Submitted:
19 May 2023
Posted:
22 May 2023
You are already at the latest version
Abstract
Keywords:
1. Introduction
2. Materials and Methods
2.1. Insects
2.2. Plant materials extraction procedure
2.3. Settling behavior of Diaphorina citri
2.4. Antifeedent activity of A. absinthium essential oil against D. citri
2.5. Ovicidal toxicity of ABEO
2.6. Effect of ABEO on fitness and development of Diaphorina citri
- Nf = Final number of D. citri
- N0>N0 = Initial number of D. citri
- Δt= Total number of days for the experiment
2.7. Toxicity against non-targeted organisms
2.8. Statistical analysis
3. Results
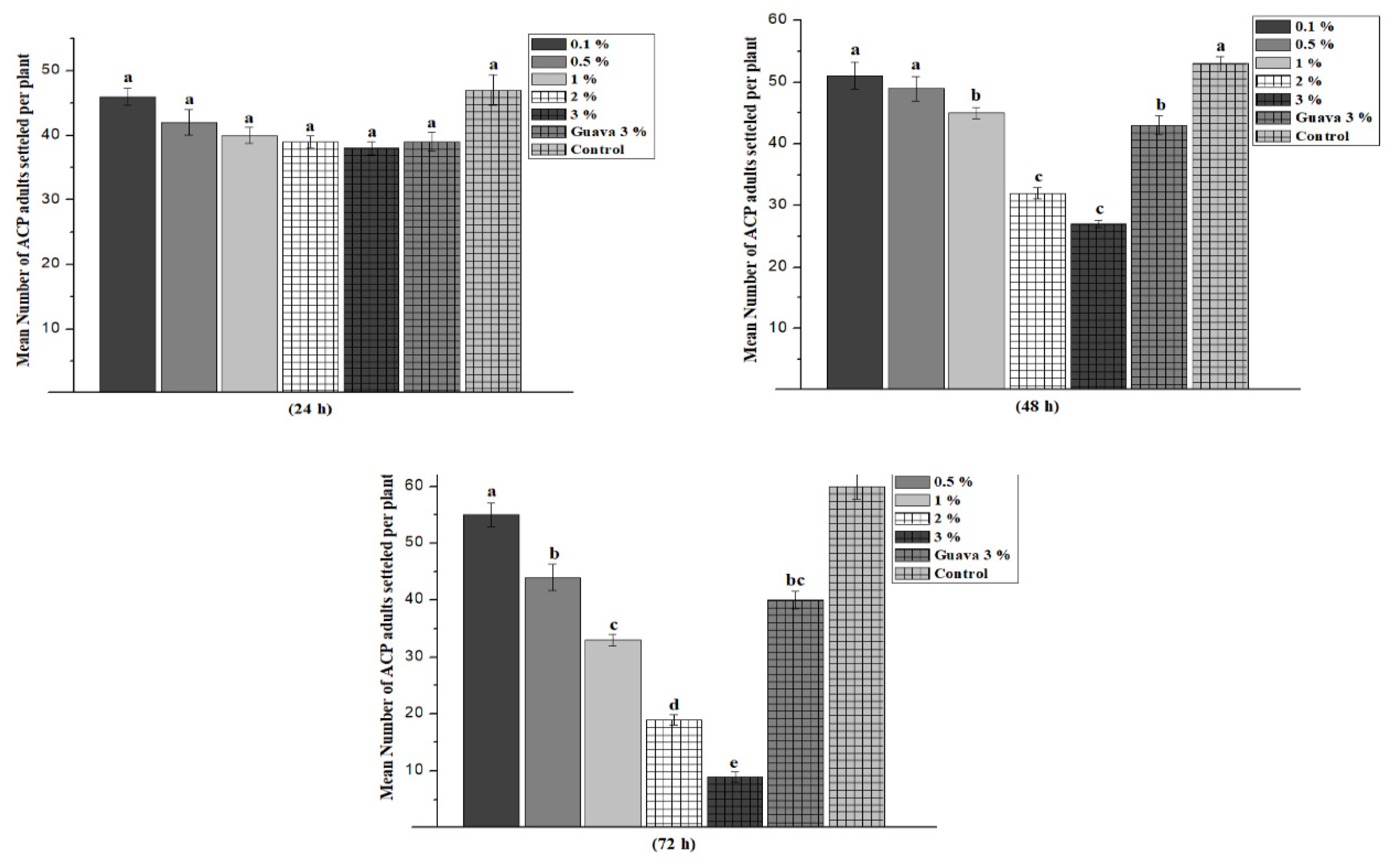
3.1. Effect of ABEO on settling behavior of Diaphorina citri
3.2. Effect of ABEO on Diaphorina citri feeding
3.3. Effect of ABEO on eggs hatchability of D. citri
3.4. Population parameters
3.5. Toxicity of ABEO against Aphis mellifera
4. Discussion
5. Conclusions
Author Contributions
Funding
Acknowledgments
Conflicts of Interest
References
- Bové, J.M. Huanglongbing: a destructive, newly-emerging, century-old disease of citrus. Journal of plant pathology 2006, 7–37. [Google Scholar]
- Rizvi, S.A.H.; Ling, S.; Tian, F.; Liu, J.; Zeng, X. Interference mechanism of Sophora alopecuroides L. alkaloids extract on host finding and selection of the Asian citrus psyllid Diaphorina citri Kuwayama (Hemiptera: Psyllidae). Environmental science and pollution research international 2019, 26, 1548–1557. [Google Scholar] [CrossRef] [PubMed]
