Submitted:
14 May 2023
Posted:
15 May 2023
You are already at the latest version
Abstract
Keywords:
1. Introduction
1.1. Binary Step
1.2. Linear
1.3. Sigmoid
1.4. Hyperbolic Tangent
1.5. RELU
1.6. Leaky RELU
1.7. Parametric RELU
1.8. Exponential Linear Units
1.9. SELU
1.10. SOFTMAX
1.11. SWISH
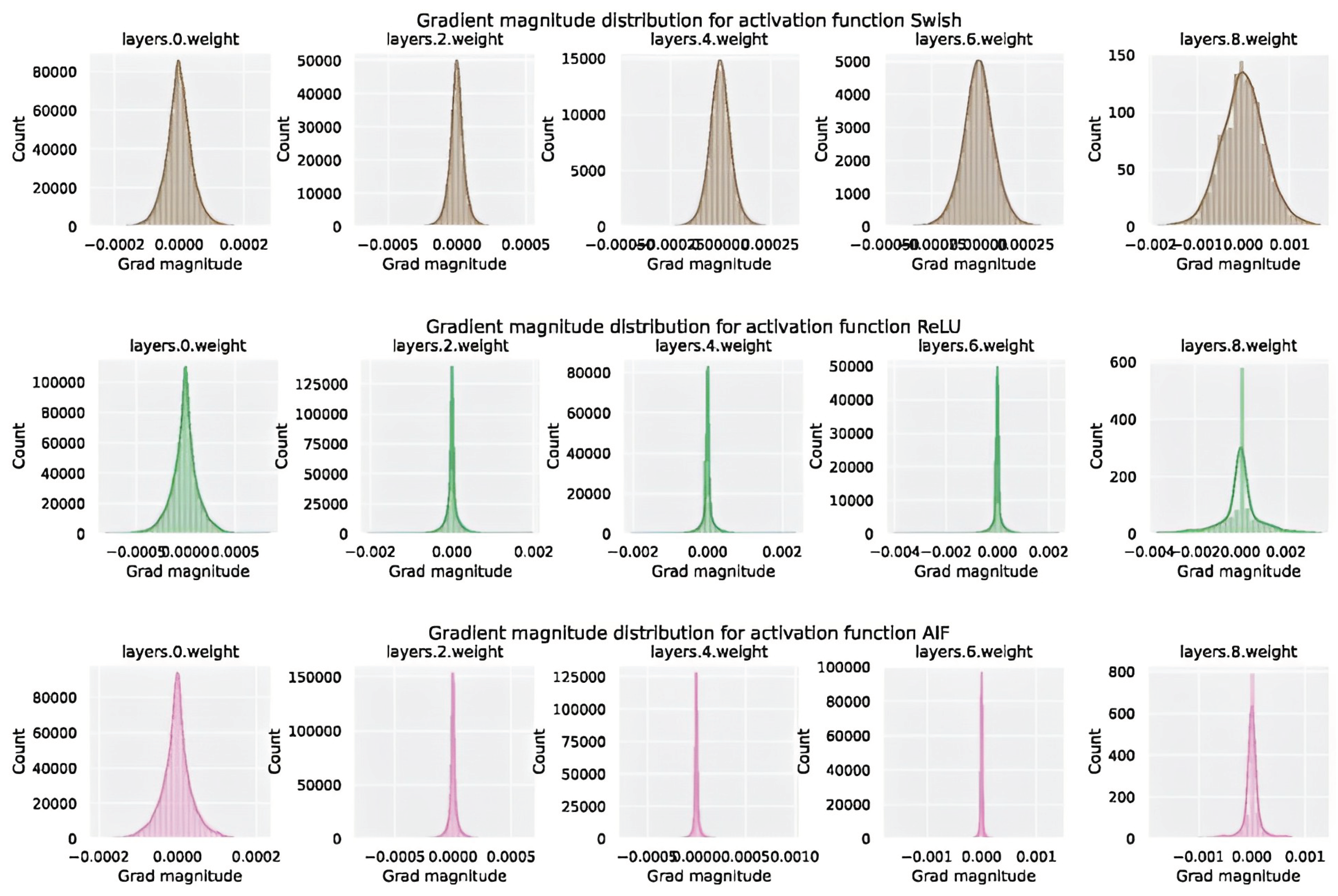
2. The proposed activation function
3. Experimental results
3.1. Datasets
3.1.1. Cifar10
3.1.2. MNIST
3.1.3. ImageNet
3.2. Caps Net on cifar10
3.3. Net2Net
3.3.1. Net2Net on Cifar
3.4. Transfer learning on ImageNet data
3.5. ResNet20_v1 on cifar10
3.6. Convolutional Neural Network on MNIST Data
4. Discussion
5. Conclusion
References
- W. S. McCulloch and W. Pitts, “A logical calculus of the ideas immanent in nervous activity,” The bulletin of mathematical biophysics, vol. 5, no. 4, pp. 115–133, 1943. [CrossRef]
- Y. LeCun, Y. Y. LeCun, Y. Bengio, and G. Hinton, “Deep learning,” nature, vol. 521, no. 7553, pp. 436–444, 2015. [CrossRef]
- A. F. arXiv:1803.08375, Feb. 2019. [CrossRef]
- R. H. R. Hahnloser, R. R. H. R. Hahnloser, R. Sarpeshkar, M. A. Mahowald, R. J. Douglas, and H. S. Seung, “Digital selection and analogue amplification coexist in a cortex-inspired silicon circuit,” Nature, vol. 405, pp. 947–951, Jun. 2000. [Google Scholar] [CrossRef]
- K. Jarrett, K. K. Jarrett, K. Kavukcuoglu, M. Ranzato, and Y. LeCun, “What is the best multi-stage architecture for object recognition?,” in 2009 IEEE 12th International Conference on Computer Vision, Sep. 2009, pp. 2146–2153. [CrossRef]
- V. Nair and G. E. Hinton, “Rectified Linear Units Improve Restricted Boltzmann Machines,” presented at the ICML, Jan. 2010. Accessed: Jun. 14, 2022. [Online].
