Submitted:
30 September 2023
Posted:
01 October 2023
You are already at the latest version
Abstract
Keywords:
1. Introduction
- The speed of ageing is increasing;
- In the year 2020, people aged more than sixty years outnumbered young kids under the age of five;
- By 2050, the population of geriatrics is expected to double from 12% to 22%. People over 60 are expected to be around 2.1 billion, and the number of people above 80 is expected to reach 426 million.
- Two-thirds of the ageing population is expected to be in the low- and middle-income range.
2. Background of Work
2.1. Sensors
2.1.1. Ambient Sensors
2.1.2. Wearable Sensors
2.2. Data-Sets
3. Data Collection Methodology
- Very few public datasets with readings from multiple sensors are available. Most public datasets only have linear acceleration data.
- Very few datasets available that have a wide diversity in terms of age, gender, height, weight and health issues
- Even in datasets where there is diversity, no information is available on the ratio of gender, age, height or weight
- The number of volunteers is usually less. In most cases, less than 20.
- The list of ADLs and falls is not completely provided
- The details of how long each activity lasted are not available.
- The data collection methodology is not described
- The details of the sensors used are not provided; hence using multiple datasets becomes a major issue as they cannot be fused together.
3.1. Requirement for a new Dataset
- Height – While the average world height of men is 5ft 9in, and women are 5ft 4 in, in India, the average height is 5ft 5in for the male population and just 5ft for the female population. In the case of certain European countries where the conditions of living and access to proper nutrition are good, the average height is even higher.
- Weight – While the World average of men is 89 kg and women is 77 kg, in India, the average weight of men is 65 kg and women are 55 kg.
- Lifestyles – While the European or the US population regularly exercise, regular exercise and diet ensure that the muscular and skeletal frame remains unaffected due to gradual ageing. However, In India, it is only in the last few years that exercise and diet have become a current trend. While we may have a healthy elderly population 40-45 years later, the ageing population is prone to significant changes in their skeletal and muscular frames. Hunchbacks are common among people even in their 50s in India [57]. The current elderly population in India is heavily dependent upon their male children for support. In the absence of financial aid, the elderly continue to work with existing health issues or are dependent on Government-run facilities which are overpopulated and understaffed. This necessitates the use of technology to monitor their health. Also, the level of literacy in the current ageing population of India is poor.
3.2. Volunteers statistics
- No of volunteers: 41
- Age range: 18-50
- Number of female volunteers: 14.
- Weight: 50 Kg – 120 Kg.
- Height: 4ft 11 inches – 6ft 4 inches.
- Existing Health issues: High blood pressure, Diabetes, Hypertension Claustrophobia, there were some volunteers who were prone to panic attacks, sinusitis, sinus tachycardia, thyroid, malnutrition, hypochondria, extreme anxiety, low blood pressure, prostate, and early sign of arthritis.
4. Experimental methodology
4.1. Pre-Procesing of Raw Data
4.2. Feature Extraction
4.3. ML Algorithms
4.3.1. Decision Tree(Random Forest)
4.3.2. Naïve Bayes
4.3.3. Support Vector Nachine
4.3.4. Regression Analysis
4.3.5. K-Nearest Neighbour
4.4. Analysis of Effect of User parameters on the Accuracy
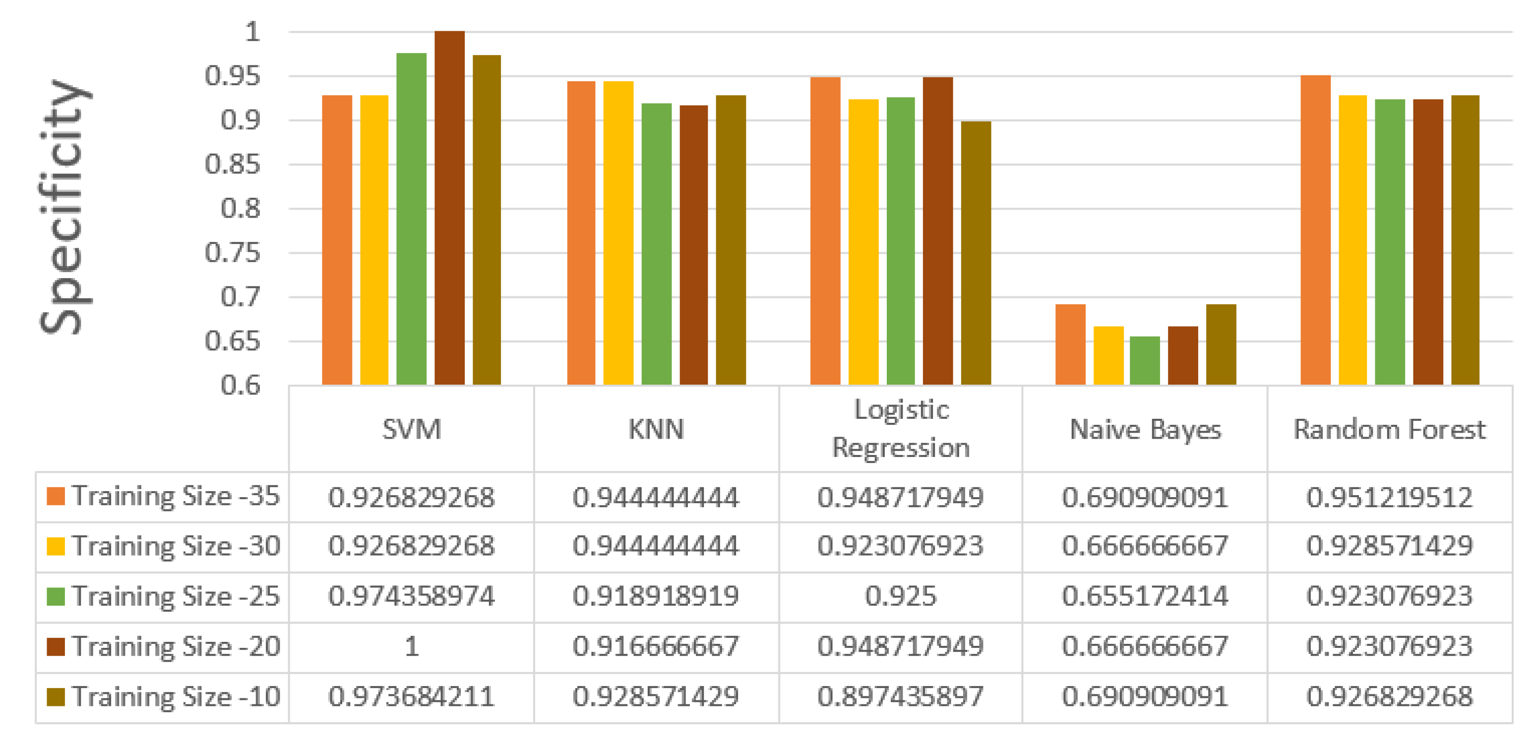
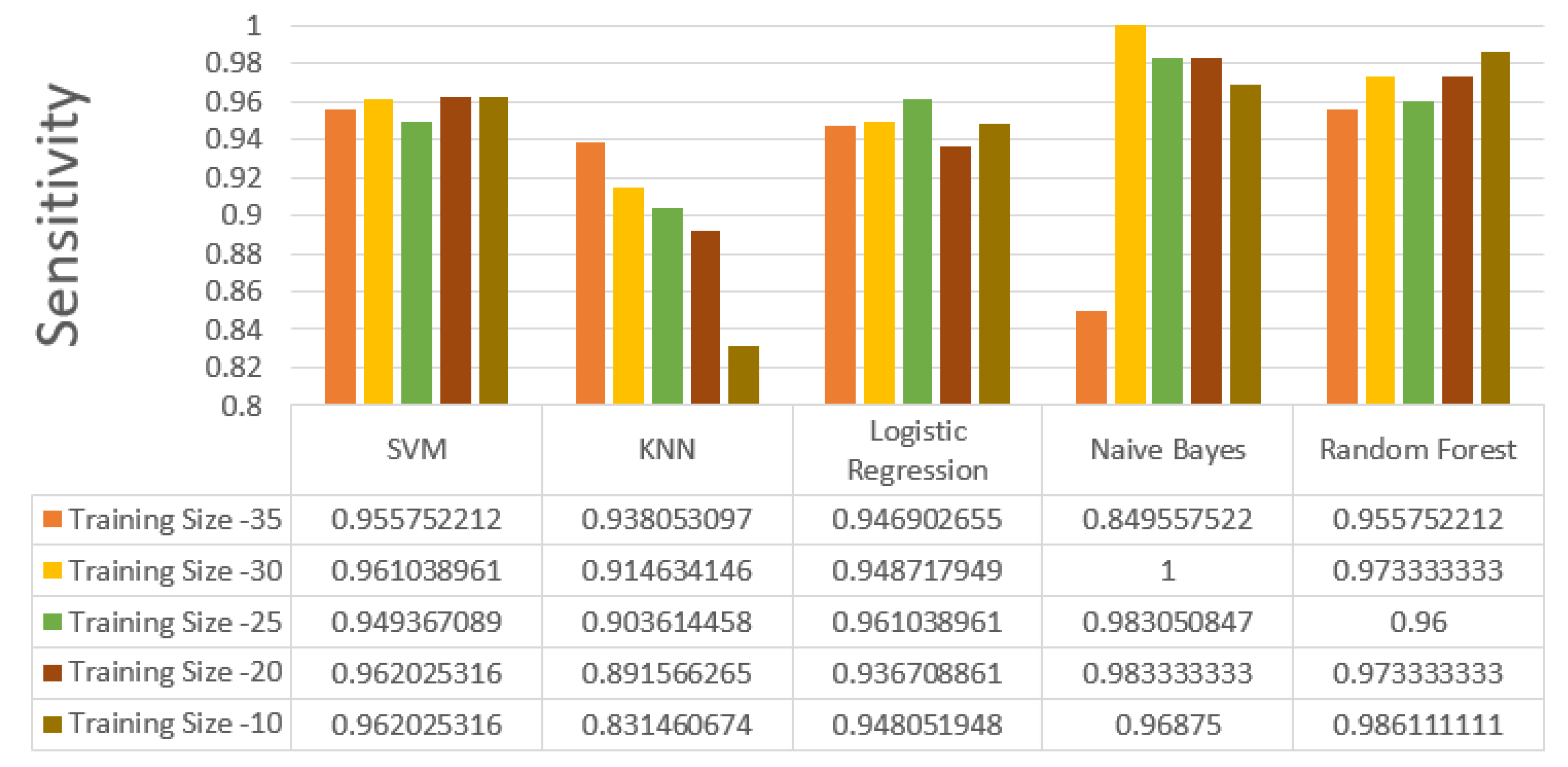
5. Results and Discussion
5.1. Overall Performance Analysis for various ML algorithms with varying data sizes
6. Conclusion
References
- United Nations, Department of Economic and Social Affairs, World Population Ageing 2020. https://www.un.org/development/desa/pd/sites/www.un.org.development.desa.pd/files/undesa_pd-2020_world_population_ageing_highlights.pdf. [Accessed 31-Mar-2023].
- Nandi, P.; Bajaj, A.; Anupama, K.R. Application of KNN for Fall Detection on Qualcomm SoCs. IoT Technologies for HealthCare; Spinsante, S.; Iadarola, G.; Paglialonga, A.; Tramarin, F., Eds.; Springer Nature Switzerland: Cham, 2023; pp. 148–169.
- Liu, H.; Gamboa, H.; Schultz, T. Sensor-Based Human Activity and Behavior Research: Where Advanced Sensing and Recognition Technologies Meet. Sensors 2023, 23. [CrossRef]
- Snapdragon 820c Development Board | Qualcomm — qualcomm.com. https://developer.qualcomm.com/hardware/dragonboard-820c. [Accessed 31-Mar-2023].
- max30102 data sheet. https://pdf1.alldatasheet.com/datasheet-pdf/view/1338715/MAXIM/MAX30102.html. [Accessed 31-Mar-2023].
- MPU-6500 data sheet. https://invensense.tdk.com/wp-content/uploads/2020/06/PS-MPU-6500A-01-v1.3.pdf. [Accessed 31-Mar-2023].
- GY-273 Datasheet. https://www.robotpark.com/image/data/PRO/91449/HMC5883L_3-Axis_Digital_Compass_IC.pdf. [Accessed 31-Mar-2023].
- Nandi, P.; Anupama, K.; Bajaj, A.; Shukla, S.; Musale, T.; Kachadiya, S. Performance evaluation of Machine Learning algorithms on System on Chips in Wearables for Healthcare Monitoring. Procedia Computer Science 2023, 218, 2755–2766. International Conference on Machine Learning and Data Engineering. [CrossRef]