- Zaka, S.M.; Zeng, X.N.; Holford, P.; Beattie, G.A.C. Repellent effect of guava leaf volatiles on settlement of adults of citrus psylla, Diaphorina citri Kuwayama, on citrus. Insect Science 2010, 17, 39–45. [Google Scholar] [CrossRef]
- Halbert, S.E.; Manjunath, K.L. Asian citrus psyllids (Sternorrhyncha: Psyllidae) and greening disease of citrus: a literature review and assessment of risk in Florida. Florida entomologist 2004, 87, 330–353. [Google Scholar] [CrossRef]
- Byrne, F.J.; Daugherty, M.P.; Grafton-Cardwell, E.E.; Bethke, J.A.; Morse, J.G. Evaluation of systemic neonicotinoid insecticides for the management of the Asian citrus psyllid Diaphorina citri on containerized citrus. Pest management science 2017, 73, 506–514. [Google Scholar] [CrossRef]
- Srinivasan, R.; Hoy, M.A.; Singh, R.; Rogers, M.E. Laboratory and field evaluations of Silwet L-77 and kinetic alone and in combination with imidacloprid and abamectin for the management of the Asian citrus psyllid, Diaphorina citri (Hemiptera: Psyllidae). Florida Entomologist 2008, 91, 87–100. [Google Scholar] [CrossRef]
- Witten, I.H.; Frank, E.; Hall, M.A.; Pal, C.J. Data Mining: Practical machine learning tools and techniques; Morgan Kaufmann: 2016.