- V. Nair and G. E. Hinton, “Rectified Linear Units Improve Restricted Boltzmann Machines,” presented at the ICML, Jan. 2010. Accessed: Jun. 14, 2022. [Online].
- P. Ramachandran, B. P. Ramachandran, B. Zoph, and Q. V. arXiv:1710.05941, Oct. 2017. [CrossRef]
- A. L. Maas, A. Y. A. L. Maas, A. Y. Hannun, and A. Y. Ng, “Rectifier nonlinearities improve neural network acoustic models,” in Proc. icml, 2013, vol. 30, no. 1, p. 3.
- K. He, X. K. He, X. Zhang, S. Ren, and J. Sun, “Delving Deep into Rectifiers: Surpassing Human-Level Performance on ImageNet Classification,” presented at the Proceedings of the IEEE International Conference on Computer Vision, 2015, pp. 1026–1034. Accessed: Jun. 14, 2022. [Online].
- D.-A. Clevert, T. D.-A. Clevert, T. Unterthiner, and S. arXiv:1511.07289, Feb. 2016. [CrossRef]
- G. Klambauer, T. G. Klambauer, T. Unterthiner, A. Mayr, and S. Hochreiter, “Self-Normalizing Neural Networks,” in Advances in Neural Information Processing Systems, 2017, vol. 30. Accessed: Jun. 14, 2022. [Online].
- J. Deng, W. J. Deng, W. Dong, R. Socher, L.-J. Li, K. Li, and L. Fei-Fei, “ImageNet: A large-scale hierarchical image database,” in 2009 IEEE Conference on Computer Vision and Pattern Recognition, Jun. 2009, pp. 248–255. [CrossRef]
- X. Glorot and Y. Bengio, “Understanding the difficulty of training deep feedforward neural networks,” in Proceedings of the Thirteenth International Conference on Artificial Intelligence and Statistics, Mar. 2010, pp. 249–256. Accessed: Jun. 14, 2022. [Online].
- A. Krizhevsky and G. Hinton, “Learning multiple layers of features from tiny images,” 2009.
- L. Deng, “The mnist database of handwritten digit images for machine learning research [best of the web],” IEEE signal processing magazine, vol. 29, no. 6, pp. 141–142, 2012.
- S. Sabour, N. S. Sabour, N. Frosst, and G. E. arXiv:1710.09829, Nov. 2017. [CrossRef]
- Y. LeCun and Y. Bengio, “Convolutional networks for images, speech, and time series,” The handbook of brain theory and neural networks, vol. 3361, no. 10, p. 1995, 1995.
- T. Chen, I. T. Chen, I. Goodfellow, and J. A: Shlens, “Net2net; arXiv:1511.05641, 2015.
- S. Bozinovski, “Reminder of the first paper on transfer learning in neural networks, 1976,” Informatica, vol. 44, no. 3, 2020. [CrossRef]
- A. G. Howard et al. E: “Mobilenets; arXiv:1704.04861, 2017. [CrossRef]
- K. He, X. K. He, X. Zhang, S. Ren, and J. Sun, “Deep residual learning for image recognition,” in Proceedings of the IEEE conference on computer vision and pattern recognition, 2016, pp. 770–778.
- H. J. Kelley, “Gradient theory of optimal flight paths,” Ars Journal, vol. 30, no. 10, pp. 947–954, 1960. [CrossRef]
- M. Abadi et al., “TensorFlow: A System for Large-Scale Machine Learning,” presented at the 12th USENIX Symposium on Operating Systems Design and Implementation (OSDI 16), 2016, pp. 265–283. Accessed: Jun. 14, 2022. [Online].
- A. Paszke et al., “PyTorch: An Imperative Style, High-Performance Deep Learning Library,” in Advances in Neural Information Processing Systems, 2019, vol. 32. Accessed: Jun. 14, 2022. [Online].











![]() |
![]() |
Disclaimer/Publisher’s Note: The statements, opinions and data contained in all publications are solely those of the individual author(s) and contributor(s) and not of MDPI and/or the editor(s). MDPI and/or the editor(s) disclaim responsibility for any injury to people or property resulting from any ideas, methods, instructions or products referred to in the content. |
© 2023 by the authors. Licensee MDPI, Basel, Switzerland. This article is an open access article distributed under the terms and conditions of the Creative Commons Attribution (CC BY) license (https://creativecommons.org/licenses/by/4.0/).