- Liu, C.; Jiang, Z.; Su, X.; Benzoni, S.; Maxwell, A. Detection of Human Fall Using Floor Vibration and Multi-Features Semi-Supervised SVM. Sensors 2019, 19. [CrossRef]
- Salman Khan, M.; Yu, M.; Feng, P.; Wang, L.; Chambers, J. An unsupervised acoustic fall detection system using source separation for sound interference suppression. Signal Processing 2015, 110, 199–210. Machine learning and signal processing for human pose recovery and behavior analysis. [CrossRef]
- Lu, K.L.; Chu, E.T.H. An Image-Based Fall Detection System for the Elderly. Applied Sciences 2018, 8. [CrossRef]
- Luque, R.; Casilari, E.; Morón, M.J.; Redondo, G. Comparison and Characterization of Android-Based Fall Detection Systems. Sensors 2014, 14, 18543–18574. [CrossRef]
- Choi, Y.; Ralhan, A.S.; Ko, S. A Study on Machine Learning Algorithms for Fall Detection and Movement Classification. 2011 International Conference on Information Science and Applications, 2011, pp. 1–8. [CrossRef]
- Albert, M.V.; Kording, K.; Herrmann, M.; Jayaraman, A. Fall Classification by Machine Learning Using Mobile Phones. PLOS ONE 2012, 7, 1–6. [CrossRef]
- Özdemir, A.T.; Barshan, B. Detecting Falls with Wearable Sensors Using Machine Learning Techniques. Sensors 2014, 14, 10691–10708. [CrossRef]
- Koshmak, G.; Linden, M.; Loutfi, A. Dynamic Bayesian Networks for Context-Aware Fall Risk Assessment. Sensors 2014, 14, 9330–9348. [CrossRef]
- Chetty, G.; White, M.; Akther, F. Smart phone based data mining for human activity recognition. Proceedings of the International Conference on Information and Communication Technologies, ICICT 2014; Samuel, P., Ed.; Elsevier: Netherlands, 2015; Vol. 46, Procedia Computer Science, pp. 1181–1187. International Conference on Information and Communication Technologies : ICICT 2014 ; Conference date: 03-12-2014 Through 05-12-2014. [CrossRef]
- Genoud, D.; Cuendet, V.; Torrent, J. Soft Fall Detection Using Machine Learning in Wearable Devices. 2016 IEEE 30th International Conference on Advanced Information Networking and Applications (AINA), 2016, pp. 501–505. [CrossRef]
- Vallabh, P.; Malekian, R.; Ye, N.; Bogatinoska, D.C. Fall detection using machine learning algorithms. 2016 24th International Conference on Software, Telecommunications and Computer Networks (SoftCOM), 2016, pp. 1–9. [CrossRef]
- Kostopoulos, P.; Nunes, T.; Salvi, K.; Deriaz, M.; Torrent, J. F2D: A fall detection system tested with real data from daily life of elderly people. 2015. [CrossRef]
- Wang, H.; Li, M.; Li, J.; Cao, J.; Wang, Z. An improved fall detection approach for elderly people based on feature weight and Bayesian classification. 2016, pp. 471–476. [CrossRef]
- He, J.; Bai, S.; Wang, X. An Unobtrusive Fall Detection and Alerting System Based on Kalman Filter and Bayes Network Classifier. Sensors 2017, 17. [CrossRef]
- Guvensan, M.A.; Kansiz, A.O.; Camgoz, N.C.; Turkmen, H.I.; Yavuz, A.G.; Karsligil, M.E. An Energy-Efficient Multi-Tier Architecture for Fall Detection on Smartphones. Sensors 2017, 17. [CrossRef]
- Hsieh, C.Y.; Liu, K.C.; Huang, C.N.; Chu, W.C.; Chan, C.T. Novel Hierarchical Fall Detection Algorithm Using a Multiphase Fall Model. Sensors 2017, 17. [CrossRef]
- Jahanjoo, A.; Tahan, M.N.; Rashti, M.J. Accurate fall detection using 3-axis accelerometer sensor and MLF algorithm. 2017 3rd International Conference on Pattern Recognition and Image Analysis (IPRIA), 2017, pp. 90–95. [CrossRef]
- Yu, S.; Chen, H.; Brown, R.A. Hidden Markov Model-Based Fall Detection With Motion Sensor Orientation Calibration: A Case for Real-Life Home Monitoring. IEEE Journal of Biomedical and Health Informatics 2018, 22, 1847–1853. [CrossRef]
- Liang, H.; Usaha, W. Fall detection using lifting wavelet transform and support vector machine. 2017 Federated Conference on Computer Science and Information Systems (FedCSIS), 2017, pp. 877–883. [CrossRef]
- Jefiza, A.; Pramunanto, E.; Boedinoegroho, H.; Purnomo, M.H. Fall detection based on accelerometer and gyroscope using back propagation. 2017 4th International Conference on Electrical Engineering, Computer Science and Informatics (EECSI), 2017, pp. 1–6. [CrossRef]
- Kao, H.C.; Hung, J.C.; Huang, C.P. GA-SVM applied to the fall detection system. 2017 International Conference on Applied System Innovation (ICASI), 2017, pp. 436–439. [CrossRef]
- Li, H.; Shrestha, A.; Fioranelli, F.; Le Kernec, J.; Heidari, H.; Pepa, M.; Cippitelli, E.; Gambi, E.; Spinsante, S. Multisensor data fusion for human activities classification and fall detection. 2017 IEEE SENSORS, 2017, pp. 1–3. [CrossRef]
- Fakhrulddin, A.H.; Fei, X.; Li, H. Convolutional neural networks (CNN) based human fall detection on Body Sensor Networks (BSN) sensor data. 2017 4th International Conference on Systems and Informatics (ICSAI), 2017, pp. 1461–1465. [CrossRef]
- Hakim, A.; Huq, M.S.; Shanta, S.; Ibrahim, B. Smartphone Based Data Mining for Fall Detection: Analysis and Design. Procedia Computer Science 2017, 105, 46–51. 2016 IEEE International Symposium on Robotics and Intelligent Sensors, IRIS 2016, 17-20 December 2016, Tokyo, Japan. [CrossRef]
- Yang, X.; Dinh, A.; Chen, L. A wearable real-time fall detector based on Naive Bayes classifier. CCECE 2010, 2010, pp. 1–4. [CrossRef]