- Singerman, A.; Rogers, M.E. The economic challenges of dealing with citrus greening: The case of Florida. Journal of Integrated Pest Management 2020, 11, 3. [Google Scholar] [CrossRef]
- Chen, X.-D.; Kaur, N.; Horton, D.R.; Cooper, W.R.; Qureshi, J.A.; Stelinski, L.L. Crude Extracts and Alkaloids Derived from Ipomoea-Periglandula Symbiotic Association Cause Mortality of Asian Citrus Psyllid Diaphorina citri Kuwayama (Hemiptera: Psyllidae). Insects 2021, 12, 929. [Google Scholar] [CrossRef]
- Tian, F.; Rizvi, S.A.H.; Liu, J.; Zeng, X. Differences in susceptibility to insecticides among color morphs of the Asian citrus psyllid. Pesticide biochemistry and physiology 2020, 163, 193–199. [Google Scholar] [CrossRef]
- Zhang, X.; Huang, Y.; Chen, W.-J.; Wu, S.; Lei, Q.; Zhou, Z.; Zhang, W.; Mishra, S.; Bhatt, P.; Chen, S. Environmental occurrence, toxicity concerns, and biodegradation of neonicotinoid insecticides. Environmental Research 2023, 218, 114953. [Google Scholar] [CrossRef]
- Rizvi, S.A.H.; Ling, S.; Zeng, X. Seriphidium brevifolium essential oil: a novel alternative to synthetic insecticides against the dengue vector Aedes albopictus. Environmental Science and Pollution Research 2020, 27, 31863–31871. [Google Scholar] [CrossRef] [PubMed]
- Tripathi, A.K.; Upadhyay, S.; Bhuiyan, M.; Bhattacharya, P. A review on prospects of essential oils as biopesticide in insect-pest management. Journal of Pharmacognosy and Phytotherapy 2009, 1, 052–063. [Google Scholar]
- Isman, M.B. Bridging the gap: moving botanical insecticides from the laboratory to the farm. Industrial Crops and Products 2017, 110, 10–14. [Google Scholar] [CrossRef]
- Rizvi, S.A.H.; Ling, S.; Tian, F.; Xie, F.; Zeng, X. Toxicity and enzyme inhibition activities of the essential oil and dominant constituents derived from Artemisia absinthium L. against adult Asian citrus psyllid Diaphorina citri Kuwayama (Hemiptera: Psyllidae). Industrial Crops and Products 2018, 121, 468–475. [Google Scholar] [CrossRef]
- Titouhi, F.; Amri, M.; Messaoud, C.; Haouel, S.; Youssfi, S.; Cherif, A.; Jemâa, J.M.B. Protective effects of three Artemisia essential oils against Callosobruchus maculatus and Bruchus rufimanus (Coleoptera: Chrysomelidae) and the extended side-effects on their natural enemies. Journal of Stored Products Research 2017, 72, 11–20. [Google Scholar] [CrossRef]
- Rusin, M.; Gospodarek, J.; BINIAŚ, B. Effect of water extracts from Artemisia absinthium L. on feeding of selected pests and their response to the odor of this plant. Journal of Central European Agriculture 2016, 17. [Google Scholar] [CrossRef]
- Mihajilov-Krstev, T.; Jovanović, B.; Jović, J.; Ilić, B.; Miladinović, D.; Matejić, J.; Rajković, J.; Đorđević, L.; Cvetković, V.; Zlatković, B. Antimicrobial, antioxidative, and insect repellent effects of Artemisia absinthium essential oil. Planta medica 2014, 80, 1698–1705. [Google Scholar] [CrossRef]
- Aslan, I.; Kordali, S.; Calmasur, O. Toxicity of the vapours of Artemisia absinthium essential oils to Tetranychus urticae Koch and Bemisia tabasi(Genn.). Fresenius Environmental Bulletin 2005, 14, 413–417. [Google Scholar]
- Husain, M.A.; Nath, D. The Citrus Psylla:(Diaphorina Citri, Kuw.) Psyllidae: Homoptera; Government of India Central Pubilication Branch: 1927.
