Civil Engineers - Bridge Engineering 2016, 169, 13–38. [Google Scholar] [CrossRef]
- Jian, B.; Li, M.; Li, M.; Su, Y. Influence of wind yaw angle and pylon interference on the buffeting responses of cable-stayed bridges during construction. Structure and Infrastructure Engineering 2021, 1–15. [Google Scholar] [CrossRef]
- Massonnet, D.; Briole, P.; Arnaud, A. Deflation of Mount Etna monitored by spaceborne radar interferometry. Nature 1995, 375, 567–570. [Google Scholar] [CrossRef]
- Hensley, S.; Moller, D.; Oveisgharan, S.; Michel, T.; Wu, X. Ka-Band Mapping and Measurements of Interferometric Penetration of the Greenland Ice Sheets by the GLISTIN Radar. IEEE Journal of Selected Topics in Applied Earth Observations and Remote Sensing 2016, 9, 2436–2450. [Google Scholar] [CrossRef]
- Kampes, B.M. Radar interferometry; Springer Dordrecht, 2006. [Google Scholar]
- Werner, C.; Strozzi, T.; Wiesmann, A.; Wegmuller, U. A Real-Aperture Radar for Ground-Based Differential Interferometry. In Proceedings of the IGARSS 2008 - 2008 IEEE International Geoscience and Remote Sensing Symposium, 7-11 July 2008; pp. III - 210–III - 213. [Google Scholar]
- Ma, D.; Li, Y.; Liu, Y.; Cai, J.; Zhao, R. Vibration Deformation Monitoring of Offshore Wind Turbines Based on GBIR. Journal of Ocean University of China 2021, 20, 501–511. [Google Scholar] [CrossRef]
- Dong, H.; Wang, J.; Song, Q. The analysis and verification about the update rate constraint for the interferometric radar of displacement measurement. In Proceedings of the 2016 IEEE International Geoscience and Remote Sensing Symposium (IGARSS), 10-15 July 2016; pp. 2634–2637. [Google Scholar]
- IBIS-FS Brochure. 2017.
- Gentile, C.; Bernardini, G. Radar-based measurement of deflections on bridges and large structures. European Journal of Environmental and Civil Engineering 2010, 14, 495–516. [Google Scholar] [CrossRef]
- Moreira, A.; Prats-Iraola, P.; Younis, M.; Krieger, G.; Hajnsek, I.; Papathanassiou, K.P. A tutorial on synthetic aperture radar. IEEE Geoscience and Remote Sensing Magazine 2013, 1, 6–43. [Google Scholar] [CrossRef]
- Ma, P.; Lin, H.; Wang, W.; Yu, H.; Chen, F.; Jiang, L.; Zhou, L.; Zhang, Z.; Shi, G.; Wang, J. Toward Fine Surveillance: A review of multitemporal interferometric synthetic aperture radar for infrastructure health monitoring. IEEE Geoscience and Remote Sensing Magazine 2022, 10, 207–230. [Google Scholar] [CrossRef]
- Akima, H. A New Method of Interpolation and Smooth Curve Fitting Based on Local Procedures. J. ACM 1970, 17, 589–602. [Google Scholar] [CrossRef]
- Xing, C.; Wang, P.; Dong, W. Research on the bridge monitoring method of ground-based radar. Arabian Journal of Geosciences 2020, 13, 1–10. [Google Scholar] [CrossRef]
- Senne, J.H.; Smith, T.K. Dynamics of Highway Bridges; HR-67; Iowa Engineering Experiment Station: Ames, Iowa, 1961. [Google Scholar]
- SWANNELL, P.; MILLER, C. THEORETICAL AND EXPERIMENTAL STUDIES OF A BRIDGE-VEHICLE SYSTEM. Proceedings of the Institution of Civil Engineers 1987, 83, 613–635. [Google Scholar] [CrossRef]
- Li, Y. Experimental study on the analysis method of bridge traffic impact coefficient test. Master’s thesis, Chongqing Jiaotong University, 2012.
- Pieraccini, M.; Dei, D.; Mecatti, D. Interferometric radar for testing large structures with a built-in seismic accelerometer. Sensors and Actuators A: Physical 2013, 204, 25–30. [Google Scholar] [CrossRef]
- Kuras, P.; Ortyl, Ł.; Owerko, T.; Salamak, M.; Łaziński, P. GB-SAR in the Diagnosis of Critical City Infrastructure—A Case Study of a Load Test on the Long Tram Extradosed Bridge. Remote Sensing 2020, 12. [Google Scholar] [CrossRef]
- Farnsworth, C.B.; Bartlett, S.F.; Negussey, D.; Stuedlein, A.W. Rapid Construction and Settlement Behavior of Embankment Systems on Soft Foundation Soils. Journal of Geotechnical and Geoenvironmental Engineering 2008, 134, 289–301. [Google Scholar] [CrossRef]
- Zhang, W.; Su, Q.; Zhang, J.; Zhang, L. Settlement Observation and Evaluation of Bridge on Railway Passenger-Dedicated Line in Gale and Gobi Area. In ICTE 2013; 2013; pp. 943–948. [Google Scholar]
- Zaman, M.; Gopalasingam, A.; Laguros, J.G. Consolidation Settlement of Bridge Approach Foundation. Journal of Geotechnical Engineering 1991, 117, 219–240. [Google Scholar] [CrossRef]
- Sanayei, M.; Phelps, J.E.; Sipple, J.D.; Bell, E.S.; Brenner, B.R. Instrumentation, nondestructive testing, and finite-element model updating for bridge evaluation using strain measurements. Journal of Bridge Engineering 2012, 17, 130–138. [Google Scholar] [CrossRef]
- Ochieng, F.X.; Hancock, C.M.; Roberts, G.W.; Le Kernec, J. A review of ground-based radar as a noncontact sensor for structural health monitoring of in-field wind turbines blades. Wind Energy 2018, 21, 1435–1449. [Google Scholar] [CrossRef]
- He, Z.; Li, W.; Salehi, H.; Zhang, H.; Zhou, H.; Jiao, P. Integrated structural health monitoring in bridge engineering. Automation in Construction 2022, 136, 104168. [Google Scholar] [CrossRef]
- Luzi, G.; Pieraccini, M.; Mecatti, D.; Noferini, L.; Guidi, G.; Moia, F.; Atzeni, C. Ground-based radar interferometry for landslides monitoring: atmospheric and instrumental decorrelation sources on experimental data. IEEE Transactions on Geoscience and Remote Sensing 2004, 42, 2454–2466. [Google Scholar] [CrossRef]
- Liu, J.; Yang, H.; Cai, J.; Zhao, B.; Peng, J.; Gao, Z.; Yang, W. Validation of the phase difference method for atmospheric correction in GB-SAR. Journal of Spatial Science 2022, 67, 523–536. [Google Scholar] [CrossRef]
Disclaimer/Publisher’s Note: The statements, opinions and data contained in all publications are solely those of the individual author(s) and contributor(s) and not of MDPI and/or the editor(s). MDPI and/or the editor(s) disclaim responsibility for any injury to people or property resulting from any ideas, methods, instructions or products referred to in the content. |
© 2023 by the authors. Licensee MDPI, Basel, Switzerland. This article is an open access article distributed under the terms and conditions of the Creative Commons Attribution (CC BY) license (http://creativecommons.org/licenses/by/4.0/).