- Tsinganos, P.; Skodras, A. A smartphone-based fall detection system for the elderly. Proceedings of the 10th International Symposium on Image and Signal Processing and Analysis, 2017, pp. 53–58. [CrossRef]
- Zhao, S.; Li, W.; Niu, W.; Gravina, R.; Fortino, G. Recognition of human fall events based on single tri-axial gyroscope. 2018, pp. 1–6. [CrossRef]
- Putra, I.P.E.S.; Brusey, J.; Gaura, E.; Vesilo, R. An Event-Triggered Machine Learning Approach for Accelerometer-Based Fall Detection. Sensors 2018, 18. [CrossRef]
- Liu, K.C.; Hsieh, C.Y.; Hsu, S.; Chan, C.T. Impact of Sampling Rate on Wearable-Based Fall Detection Systems Based on Machine Learning Models. IEEE Sensors Journal 2018, PP, 1–1. [CrossRef]
- Ramachandran, A.; Adarsh, R.; Pahwa, P.; Anupama, K.R. Machine Learning-based Fall Detection in Geriatric Healthcare Systems. 2018 IEEE International Conference on Advanced Networks and Telecommunications Systems (ANTS), 2018, pp. 1–6. [CrossRef]
- Torti, E.; Fontanella, A.; Musci, M.; Blago, N.; Pau, D.; Leporati, F.; Piastra, M. Embedded Real-Time Fall Detection with Deep Learning on Wearable Devices. 2018 21st Euromicro Conference on Digital System Design (DSD), 2018, pp. 405–412. [CrossRef]
- Rodrigues, T.B.; Salgado, D.P.; Cordeiro, M.C.; Osterwald, K.M.; Filho, T.F.; de Lucena, V.F.; Naves, E.L.; Murray, N. Fall Detection System by Machine Learning Framework for Public Health. Procedia Computer Science 2018, 141, 358–365. The 9th International Conference on Emerging Ubiquitous Systems and Pervasive Networks (EUSPN-2018) / The 8th International Conference on Current and Future Trends of Information and Communication Technologies in Healthcare (ICTH-2018) / Affiliated Workshops. [CrossRef]
- Yacchirema, D.; de Puga, J.S.; Palau, C.; Esteve, M. Fall detection system for elderly people using IoT and Big Data. Procedia Computer Science 2018, 130, 603–610. The 9th International Conference on Ambient Systems, Networks and Technologies (ANT 2018) / The 8th International Conference on Sustainable Energy Information Technology (SEIT-2018) / Affiliated Workshops. [CrossRef]
- Musci, M.; De Martini, D.; Blago, N.; Facchinetti, T.; Piastra, M. Online Fall Detection Using Recurrent Neural Networks on Smart Wearable Devices. IEEE Transactions on Emerging Topics in Computing 2021, 9, 1276–1289. [CrossRef]
- Dawar, N.; Kehtarnavaz, N. A Convolutional Neural Network-Based Sensor Fusion System for Monitoring Transition Movements in Healthcare Applications. 2018 IEEE 14th International Conference on Control and Automation (ICCA), 2018, pp. 482–485. [CrossRef]
- Nguyen, T.L.; Le, T.A.; Pham, C. The Internet-of-Things based Fall Detection Using Fusion Feature. 2018 10th International Conference on Knowledge and Systems Engineering (KSE), 2018, pp. 129–134. [CrossRef]
- Chelli, A.; Pätzold, M. A Machine Learning Approach for Fall Detection and Daily Living Activity Recognition. IEEE Access 2019, 7, 38670–38687. [CrossRef]
- Hussain, F.; Hussain, F.; Ehatisham-ul Haq, M.; Azam, M.A. Activity-Aware Fall Detection and Recognition Based on Wearable Sensors. IEEE Sensors Journal 2019, 19, 4528–4536. [CrossRef]
- Santos, G.L.; Endo, P.T.; Monteiro, K.H.d.C.; Rocha, E.d.S.; Silva, I.; Lynn, T. Accelerometer-Based Human Fall Detection Using Convolutional Neural Networks. Sensors 2019, 19. [CrossRef]
- Cahoolessur, D.; Rajkumarsingh, B. Fall Detection System using XGBoost and IoT. R and D Journal 2020, 36, 8 – 18. [CrossRef]
- Mrozek, D.; Koczur, A.; Małysiak-Mrozek, B. Fall detection in older adults with mobile IoT devices and machine learning in the cloud and on the edge. Information Sciences 2020, 537, 132–147. [CrossRef]
- Ramachandran, A.; Ramesh, A.; Karuppiah, A. Evaluation of Feature Engineering on Wearable Sensor-based Fall Detection. 2020 International Conference on Information Networking (ICOIN), 2020, pp. 110–114. [CrossRef]
- Usmani, S.; Saboor, A.; Haris, M.; Khan, M.A.; Park, H. Latest Research Trends in Fall Detection and Prevention Using Machine Learning: A Systematic Review. Sensors 2021, 21. [CrossRef]
- Nahian, M.J.A.; Ghosh, T.; Banna, M.H.A.; Aseeri, M.A.; Uddin, M.N.; Ahmed, M.R.; Mahmud, M.; Kaiser, M.S. Towards an Accelerometer-Based Elderly Fall Detection System Using Cross-Disciplinary Time Series Features. IEEE Access 2021, 9, 39413–39431. [CrossRef]
- Şengül, G.; Karakaya, M.; Misra, S.; Abayomi-Alli, O.O.; Damaševičius, R. Deep learning based fall detection using smartwatches for healthcare applications. Biomedical Signal Processing and Control 2022, 71, 103242. [CrossRef]
- Mansoor, M.; Amin, R.; Mustafa, Z.; Sengan, S.; Aldabbas, H.; Alharbi, M.T. A machine learning approach for non-invasive fall detection using Kinect. Multimedia Tools and Applications 2022, 81, 15491–15519. [CrossRef]
- Karar, M.E.; Shehata, H.I.; Reyad, O. A Survey of IoT-Based Fall Detection for Aiding Elderly Care: Sensors, Methods, Challenges and Future Trends. Applied Sciences 2022, 12. [CrossRef]
- Ramachandran, A.; Karuppiah, A. A Survey on Recent Advances in Machine Learning Based Sleep Apnea Detection Systems. Healthcare 2021, 9. [CrossRef]
- Demographics of Population Ageing in India 2011. http://www.isec.ac.in/BKPAI%20Working%20paper%201.pdf. [Accessed 31-Mar-2023].