- Wenninger, E.J.; Stelinski, L.L.; Hall, D.G. Behavioral evidence for a female-produced sex attractant in Diaphorina citri. Entomologia Experimentalis et Applicata 2008, 128, 450–459. [Google Scholar] [CrossRef]
- Bano, A.; Ahmad, M.; Hadda, T.B.; Saboor, A.; Sultana, S.; Zafar, M.; Khan, M.P.Z.; Arshad, M.; Ashraf, M.A. Quantitative ethnomedicinal study of plants used in the skardu valley at high altitude of Karakoram-Himalayan range, Pakistan. Journal of ethnobiology and ethnomedicine 2014, 10, 43. [Google Scholar] [CrossRef]
- Rizvi, S.A.H.; Tao, L.; Zeng, X. Chemical composition of essential oil obtained from Artemisia absinthium L. Grown under the climatic condition of Skardu Baltistan of Pakistan. Pak. J. Bot 2018, 50, 599–604. [Google Scholar]
- Silva, J.A.; Hall, D.G.; Gottwald, T.R.; Andrade, M.S.; Maldonado, W.; Alessandro, R.T.; Lapointe, S.L.; Andrade, E.C.; Machado, M.A. Repellency of selected Psidium guajava cultivars to the Asian citrus psyllid, Diaphorina citri. Crop Protection 2016, 84, 14–20. [Google Scholar] [CrossRef]
- Barman, J.C.; Campbell, S.A.; Zeng, X. Exposure to Guava affects citrus olfactory cues and attractiveness to Diaphorina citri (Hemiptera: Psyllidae). Environmental entomology 2016, 45, 694–699. [Google Scholar] [CrossRef] [PubMed]
- Tiwari, S.; Stelinski, L.L.; Rogers, M.E. Biochemical basis of organophosphate and carbamate resistance in Asian citrus psyllid. Journal of economic entomology 2012, 105, 540–548. [Google Scholar] [CrossRef] [PubMed]
- Chi, H. Life-table analysis incorporating both sexes and variable development rates among individuals. Environmental Entomology 1988, 17, 26–34. [Google Scholar] [CrossRef]
- Jaleel, W.; Yin, J.; Wang, D.; He, Y.; Lu, L.; Shi, H. Using two-sex life tables to determine fitness parameters of four Bactrocera species (Diptera: Tephritidae) reared on a semi-artificial diet. Bulletin of entomological research 2018, 108, 707–714. [Google Scholar] [CrossRef]
- Saeed, R.; Mahmood, Z.; Shah, S.I.A.; Jaleel, W.; Ahmad, J.N.; Malik, T.H.; Jan, M.T.; Ghramh, H.A.; Ahmad, Z.; Khan, K.A. Using two-sex life table tools to compare the population parameters of Oxycarenus hyalinipennis costa (Lygaeidae: Hemiptera) when fed on Bt and non-Bt cotton seeds. Journal of King Saud University-Science 2022, 34, 102073. [Google Scholar] [CrossRef]
- Walthall, W.K.; Stark, J.D. Comparison of two population-level ecotoxicological endpoints: The intrinsic (rm) and instantaneous (ri) rates of increase. Environmental Toxicology and Chemistry: An International Journal 1997, 16, 1068–1073. [Google Scholar]
- Bowles, S.; Gintis, H. The evolution of strong reciprocity: cooperation in heterogeneous populations. Theoretical population biology 2004, 65, 17–28. [Google Scholar] [CrossRef]
- Anwar, M.I.; Sadiq, N.; Aljedani, D.M.; Iqbal, N.; Saeed, S.; Khan, H.A.A.; Naeem-Ullah, U.; Aslam, H.M.F.; Ghramh, H.A.; Khan, K.A. Toxicity of different insecticides against the dwarf honey bee, Apis florea Fabricius (Hymenoptera: Apidae). Journal of King Saud University-Science 2022, 34, 101712. [Google Scholar] [CrossRef]
- Tiwari, S.; Stelinski, L.L. Effects of cyantraniliprole, a novel anthranilic diamide insecticide, against Asian citrus psyllid under laboratory and field conditions. Pest management science 2013, 69, 1066–1072. [Google Scholar] [CrossRef] [PubMed]
- Suladze, T.; Kintsurashvili, L.; Mshvildadze, V.; Todua, N.; Chincharadze, D.; Legault, J.; Vachnadze, N. Study Of The Cytotoxic Activity Of Alkaloid-Containing Fractions Isolated From Certain Plant Species Growing And Introduced In Georgia. EXPERIMENTAL AND CLINICAL MEDICINE GEORGIA 2023. [Google Scholar] [CrossRef]
- da Silva Sa, G.C.; Bezerra, P.V.V.; da Silva, M.F.A.; da Silva, L.B.; Barra, P.B.; de Fátima Freire de Melo Ximenes, M.; Uchoa, A.F. Arbovirus vectors insects: are botanical insecticides an alternative for its management? Journal of Pest Science 2023, 96, 1–20. [Google Scholar] [CrossRef]
- Yang, Y.; Aghbashlo, M.; Gupta, V.K.; Amiri, H.; Pan, J.; Tabatabaei, M.; Rajaei, A. Chitosan nanocarriers containing essential oils as a green strategy to improve the functional properties of chitosan: A review. International journal of biological macromolecules 2023, 123954. [Google Scholar] [CrossRef] [PubMed]
- Ibrahim, M.A.; Kainulainen, P.; Aflatuni, A. Insecticidal, repellent, antimicrobial activity and phytotoxicity of essential oils: with special reference to limonene and its suitability for control of insect pests. Agricultural and Food Science 2008, 10, 243–259. [Google Scholar] [CrossRef]
- Park, J.-H.; Jeon, Y.-J.; Lee, C.-H.; Chung, N.; Lee, H.-S. Insecticidal toxicities of carvacrol and thymol derived from Thymus vulgaris Lin. against Pochazia shantungensis Chou & Lu., newly recorded pest. Scientific reports 2017, 7, 40902. [Google Scholar] [PubMed]
- Karabörklü, S.; Ayvaz, A. A comprehensive review of effective essential oil components in stored-product pest management. Journal of Plant Diseases and Protection 2023, 1–33. [Google Scholar] [CrossRef]
- Ben Abada, M.; Soltani, A.; Tahri, M.; Haoual Hamdi, S.; Boushih, E.; Fourmentin, S.; Greige-Gerges, H.; Mediouni Ben Jemâa, J. Encapsulation of Rosmarinus officinalis essential oil and of its main components in cyclodextrin: application to the control of the date moth Ectomyelois ceratoniae (Pyralidae). Pest Management Science 2023. [Google Scholar] [CrossRef]
- Karalija, E.; Šamec, D.; Dahija, S.; Ibragić, S. Plants strike back: Plant volatiles and their role in indirect defence against aphids. Physiologia Plantarum 2023, e13850. [Google Scholar] [CrossRef]
- Silva, M.S.; Patt, J.M.; de Jesus Barbosa, C.; Fancelli, M.; Mesquita, P.R.R.; de Medeiros Rodrigues, F.; Schnadelbach, A.S. Asian citrus psyllid, Diaphorina citri (Hemiptera: Liviidae) responses to plant-associated volatile organic compounds: A mini-review. Crop Protection 2023, 106242. [Google Scholar] [CrossRef]
- Ling, S.; Rizvi, S.A.H.; Xiong, T.; Liu, J.; Gu, Y.; Wang, S.; Zeng, X. Volatile signals from guava plants prime defense signaling and increase jasmonate-dependent herbivore resistance in neighboring citrus plants. Frontiers in plant science 2022, 13. [Google Scholar] [CrossRef]
- Gallinger, J.; Rid-Moneta, M.; Becker, C.; Reineke, A.; Gross, J. Altered volatile emission of pear trees under elevated atmospheric CO2 levels has no relevance to pear psyllid host choice. Environmental Science and Pollution Research 2023, 1–12. [Google Scholar] [CrossRef]
- Ruan, C.-Q.; Hall, D.G.; Liu, B.; Duan, Y.-P.; Li, T.; Hu, H.-Q.; Fan, G.-C. Host-choice behavior of Diaphorina citri Kuwayama (Hemiptera: Psyllidae) under laboratory conditions. Journal of insect behavior 2015, 28, 138–146. [Google Scholar] [CrossRef]
- Dong, Z.; Liu, X.; Srivastava, A.K.; Tan, Q.; Low, W.; Yan, X.; Wu, S.; Sun, X.; Hu, C. Boron deficiency mediates plant-insect (Diaphorima citri) interaction by disturbing leaf volatile organic compounds and cell wall functions. Tree Physiology 2023. [Google Scholar] [CrossRef] [PubMed]
- Hall, D.; Gottwald, T.; Nguyen, N.; Ichinose, K.; Le, Q.; Beattie, G.; Stover, E. REFEREED MANUSCRIPT. Proceedings of Proc. Fla. State Hort. Soc; pp. 104–109.