- India’s elderly population to rise 412031: Govt report,2021. https://theprint.in/india/indias-elderly-population-to-rise-41-over-next-decade-to-touch-194-mn-in-2031-govt-report/710476/. [Accessed 31-Mar-2023].
- Mostafa, S.S.; Mendonça, F.; Morgado-Dias, F.; Ravelo-García, A.G. SpO2 based sleep apnea detection using deep learning. 2017 IEEE 21st International Conference on Intelligent Engineering Systems (INES) 2017, pp. 000091–000096.
- Leelaarporn, P.; Wachiraphan, P.; Kaewlee, T.; Udsa, T.; Chaisaen, R.; Choksatchawathi, T.; Laosirirat, R.; Lakhan, P.; Natnithikarat, P.; Thanontip, K.; Sangnark, S.; Chen, W.; Mukhopadhyay, S.; Wilaiprasitporn, T. Sensor-Driven Achieving of Smart Living: A Review. IEEE Sensors Journal 2021, PP, 1–1. [CrossRef]
- Pathinarupothi, R.; Jayalekshmi, D.; Rangan, E.; Gopalakrishnan, E. Single Sensor Techniques for Sleep Apnea Diagnosis Using Deep Learning. 2017. [CrossRef]
- Jayawardhana, M.; de Chazal, P. Enhanced detection of sleep apnoea using heart-rate, respiration effort and oxygen saturation derived from a photoplethysmography sensor. Annu. Int. Conf. IEEE Eng. Med. Biol. Soc. 2017, 2017, 121–124.
- de Chazal, P.; Sadr, N. Sleep apnoea classification using heart rate variability, ECG derived respiration and cardiopulmonary coupling parameters. Annu. Int. Conf. IEEE Eng. Med. Biol. Soc. 2016, 2016, 3203–3206.
- Ivanko, K.; Ivanushkina, N.; Rykhalska, A. Identifying episodes of sleep apnea in ECG by machine learning methods. 2020, pp. 588–593. [CrossRef]
- Vembandasamy, K.; Sasipriya, R.; Deepa, E. Heart diseases detection using Naive Bayes. IJISET - Int. J. Innov. Sci. Eng. Tech 2015, 2.
- Alpaydin, E. Voting over Multiple Condensed Nearest Neighbors. Artificial Intelligence Review 1997, 11, 115–132. [CrossRef]
- Hosmer, D.W.; Lemeshow, S. Applied Logistic Regression, 2nd edn. Wiley-Interscience; Wiley-Interscience: Hoboken, NJ, 2000.
- Breiman, L. Classification and Regression Trees (1st ed.); Routledge., 1984. [CrossRef]
- Liu, S.H.; Cheng, W.C. Fall detection with the support vector machine during scripted and continuous unscripted activities. Sensors (Basel) 2012, 12, 12301–12316.
- Shokri, R.; Stronati, M.; Song, C.; Shmatikov, V. Membership Inference Attacks Against Machine Learning Models. 2017 IEEE Symposium on Security and Privacy (SP), 2017, pp. 3–18. [CrossRef]
- Fang, L.; Jiang, H.; Cui, S. An improved decision tree algorithm based on mutual information. 2017 13th International Conference on Natural Computation, Fuzzy Systems and Knowledge Discovery (ICNC-FSKD), 2017, pp. 1615–1620. [CrossRef]
- A review on Machine Learning Techniques. https://ijritcc.org/index.php/ijritcc/article/download/1902/1902/. [Accessed 31-Mar-2023].
- Dey, A. Machine Learning Algorithms : A Review. 2016.
- Shmilovici, A., Support Vector Machines. In Data Mining and Knowledge Discovery Handbook; Maimon, O.; Rokach, L., Eds.; Springer US: Boston, MA, 2005; pp. 257–276. [CrossRef]
- Silhavy, R.; Silhavy, P.; Prokopova, Z. Analysis and selection of a regression model for the Use Case Points method using a stepwise approach. Journal of Systems and Software 2017, 125, 1–14. [CrossRef]
- Nandi, P.; Bajaj, A.; Anupama, K.R. Application of KNN for Fall Detection on Qualcomm SoCs. IoT Technologies for HealthCare; Spinsante, S.; Iadarola, G.; Paglialonga, A.; Tramarin, F., Eds.; Springer Nature Switzerland: Cham, 2023; pp. 148–169.








| Ref | Year | Dataset used | Sensor used | Sensor placement | Methodology | Performance parameter and details |
|---|---|---|---|---|---|---|
| [13] | 2011 | UCI dataset | 3-Axes accelerometer, 2-axis gyroscope | Chest, thigh | Comparison of ML algorithms for fall detection using single node and two nodes | Accuracy of classification = 99.8% with two nodes(one on waist and one on knee). Naïve Bayes gaves the worst result, others gave comparable |
| [14] | 2012 | Generated from experiments | Accelerometer | Smartphones carried along with the user | Comparison of SVM, SMLR, Naive Bayes, decision trees, kNN, and regularized logistic regression for fall detection | Support vector machines and regularized logistic regression were able to identify a fall with 98% accuracy and classify the type of fall (trips, left lateral, slips, right lateral) with 99% accuracy. Naïve Bayes reported the least accuracy |
| [15] | 2014 | Generated from experiments | Accelerometer gyroscope and magnetometers | 6 different positions on the body | Comparison of k-NN, classifier, LSM, SVM,BDM, DTW and ANN algorithms | k-NN classifier and LSM gave above 99% for sensitivity, specificity, and accuracy |
| [16] | 2014 | Generated from experiments | Accelerometer | Smartphones carried along with the user | Accelerometer data from wearable sensors to generate alarms for falls, combined with context recognition using sensors in an apartment, for inferring regular ADLs, using Bayesian networks | Provides statistical information regarding the fall risk probability for a subject |
| [17] | 2015 | Publicly available activity recognition dataset | Accelerometer, gyroscope | Smartphone | Comparison of Naive Bayes classifier, decision trees, random forests, classifiers based on ensemble learning (random committee), and lazy learning (IBk) algorithms for activity detection carried along with the user | Naive Bayes classifier performs reasonably well for a large dataset, with 79% accuracy, and it is fastest in terms of building the model taking only 5.76 seconds Random forests are better in terms of both accuracy and model building time, with 96.3% accuracy and 14.65 seconds model building time. k-Means clustering performs poorly with 60% classification accuracy and 582 seconds model building time |
| [18] | 2016 | Generated from experiments | 3-Axis Accelerometer | Not specified | Comparison of decision tree, decision tree ensemble, kNN, neural networks, MLP algorithms for soft fall detection | Decision tree ensemble was able to detect soft falls at more than 0.9 AUC |
| [19] | 2016 | MobiFall dataset | Accelerometer, gyroscope | User’s trouser pocket | Comparison of Naive Bayes, LSM, ANN, SVM, kNN algorithms for fall detection | k-NN, ANN, SVM had the best accuracy—results for kNN: Accuracy = 87.5% Sensitivity = 90.70% Specificity = 83.78% |
| [20] [21] | 2016 | Generated from experiments | 3-Axis Accelerometer | Smartwatch | Threshold-based analysis of acceleration | Accuracy = 96.01% |