- Mann, R.; Rouseff, R.; Smoot, J.; Castle, W.; Stelinski, L. Sulfur volatiles from Allium spp. affect Asian citrus psyllid, Diaphorina citri Kuwayama (Hemiptera: Psyllidae), response to citrus volatiles. Bulletin of entomological research 2011, 101, 89–97. [Google Scholar] [CrossRef] [PubMed]
- Mann, R.S.; Rouseff, R.L.; Smoot, J.; Rao, N.; Meyer, W.L.; Lapointe, S.L.; Robbins, P.S.; Cha, D.; Linn, C.E.; Webster, F.X. Chemical and behavioral analysis of the cuticular hydrocarbons from Asian citrus psyllid, Diaphorina citri. Insect science 2013, 20, 367–378. [Google Scholar] [CrossRef] [PubMed]
- Zheng, Y.; Zhang, J.; Li, Y.; Liu, Y.; Liang, J.; Wang, C.; Fang, F.; Deng, X.; Zheng, Z. Pathogenicity and Transcriptomic Analyses of Two “Candidatus Liberibacter asiaticus” Strains Harboring Different Types of Phages. Microbiology Spectrum 2023, e00754–00723. [Google Scholar] [CrossRef] [PubMed]
- Hosseinzadeh, S.; Heck, M. Variations on a theme: Factors regulating interaction between Diaphorina citri and" Candidatus Liberibacter asiaticus" vector and pathogen of citrus huanglongbing. Current Opinion in Insect Science 2023, 101025. [Google Scholar] [CrossRef]
- Assadpour, E.; Can Karaça, A.; Fasamanesh, M.; Mahdavi, S.A.; Shariat-Alavi, M.; Feng, J.; Kharazmi, M.S.; Rehman, A.; Jafari, S.M. Application of essential oils as natural biopesticides; recent advances. Critical Reviews in Food Science and Nutrition 2023, 1–21. [Google Scholar] [CrossRef]
- Hu, W.; Zheng, R.; Feng, X.; Kuang, F.; Chun, J.; Xu, H.; Chen, T.; Lu, J.; Li, W.; Zhang, N. Emergence inhibition, repellent activity and antifeedant responds of mineral oils against Asian citrus psyllid, Diaphorina citri (Hemiptera: Liviidae). International Journal of Pest Management 2023, 69, 27–34. [Google Scholar] [CrossRef]
- Wuryantini, S.; Yudistira, R. The toxicity of the extract of tobacco leaf Nicotiana tabacum L, marigold leaf Tithonia diversifolia (HAMSLEY) and citrus japansche citroen peel Citrus limonia against citrus psyllid (Diaphorina citri Kuwayama), the vector of citrus HLB disease. Proceedings of IOP Conference Series: Earth and Environmental Science; p. 012039.