| [21] | 2016 | Generated from experiments | 3-Axis Accelerometer | Different parts of the body | Bayesian framework for feature selection, Naive-Bayes, C4.5 | Better accuracy with improved classification than Naive-Bayes and C4.5 |
| [22] | 2017 | Generated from experiments | Accelerometer gyroscope | Smart - Vest | Kalman filter for noise reduction, sliding window, and Bayes network classifier for fall detection | With Kalman filter Accuracy = 95.67%, Sensitivity = 99.0% Specificity = 95.0% |
| [23] | 2017 | Generated from experiments | 3-Axis Accelerometer | Smartphone | Combination of threshold-based and ML-based algorithms—K-Star, Naive Bayes, J48 | Energy saving = 62% compared with(ML only) techniques Sensitivity =77% (thresholding only), 82% (ML only), 86% (hybrid) Specificity = 99.8% (thresholding only), 98% (ML only), 99.5% (hybrid) Accuracy = 88.4% (thresholding only), 90% (ML only), 92.75% (hybrid) |
| [24] | 2017 | Generated from experiments | 3-Axis Accelerometer | Waist | Combination of threshold-based and knowledge-based approach based on SVM to detect a fall event | Using a knowledge based algorithm: Sensitivity = 99.79% Specificity = 98.74% Precision = 99.05% Accuracy = 99.33% |
| [25] | 2017 | MobiFall dataset | 3-Axis Accelerometer | Not specified | Comparison of multilevel fuzzy minmax neural network, MLP, KNN, SVM, PCA for fall detection | Multilevel fuzzy min-max neural network gave best results: Sensitivity = 97.29% Specificity = 98.70% |
| [26] | 2017 | FARSEEING dataset | 3-Axis Accelerometer | 5 locations on the upper body, neck, chest, waist, right side, and left side | Sensor orientation calibration algorithm to resolve issues arising out of misplaced sensor locations and misaligned sensor orientations, HMM classifiers | Sensitivity = 99.2% (experimental dataset), 100% (real-world fall dataset) |
| [27] [28] | 2017 | Generated from experiments | 3-Axis Accelerometer | Chest | LWT based frequency domain analysis and SVM-based time domain analysis of RMS of acceleration | Accuracy = 100% Sensitivity = 100% Specificity = 100% |
| [29] | 2017 | Generated from experiments | 3-Axis accelerometer, 3-axis gyroscope | Waist | Back propagation neural network (BPNN) for fall detection | Accuracy = 98.2% Precision = 98.3% Sensitivity= 95.1% Specificity= 99.4% |
| [30] | 2017 | Generated from experiments | Accelerometer, radar, depth camera | Wrist | Ensemble subspace discriminant, linear discriminant, kNN, SVM | Overall accuracy of ensemble classifier was the highest, after fusion of radar, accelerometer, and camera = 91.3%. This is an improvement of 11.2% compared to radar-only and 16.9% compared to accelerometer-only results |
| [31] | 2017 | Public datasets | 3-Axis accelerometer | Not specified | CNN-based analysis on time series accelerometer data converted to images | Accuracy = 92.3% |
| [32] | 2017 | Generated from experiments | Accelerometer, gyroscope, proximity sensor and compass | Right, left, and front pockets | SVM, decision tree, kNN, discriminant analysis | Highest accuracy = 99% for SVM |
| [33] | 2010 | Generated from experiments | 3-Axis accelerometer | Chest, thigh | Naive-Bayes, SVM, OneR, C4.5 (J48), neural networks | Naive-Bayes gave best results Accuracy = 100% |
| [34] | 2017 | Generated from experiments | Accelerometer (MobiAct dataset) | Not applicable | ENN+ kNN (where ENN was applied to remove outliers), ANN, SVM, and J48 | For ENN+ kNN: Sensitivity = 95.52% Specificity = 97.07% Precision = 91.83% |
| [35] | 2018 | Generated from experiments | Triaxial gyroscope | Waist | Decision tree | Accuracy = 99.52% Precision = 99.3% Recall = 99.5% |
| [36] | 2018 | Cogent dataset, SisFall dataset | 3D accelerometer , 3D gyroscope- Cogent dataset Accelerometer, gyroscope (SisFall) dataset | Chest, waist | Event-ML, classification and regression tree (CART), kNN, logistic regression, SVM | Better precision and F-scores with Event-ML than FOSW and FNSW-based approaches |
| [37] | 2018 | SisFall dataset, generated from experiments | 3-Axis accelerometer | Chest/thigh, waist | SVM, kNN, Naïve- Bayes, decision tree | Accuracy and sensitivity of SVM were the highest (97.6% and 98.3%, respectively) for both datasets. |
| [38] | 2018 | UMA Datasheet | Accelerometer, gyroscope, magnetometer | Wrist, waist, chest, ankle | kNN, Naive-Bayes, SVM, ANN, decision tree | Without risk categorization: 81% for decision tree With risk categorization: 85% for decision tree |
| [39] | 2018 | SisFall dataset original and manually labelled | 3-Axis accelerometer | Not specified | RNN | Highest accuracy reported for fall detection: 83.68% (before manual labelling), 98.33% (after manual labelling) |
| [40] | 2018 | Generated from experiments | Accelerometer, gyroscope, magnetometer | Near the waist | kNN | Accuracy = 99.4% |
| [41] | 2018 | Generated from Experiments | 3-Axis accelerometer | Waist | Decision tree | Accuracy = 91.67% Precision = 93.75% |
| [42] | 2018 | SiSFall dataset | 3-Axis accelerometer | Waist | RNN with LSTM | Highest accuracy after hyperparameter Optimization(97.16%) |
| [43] | 2018 | Generated from experiments | Depth camera, accelerometer | Waist | CNN | Accuracy of fall detection = 100% |
| [44] | 2018 | Generated from experiments | Accelerometer, gyroscope, magnetometer | Hip | SVM, random forest | Without sensor fusion: Accelerometer |
| [45] | 2019 | Public datasets | Accelerometer, gyroscope | Chest, thigh | ANN, kNN, QSVM, ensemble bagged tree (EBT) | Extraction of new features from acceleration and angular velocity improved the accuracy of all 4 classifiers. Accuracy of EBT was highest (97.7%) |
| [46] | 2019 | SisFall dataset | Accelerometer, gyroscope | Waist | kNN, SVM, random forest | Accuracy for fall detection was the highest for kNN (99.8%). Accuracy for recognizing fall activities was the highest for random forest (96.82%) |
| [47] | 2019 | Public datasets | Accelerometer | Not specified | CNN-based models for feature extraction | Highest accuracy reported = 99.86% |
| [48] | 2020 | SiSfall dataset | Two triaxle accelrometers and gyroscope | Wrist | The XGBoost was implemented on spyder software with a 75-25 train-test split | Overall accuracy using XGBoost = 94.6% |
| [49] | 2020 | SiSFall dataset | Accelerometer and Gyroscope sensors inbuilt with Smartphone | Carrying smartphone on hand or pockets | Features were extracted from raw data and person’s correlation was implemented, on the features RF,ANN, SVM and Boosted decision tree was implemented | Accuracies Random Forest = 99.7% ANN = 99.2% SVM = 98.5% Boosted decision tree = 99.9%. |
| [50] | 2020 | Generated from experimentation | All IMU sensors and heart-rate sensor | Wrist | Mean and median was calculated from Raw dataset and ANN, KNN, XGB, NB and Random Forest | Accuracy on mean and median ANN = 85.69% KNN = 94.3% XGB = 85.3% NV = 66% Random Forest = 99.7% |
| [51] | 2021 | Combination of experimentally Generated and publicly available datset | IMU Based sensor on wristwatch and smartphones | Wrist, waist pelvis | SVM,KNN and ANN was implemented | SVM (wrist placement) = 91.3% (waist placement) = 98% KNN (Wrist placement) = 99% (waist placement) = 99.8% ANN (Wrist placement) = 95.25% (Waist placement) = 92.96% |
| [52] | 2021 | UR Fall, MOBIFALL, UP Fall | Accelerometer, magnetometer, gyroscope, ECG sensor | MOBIFALL = trouser, pocket Up Fall = wrist, ankle Ur Fall = pelvis | Feature extraction was performed on the raw dataset and basic ML methods like RF,SVM,KNN,LR,BB and DT were implemented | UR Fall dataset = 99%(RF) UP Fall dataset = 99%(LR) MOBIFALL dataset = 99%(for nearly all mentioned algorithm) |
| [53] | 2022 | Generated from experiments | Accelerometer and gyroscope sensor | Wrist | Data augmentation to solve the imbalance of data set, classification was done by BiLSTM model | Combined sensor accuracy KNN = 74.70% RF = 75.64% SVM = 73.74% BiLSTM = 97.35% |
| [54] | 2022 | Generated from experiments | Image based, External placement | Camera based | Multiple images were captured of the subject’s skeletal orientation, Standard deviation was calculated and fed into KNN based classifier | Overall accuracy of 95% was obtained |
| [55] | 2022 | SisFall, DaLiaC, UMAFall and Epilepsy | IMU based sensors | Wrist and Waist placement | Multiple algorithms were run like ANN, SVM, Decision Trees, Naïve Bayes and Deep learning based | Overall accuracy obtained by the classifier was 92.5% |
| Dataset | Voulenteers | ADLs | Falls | trials | Instances | Age-range | Sensor Placement |
Sensors Used |
|---|---|---|---|---|---|---|---|---|
| UCI | 17 | 16 | 20 | 5 | 3060 | Not available | Head,chest ,waist,wrist ,thigh,ankle |
3-axis accelerometer |
| Glasgow University |
16 | 7 | 3 | 2 | 320 | 23-58 years | Smartphones in pockets |
Smarthphone sensors Depth camera, Doppler radar |
| UMA Fall | 17 | 8 | 3 | 3 | 561 | Not available | Wrist,waist ,thigh,Chest ,ankle |
3-axis Accelerometer 3-axis Magnetometer |
| Mobi Fall | 11 | 9 | 4 | 3 | 429 | 22-32 years | Smartphones in pockets |
3-axis Accelerometer 3-axis Gyroscopes |
| Tfall | 10 | continuous | 8 | 1 | Not available | 23-50 years | Smartphones in pockets |
3-axis Accelerometer 3-axis Gyroscopes |
| SiS Fall | 38 | 19 | 15 | 5 | 6460 | 23-50 years | waist | 3-axis Accelerometer 3-axis Gyroscopes |
| SmartWatch | 7 | 4 | 4 | 10 | 280 | 21-55 years | wrist | 3-axis accelerometer |
| Notch | 7 | 7 | 4 | 1 | 91 | 20-35 years | wrist | 3-axis accelerometer |
| BITS-1 | 10 | 14 | 6 | 3 | 600 | 20-22 years | wrist | 3-axis Accelerometer 3-axis Magnetometer 3-axis Gyroscope Heart rate |
| BITS-2 | 41 | 16 | 8 | 5 | 4920 | 22-50 years | wrist | 3-axis Accelerometer 3-axis Magnetometer 3-axis Gyroscope Heart rate |
| Activities of Daily Living (all activities had been performed with 5 trails each) | |||||
|---|---|---|---|---|---|
| Stationary movement | duration | Standard movement | duration | Sporting movements | duration |
| Slowly sitting on chair | 30 seconds | Walking slow | 2 minutes | Walking quickly | 2 minutes |
| Rapidly sitting on chair | 30 seconds | climbing up slowly | 2 minutes | Jogging | 2 minutes |
| Nearly sitting on chair and getting up | 30 seconds | climbing down slowly | 2 minutes | Jumping | 30 seconds |
| Swinging hands | 2 minutes | Lying on back and getting up slowly | 30 seconds | climbing up fast | 2 minutes |
| Lying on Bed | 2 minutes | Lying on back and getting up quickly | 30 seconds | climbing down fast | 2 minutes |
| transition from sideways to one’s back while lying | 30 seconds | ||||
| Hard and Soft Falls (all activities had been performed with 5 trails each) | |||
|---|---|---|---|
| Hard Falls | duration | Soft Falls | duration |
| Forward Fall landing on Knee | 40 seconds | Forward Fall | 40 seconds |
| Seated on Bed and falling on ground | 40 seconds | Right Fall | 40 seconds |
| Forward Fall body weight on hand | 40 seconds | Left Fall | 40 seconds |
| Backward fall from seated position | 40 seconds | Grabbing while falling | 40 seconds |
| Subject id | Gender | Height (cm) | Weight (kg) | Age | Heart rate | Health conditions |
|---|---|---|---|---|---|---|
| 1 | Male | 167.64 | 65 | 25 | 114 | Sinus Tachycardia |
| 2 | Male | 193.04 | 98 | 41 | 82 | High Blood Pressure, Overweight |
| 3 | Female | 152.4 | 62.5 | 46 | 79 | no existing health issues |
| 4 | female | 157.48 | 50 | 23 | 110 | multiple Allergies |
| 5 | female | 170.18 | 62 | 20 | 97 | no existing health issues |
| 6 | Male | 165.1 | 100 | 24 | 84 | Obese |
| 7 | Male | 162.56 | 62 | 24 | 65 | no existing health issues |
| 8 | Male | 172.72 | 74.5 | 24 | 78 | no existing health issues |
| 9 | Male | 165.1 | 80 | 26 | 70 | Overweight |
| 10 | Female | 157.48 | 68 | 38 | 87 | no existing health issues |
| 11 | Female | 165.1 | 81 | 37 | 98 | Thyroid, Overweight |
| 12 | Male | 170.18 | 63.5 | 21 | 60 | no existing health issues |
| 13 | Male | 170.18 | 65 | 25 | 85 | no existing health issues |
| 14 | Male | 154.94 | 80 | 21 | 100 | Obese |
| 15 | Female | 157.48 | 80 | 25 | 105 | Obese |
| 16 | Female | 157.48 | 55 | 24 | 110 | no existing health issues |
| 17 | Female | 162.56 | 74 | 25 | 103 | no existing health issues |
| 18 | Female | 162.56 | 70 | 23 | 86 | no existing health issues |
| 19 | Female | 157.48 | 79 | 21 | 104 | Obese |
| 20 | Female | 160.02 | 56 | 20 | 76 | Hypochondria and extreme anxiety |
| 21 | Female | 157.48 | 66 | 37 | 90 | no existing health issues |
| 22 | Male | 182.88 | 60 | 20 | 93 | no existing health issues |
| 23 | Male | 175.26 | 55 | 21 | 60 | no existing health issues |
| 24 | Male | 172.72 | 65.5 | 20 | 84 | no existing health issues |