- Hall, D.G.; Borovsky, D.; Chauhan, K.R.; Shatters, R.G. An evaluation of mosquito repellents and essential plant oils as deterrents of Asian citrus psyllid. Crop Protection 2018, 108, 87–94. [Google Scholar] [CrossRef]
- Tian, F.; Li, C.; Wang, Z.; Liu, J.; Zeng, X. Identification of detoxification genes in imidacloprid-resistant Asian citrus psyllid (Hemiptera: Lividae) and their expression patterns under stress of eight insecticides. Pest Manag Sci 2019, 75, 1400–1410. [Google Scholar] [CrossRef] [PubMed]
- Abdelgaleil, S.A.; Mohamed, M.I.; Badawy, M.E.; El-arami, S.A. Fumigant and contact toxicities of monoterpenes to Sitophilus oryzae (L.) and Tribolium castaneum (Herbst) and their inhibitory effects on acetylcholinesterase activity. Journal of chemical ecology 2009, 35, 518–525. [Google Scholar] [CrossRef] [PubMed]
- Bullangpoti, V.; Wajnberg, E.; Audant, P.; Feyereisen, R. Antifeedant activity of Jatropha gossypifolia and Melia azedarach senescent leaf extracts on Spodoptera frugiperda (Lepidoptera: Noctuidae) and their potential use as synergists. Pest management science 2012, 68, 1255–1264. [Google Scholar] [CrossRef]
- Lee, S.; Peterson, C.J.; Coats, J. Fumigation toxicity of monoterpenoids to several stored product insects. Journal of Stored Products Research 2003, 39, 77–85. [Google Scholar] [CrossRef]
- Tak, J.-H.; Isman, M.B. Enhanced cuticular penetration as the mechanism for synergy of insecticidal constituents of rosemary essential oil in Trichoplusia ni. Scientific reports 2015, 5, 12690. [Google Scholar] [CrossRef]
- Pavela, R. Limitation of plant biopesticides. In Advances in Plant Biopesticides, Springer: 2014; pp. 347-359.
- Bandi, S.M.; Mishra, P.; Venkatesha, K.; Aidbhavi, R.; Singh, B. Insecticidal, residual and sub-lethal effects of some plant essential oils on Callosobruchus analis (F.) infesting stored legumes. International Journal of Tropical Insect Science 2023, 1–13. [Google Scholar] [CrossRef]
- Ciobanu, A.; Landy, D.; Fourmentin, S. Complexation efficiency of cyclodextrins for volatile flavor compounds. Food research international 2013, 53, 110–114. [Google Scholar] [CrossRef]
- Costa, J.A.V.; Freitas, B.C.B.; Cruz, C.G.; Silveira, J.; Morais, M.G. Potential of microalgae as biopesticides to contribute to sustainable agriculture and environmental development. Journal of Environmental Science and Health, Part B 2019, 54, 366–375. [Google Scholar] [CrossRef]






| Peak # | RTa | Compounds Nameb | Relative % | KI(Exp)c |
|---|---|---|---|---|
| 1 | 12.351 | β-myrcene | 0.86 | 1147 |
| 2 | 13.291 | Pinocarvone | 0.62 | 1172 |
| 3 | 21.838 | α -Gurjunene | 1.68 | 1416 |
| 4 | 22.976 | α -Humulene | 0.94 | 1452 |
| 5 | 23.811 | α-Copaene | 3.51 | 1478 |
| 6 | 24.054 | g-Curcumene | 0.45 | 1486 |
| 7 | 24.754 | epi-Cubenol | 2.67 | 1508 |
| 8 | 26.599 | β -Calacorene | 2.10 | 1570 |
| 9 | 26.737 | (-)-Spathulenol | 1.94 | 1575 |
| 10 | 26.861 | Germacrene-D-4-ol | 3.48 | 1579 |
| 11 | 27.559 | Guaiol | 19.34 | 1602 |