| 25 | Male | 170.18 | 63.5 | 21 | 90 | no existing health issues |
| 26 | Male | 167.64 | 61 | 20 | 73 | no existing health issues |
| 27 | Male | 167.64 | 53 | 21 | 55 | Low BP |
| 28 | Male | 167.64 | 56 | 22 | 71 | no existing health issues |
| 29 | Male | 167.64 | 74 | 21 | 77 | no existing health issues |
| 30 | Male | 165.1 | 75 | 42 | 80 | Early sign of Arthritis |
| 31 | Male | 162.56 | 50 | 44 | 80 | no existing health issues |
| 32 | Female | 157.48 | 61 | 20 | 85 | no existing health issues |
| 33 | Female | 157.48 | 50 | 22 | 109 | Sinusoitis |
| 34 | Male | 180.34 | 68 | 38 | 93 | Genetic Diabetes |
| 35 | Male | 162.56 | 60 | 25 | 75 | no existing health issues |
| 36 | Male | 167.64 | 78 | 26 | 82 | no existing health issues |
| 37 | Male | 180.34 | 78 | 47 | 90 | Diabetes and High Pressure |
| 38 | Male | 165.1 | 71 | 41 | 75 | High Blood Pressure |
| 39 | Male | 152.4 | 60 | 37 | 70 | no existing health issues |
| 40 | Male | 157.48 | 62 | 37 | 62 | no existing health issues |
| 41 | Male | 182.88 | 120 | 29 | 95 | High Blood Pressure, Obese |
| Sr no. | Parameter | Values and Nos |
|---|---|---|
| 1 | Gender | Male = 27 Female = 14 |
| 2 | Age-range | 20-30 years = 29 30-40 years = 6 >40 years = 6 |
| 3 | Weight-range | 50 Kg – 65 Kg = 21 65 Kg – 80 Kg = 16 80 Kg – 100 Kg = 3 100 Kg – 120 Kg = 1 |
| 4 | Height Range | 5ft – 5ft 5in = 23 5ft 5in – 6ft = 16 >6ft = 2 |
| 5 | Health Issues | No. of subjects with health issues = 17 No. of subjects without health issues = 24 Health Conditions of subjects: Sinus Tachycardia, High Blood Pressure, Overweight, Folic acid allergy, Obese, Thyroid, Hypochondria, extreme anxiety Low Blood Pressure, Prostrate, Sinusitis and Genetic Diabetes |
| Sr no. | User Demographics | Range | Train | Test |
|---|---|---|---|---|
| 1 | Age | <30 30-40 40-50 |
<30 (70% Train) <30 <30 30-40 30-40 40-50 |
<30 (30% test) 30 -40 40 - 50 30 - 40 40 - 50 40 - 50 |
| 2 | Gender | Male Female |
Female Male Male Female |
Female Male Female Male |
| 3 | Health Issues | With Without |
Without With With Without |
Without With Without With |
| 4 | Height | <5.5ft >5.5ft |
<5.5ft >5.5ft <5.5ft >5.5ft |
<5.5ft >5.5ft <5.5ft >5.5ft |
| 5 | Weight | 50-65 65-80 80-120 |
50-65 65-80 80-120 50-65 50-65 65-80 65-80 80-120 80-120 |
50-65 65-80 80-120 65-80 80-120 50-65 80-120 50-65 65-80 |
| Train | Test | Accuracy (%) | Sensitivity (%) | Specificity (%) | ||||||||||||
|---|---|---|---|---|---|---|---|---|---|---|---|---|---|---|---|---|
| SVM | KNN | LR | NV | RF | SVM | KNN | LR | NV | RF | SVM | KNN | LR | NV | RF | ||
| < 30 | < 30 | 94.60 | 92.15 | 92.64 | 86.76 | 92.15 | 93.38 | 89.51 | 93.18 | 91.80 | 91.24 | 97.06 | 98.36 | 91.67 | 79.27 | 94.03 |
| < 30 | 30-40 | 92.50 | 90.00 | 89.38 | 87.50 | 90.63 | 92.37 | 89.34 | 90.60 | 89.66 | 90.76 | 92.86 | 92.11 | 86.05 | 81.82 | 90.24 |
| < 30 | 40-50 | 96.53 | 95.14 | 95.83 | 93.75 | 99.31 | 95.96 | 93.20 | 95.92 | 93.94 | 98.97 | 97.78 | 100 | 95.65 | 93.33 | 100 |
| 30-40 | 30-40 | 85.42 | 81.25 | 83.33 | 72.92 | 87.50 | 84.21 | 78.57 | 83.78 | 85.71 | 84.62 | 90.00 | 100 | 81.82 | 55 | 100 |
| 30-40 | 40-50 | 90.28 | 89.58 | 90.97 | 88.89 | 95.83 | 91.84 | 86.49 | 91.92 | 97.62 | 94.12 | 86.96 | 100 | 88.89 | 76.67 | 100 |
| 40-50 | 40-50 | 93.18 | 88.64 | 93.18 | 84.09 | 90.91 | 90.32 | 84.85 | 93.10 | 92.00 | 92.86 | 100 | 100 | 93.33 | 73.68 | 87.50 |
| Train | Test | Accuracy (%) | Sensitivity (%) | Specificity (%) | ||||||||||||
|---|---|---|---|---|---|---|---|---|---|---|---|---|---|---|---|---|
| SVM | KNN | LR | NV | RF | SVM | KNN | LR | NV | RF | SVM | KNN | LR | NV | RF | ||
| < 30 | < 30 | 95.10 | 91.67 | 93.14 | 87.25 | 92.16 | 92.81 | 89.44 | 93.23 | 93.28 | 90.07 | 100 | 96.77 | 92.96 | 78.82 | 96.83 |
| < 30 | 30-40 | 92.50 | 90.52 | 89.38 | 87.50 | 90.63 | 92.37 | 90.08 | 90.60 | 89.66 | 89.43 | 92.86 | 92.31 | 86.05 | 81.82 | 94.60 |
| < 30 | 40-50 | 95.83 | 95.14 | 95.14 | 94.44 | 99.31 | 95.92 | 93.20 | 94.95 | 96.81 | 98.97 | 95.65 | 100 | 95.56 | 90 | 100 |
| 30-40 | 30-40 | 87.50 | 81.25 | 79.17 | 72.92 | 87.50 | 86.49 | 78.57 | 82.86 | 85.71 | 84.62 | 90.91 | 100 | 69.23 | 55 | 100 |
| 30-40 | 40-50 | 90.97 | 88.89 | 90.28 | 88.19 | 93.75 | 91.09 | 85.71 | 91.84 | 98.77 | 92.23 | 90.70 | 100 | 86.96 | 74.60 | 97.56 |
| 40-50 | 40-50 | 90.91 | 86.36 | 93.18 | 84.09 | 93.18 | 90 | 82.35 | 93.10 | 88.89 | 93.10 | 92.86 | 100 | 93.33 | 76.47 | 93.33 |
| Train | Test | Accuracy (%) | Sensitivity (%) | Specificity (%) | ||||||||||||
|---|---|---|---|---|---|---|---|---|---|---|---|---|---|---|---|---|
| SVM | KNN | LR | NV | RF | SVM | KNN | LR | NV | RF | SVM | KNN | LR | NV | RF | ||
| Female | Female | 93.07 | 86.14 | 88.12 | 84.16 | 93.07 | 96.92 | 92.19 | 95.16 | 94.83 | 95.52 | 86.11 | 75.68 | 76.92 | 69.77 | 88.24 |
| Male | Male | 93.33 | 92.82 | 95.90 | 89.23 | 92.82 | 93.13 | 90.00 | 94.70 | 91.34 | 91.79 | 93.75 | 100.00 | 98.41 | 85.29 | 95.08 |
| Male | Female | 94.35 | 90.48 | 94.35 | 89.58 | 93.45 | 94.37 | 88.40 | 94.76 | 89.21 | 93.16 | 94.29 | 96.51 | 93.46 | 90.53 | 94.12 |
| Female | Male | 91.82 | 92.59 | 92.90 | 91.05 | 93.83 | 90.58 | 91.20 | 93.47 | 93.29 | 92.79 | 95.03 | 96.15 | 91.67 | 86.57 | 96.32 |
| Train | Test | Accuracy (%) | Sensitivity (%) | Specificity (%) | ||||||||||||
|---|---|---|---|---|---|---|---|---|---|---|---|---|---|---|---|---|
| SVM | KNN | LR | NV | RF | SVM | KNN | LR | NV | RF | SVM | KNN | LR | NV | RF | ||
| Female | Female | 95.04 | 89.10 | 89.10 | 85.14 | 93.06 | 98.46 | 93.84 | 95.23 | 94.91 | 95.52 | 88.88 | 80.55 | 78.94 | 71.42 | 88.23 |
| Male | Male | 92.30 | 92.82 | 95.38 | 88.71 | 92.82 | 93.02 | 90.57 | 94.65 | 91.26 | 92.42 | 90.90 | 98.24 | 96.87 | 84.05 | 93.65 |
| Male | Female | 93.75 | 92.26 | 94.05 | 89.29 | 92.56 | 93.94 | 91.25 | 94.74 | 89.17 | 92.34 | 93.33 | 94.79 | 92.59 | 89.58 | 93.07 |
| Female | Male | 92.44 | 92.28 | 92.44 | 90.43 | 94.14 | 90.83 | 90.81 | 93.03 | 93.43 | 93.20 | 96.56 | 96.11 | 91.13 | 84.68 | 96.35 |
| Train | Test | Accuracy (%) | Sensitivity (%) | Specificity (%) | ||||||||||||
|---|---|---|---|---|---|---|---|---|---|---|---|---|---|---|---|---|
| SVM | KNN | LR | NV | RF | SVM | KNN | LR | NV | RF | SVM | KNN | LR | NV | RF | ||
| Without | Without | 96.11 | 93.33 | 93.89 | 92.22 | 95.56 | 95.80 | 93.33 | 94.12 | 95.54 | 95.00 | 96.72 | 93.33 | 93.44 | 86.76 | 96.67 |
| With | With | 91.38 | 83.62 | 90.52 | 84.48 | 91.38 | 93.75 | 82.80 | 93.67 | 86.90 | 91.67 | 86.11 | 86.96 | 83.78 | 78.13 | 90.63 |
| With | Without | 95.00 | 91.50 | 94.17 | 90.83 | 94.00 | 95.12 | 89.21 | 95.06 | 91.17 | 94.17 | 94.74 | 98.06 | 92.31 | 90.06 | 93.62 |
| Without | With | 94.27 | 92.19 | 92.71 | 89.06 | 94.53 | 94.32 | 91.85 | 92.54 | 91.80 | 93.04 | 94.17 | 92.98 | 93.10 | 83.59 | 98.20 |
| Train | Test | Accuracy (%) | Sensitivity (%) | Specificity (%) | ||||||||||||
|---|---|---|---|---|---|---|---|---|---|---|---|---|---|---|---|---|
| SVM | KNN | LR | NV | RF | SVM | KNN | LR | NV | RF | SVM | KNN | LR | NV | RF | ||
| Without | Without | 93.33 | 92.22 | 93.89 | 94.44 | 96.11 | 93.33 | 91.13 | 94.87 | 95.69 | 95.80 | 93.33 | 94.64 | 92.06 | 92.19 | 96.72 |
| With | With | 90.52 | 85.34 | 88.79 | 83.62 | 92.24 | 93.67 | 83.87 | 92.41 | 86.75 | 91.76 | 83.78 | 91.30 | 81.08 | 75.76 | 93.55 |
| With | Without | 96.50 | 92.00 | 94.50 | 90.00 | 93.83 | 97.73 | 90.18 | 95.76 | 90.67 | 94.38 | 94.09 | 96.91 | 91.96 | 88.46 | 92.67 |
| Without | With | 93.49 | 92.45 | 92.71 | 88.80 | 93.75 | 94.25 | 92.19 | 92.54 | 91.44 | 92.65 | 91.87 | 93.04 | 93.10 | 83.46 | 96.43 |
| Train | Test | Accuracy (%) | Sensitivity (%) | Specificity (%) | ||||||||||||
|---|---|---|---|---|---|---|---|---|---|---|---|---|---|---|---|---|
| SVM | KNN | LR | NV | RF | SVM | KNN | LR | NV | RF | SVM | KNN | LR | NV | RF | ||
| < 5.5 | < 5.5 | 92.77 | 91.57 | 91.57 | 89.76 | 91.57 | 93.69 | 90.60 | 92.79 | 91.82 | 90.60 | 90.91 | 93.88 | 89.09 | 85.71 | 93.88 |
| > 5.5 | > 5.5 | 93.85 | 90.77 | 91.54 | 86.15 | 93.08 | 97.56 | 89.36 | 97.47 | 91.46 | 93.26 | 87.50 | 94.44 | 82.35 | 77.08 | 92.68 |
| > 5.5 | < 5.5 | 93.12 | 90.40 | 92.93 | 90.76 | 91.85 | 93.19 | 87.77 | 92.51 | 89.92 | 90.27 | 92.94 | 98.52 | 93.94 | 92.90 | 96.03 |
| < 5.5 | > 5.5 | 94.91 | 92.82 | 94.68 | 89.81 | 93.75 | 94.93 | 91.05 | 95.22 | 92.36 | 93.94 | 94.85 | 97.48 | 93.53 | 84.72 | 93.33 |
| Train | Test | Accuracy (%) | Sensitivity (%) | Specificity (%) | ||||||||||||
|---|---|---|---|---|---|---|---|---|---|---|---|---|---|---|---|---|
| SVM | KNN | LR | NV | RF | SVM | KNN | LR | NV | RF | SVM | KNN | LR | NV | RF | ||
| < 5.5 | < 5.5 | 95.18 | 93.98 | 92.17 | 90.36 | 91.57 | 97.20 | 93.04 | 93.64 | 92.66 | 90.60 | 91.53 | 96.08 | 89.29 | 85.96 | 93.88 |
| > 5.5 | > 5.5 | 94.62 | 90.77 | 90.00 | 83.85 | 93.08 | 96.47 | 89.36 | 96.20 | 89.16 | 93.26 | 91.11 | 94.44 | 80.39 | 74.47 | 92.68 |
| > 5.5 | < 5.5 | 92.93 | 90.40 | 93.12 | 90.40 | 93.30 | 92.73 | 88.14 | 92.53 | 90.28 | 91.69 | 93.41 | 97.12 | 94.51 | 90.68 | 97.42 |
| < 5.5 | > 5.5 | 95.14 | 93.06 | 94.68 | 89.35 | 93.98 | 94.95 | 91.35 | 95.22 | 92.01 | 94.26 | 95.56 | 97.50 | 93.53 | 84.03 | 93.38 |
| Train | Test | Accuracy (%) | Sensitivity (%) | Specificity (%) | ||||||||||||
|---|---|---|---|---|---|---|---|---|---|---|---|---|---|---|---|---|
| SVM | KNN | LR | NV | RF | SVM | KNN | LR | NV | RF | SVM | KNN | LR | NV | RF | ||
| 50-65 | 50-65 | 96.35 | 94.89 | 94.89 | 89.78 | 93.43 | 94.68 | 93.62 | 94.57 | 95.18 | 92.55 | 100.00 | 97.67 | 95.56 | 81.48 | 95.35 |
| 65-80 | 65-80 | 91.67 | 87.96 | 88.89 | 84.26 | 92.59 | 93.75 | 87.50 | 95.89 | 91.89 | 94.94 | 85.71 | 90.00 | 74.29 | 67.65 | 86.21 |
| 80-120 | 80-120 | 94.12 | 90.20 | 90.20 | 90.20 | 92.16 | 92.11 | 91.67 | 91.67 | 96.88 | 91.89 | 100.00 | 86.67 | 86.67 | 78.95 | 92.86 |
| 50-65 | 65-80 | 93.89 | 94.17 | 92.78 | 91.39 | 93.61 | 93.60 | 92.94 | 94.21 | 92.65 | 92.22 | 94.55 | 97.14 | 89.83 | 88.70 | 97.09 |
| 50-65 | 80-120 | 89.29 | 90.48 | 86.90 | 86.90 | 88.69 | 91.23 | 89.34 | 88.79 | 90.91 | 89.74 | 85.19 | 93.48 | 82.69 | 79.31 | 86.27 |
| 65-80 | 50-65 | 94.74 | 91.01 | 93.64 | 91.45 | 93.42 | 95.45 | 89.25 | 94.50 | 92.88 | 93.35 | 93.24 | 95.87 | 91.84 | 88.44 | 93.57 |
| 65-80 | 80-120 | 94.64 | 89.29 | 91.07 | 88.69 | 90.48 | 94.78 | 87.30 | 93.69 | 91.15 | 90.00 | 94.34 | 95.24 | 85.96 | 83.64 | 91.67 |
| 80-120 | 50-65 | 88.60 | 87.06 | 92.54 | 90.57 | 92.76 | 88.41 | 85.30 | 93.27 | 92.23 | 91.44 | 89.06 | 92.66 | 90.97 | 87.07 | 96.12 |
| 80-120 | 65-80 | 91.94 | 88.06 | 92.50 | 90.00 | 93.06 | 92.37 | 86.08 | 92.77 | 92.50 | 91.19 | 90.99 | 94.25 | 91.89 | 85.00 | 97.98 |
| Train | Test | Accuracy (%) | Sensitivity (%) | Specificity (%) | ||||||||||||
|---|---|---|---|---|---|---|---|---|---|---|---|---|---|---|---|---|
| SVM | KNN | LR | NV | RF | SVM | KNN | LR | NV | RF | SVM | KNN | LR | NV | RF | ||
| 50-65 | 50-65 | 94.89 | 95.62 | 94.89 | 89.78 | 93.43 | 93.62 | 94.62 | 95.56 | 95.18 | 92.55 | 97.67 | 97.73 | 93.62 | 81.48 | 95.35 |
| 65-80 | 65-80 | 92.59 | 87.04 | 91.67 | 83.33 | 92.59 | 94.94 | 85.71 | 96.05 | 90.67 | 94.94 | 86.21 | 94.12 | 81.25 | 66.67 | 86.21 |
| 80-120 | 80-120 | 90.20 | 88.24 | 92.16 | 90.20 | 92.16 | 89.47 | 87.18 | 94.29 | 96.88 | 91.89 | 92.31 | 91.67 | 87.50 | 78.95 | 92.86 |
| 50-65 | 65-80 | 94.44 | 94.44 | 93.06 | 91.11 | 93.06 | 94.72 | 92.97 | 94.61 | 91.60 | 91.19 | 93.86 | 98.08 | 89.92 | 90.00 | 97.98 |
| 50-65 | 80-120 | 90.48 | 90.48 | 89.29 | 87.50 | 89.29 | 92.11 | 90.00 | 90.52 | 89.57 | 89.83 | 87.04 | 91.67 | 86.54 | 83.02 | 88.00 |
| 65-80 | 50-65 | 95.18 | 92.11 | 94.30 | 91.45 | 93.64 | 96.08 | 90.61 | 94.84 | 93.44 | 93.93 | 93.33 | 96.03 | 93.15 | 87.42 | 93.01 |
| 65-80 | 80-120 | 93.45 | 89.29 | 89.88 | 87.50 | 90.48 | 93.91 | 87.30 | 91.30 | 89.57 | 90.00 | 92.45 | 95.24 | 86.79 | 83.02 | 91.67 |
| 80-120 | 50-65 | 90.35 | 87.72 | 92.54 | 89.47 | 92.54 | 91.67 | 86.05 | 94.41 | 92.11 | 91.41 | 87.50 | 92.86 | 88.82 | 84.21 | 95.38 |
| 80-120 | 65-80 | 91.94 | 86.11 | 92.50 | 89.44 | 92.22 | 92.37 | 84.17 | 92.77 | 91.74 | 90.46 | 90.99 | 92.68 | 91.89 | 84.75 | 96.94 |
Disclaimer/Publisher’s Note: The statements, opinions and data contained in all publications are solely those of the individual author(s) and contributor(s) and not of MDPI and/or the editor(s). MDPI and/or the editor(s) disclaim responsibility for any injury to people or property resulting from any ideas, methods, instructions or products referred to in the content. |
© 2020 by the authors. Licensee MDPI, Basel, Switzerland. This article is an open access article distributed under the terms and conditions of the Creative Commons Attribution (CC BY) license (https://creativecommons.org/licenses/by/4.0/).