| 12 | 27.837 | Thujol | 2.69 | 1620 |
| 13 | 28.356 | 4-epi-Cubedol | 1.68 | 1631 |
| 14 | 28.64 | Cubenol | 1.89 | 1641 |
| 15 | 29.011 | γ-Eudesmol | 1.19 | 1654 |
| 16 | 29.113 | 8-epi-γ-Eudesmol | 1.14 | 1657 |
| 17 | 29.269 | a-Cadinol | 2.76 | 1663 |
| 18 | 29.844 | Geranial | 8.83 | 1686 |
| 19 | 31.067 | Chamazulene | 5.94 | 1728 |
| 20 | 31.455 | 1,3-Dicyclopentylcyclopentane | 0.93 | 1746 |
| 21 | 32.355 | Fraganol | 0.95 | 1769 |
| 22 | 32.92 | Tetrakis(1-methyl)-Pyrazine | 2.26 | 1797 |
| 24 | 36.568 | Cubedol | 1.16 | 1941 |
| 25 | 36.748 | Geranyl-p-Cymene | 1.63 | 1948 |
| 26 | 37.999 | Nerolidol-epoxyacetate | 1.12 | 1999 |
| 27 | 38.176 | Geranyl-α-terpinene | 5.64 | 2007 |
| 28 | 39.549 | Spathulenol | 0.83 | 2066 |
| 29 | 40.341 | Heneicosane | 1.60 | 2100 |
| 30 | 40.507 | Eugenol | 1.21 | 2102 |
| 31 | 41.557 | Carvacrol | 5.47 | 2147 |
| 32 | 41.721 | α-Bisabolol | 6.17 | 2166 |
| 33 | 43.784 | 1-ethyl-4-methoxy-benzene | 0.53 | 2256 |
| 34 | 44.735 | Tricosane | 1.48 | 2300 |
| 35 | 44.931 | 1-Heptatriacotanol | 1.03 | 2309 |
| 36 | 48.786 | Pentacosane | 2.20 | 2500 |
| 37 | 52.539 | Heptacosane | 1.28 | 2700 |
| 38 | 56.106 | Nonacosane | 0.80 | 2899 |
| Total identified | 99.9 | |||
| Oil yield (%) | 0.46 | |||
| Monoterpenes | 20.42 | |||
| Sesquiterpenes | 52.69 | |||
| Others | 26.89 |
| Treatment | % of egg mortality | LC50 (95% CL) mg/mL | Slope ± SE | X² (d.f.) | P-value |
|---|---|---|---|---|---|
| Control | 7.76 ± 1.37 | 5.88 (2.27-12.09) | 1.40 ± 0.134 | 16.83 (3) | 0.326 |
| 1 mg/mL | 14.78 ± 1.87 | ||||
| 5 mg/mL | 29.00 ± 1.67 | ||||
| 10 mg/mL | 55.67 ± 0.89 | ||||
| 15 mg/mL | 80.42 ± 0.65 | ||||
| 30 mg/mL | 92.44 ± 0.28 |
| Traits | Treated | Untreated |
|---|---|---|
| r (per day) | 0.07 | 0.10 |
| ʎ (per day) | 1.07 | 1.11 |
| GRR (offspring) | 7.53 | 16.02 |
| R0(offspring/individual) | 6.40 | 14.21 |
| Concentration mg/mL | Exposeda | % Mortality±SD | LD50(LCL-UCL)b | LD90(LCL-UCL)c | X² (d/f)d | P-value |
|---|---|---|---|---|---|---|
| 24 | 64 | 21.65±0.87 | 31.05(25.58-34.69) | 55.86(46.01-67.81) | 0.94(2) | 0.23 |
| 36 | 60 | 35,32±0.59 | ||||
| 48 | 67 | 52.01±0.87 | ||||
| 60 | 67 | 65.34±0.60 | ||||
| 72 | 63 | 84.32±0.51 | ||||
| 0 | 65 | 4.11±0.24 | ||||
| Imidacloprid (ug/mL) | 60 | 98±0.11 | (17.21)11.45-24.34 | 71.32 (86.32-92.32) | 4.11 (3) | 0.51 |
Disclaimer/Publisher’s Note: The statements, opinions and data contained in all publications are solely those of the individual author(s) and contributor(s) and not of MDPI and/or the editor(s). MDPI and/or the editor(s) disclaim responsibility for any injury to people or property resulting from any ideas, methods, instructions or products referred to in the content. |
© 2023 by the authors. Licensee MDPI, Basel, Switzerland. This article is an open access article distributed under the terms and conditions of the Creative Commons Attribution (CC BY) license (http://creativecommons.org/licenses/by/4.0/).
