Submitted:
06 May 2023
Posted:
08 May 2023
You are already at the latest version
Abstract
Keywords:
1. Introduction
2. Materials and Methods
2.1. Materials
2.2. Preparation of oligophosphonate, PFR-4
2.3. Preparation of PVA/OA films
2.4. Methods
2.4.1. FTIR spectra
2.4.2. Scanning electron microscopy
2.4.3. Contact angle
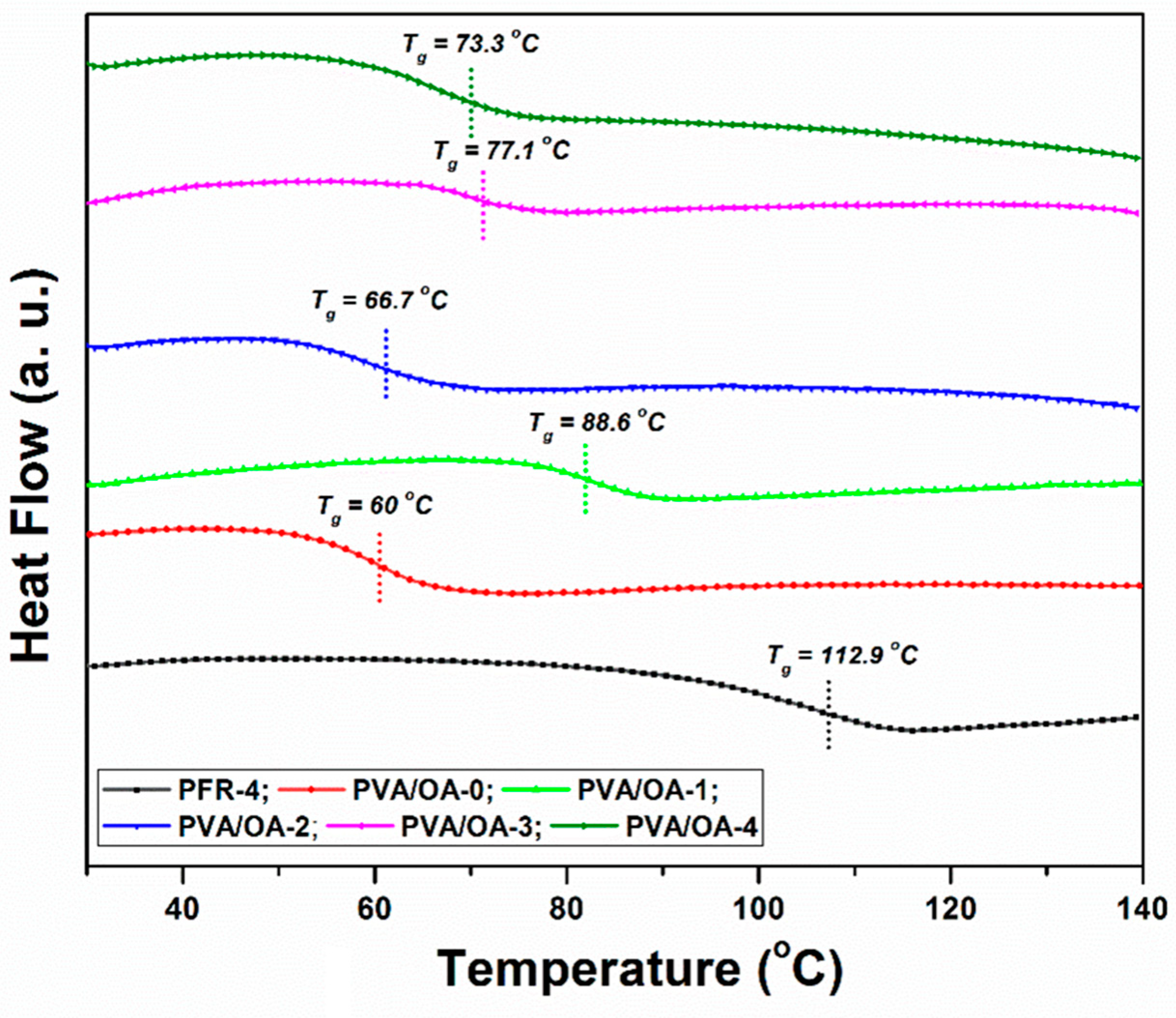
2.4.4. Differential scanning calorimetry (DSC) measurements
2.4.5. TGA measurements
2.4.6. Microscale combustion calorimetry (MCC)
2.4.7. Mechanical Testing
2.4.8. Antimicrobial activity
3. Results
3.1. Structural investigation
3.2. Morphology investigation
3.3. Surface Characteristics
3.4. Thermal Stability
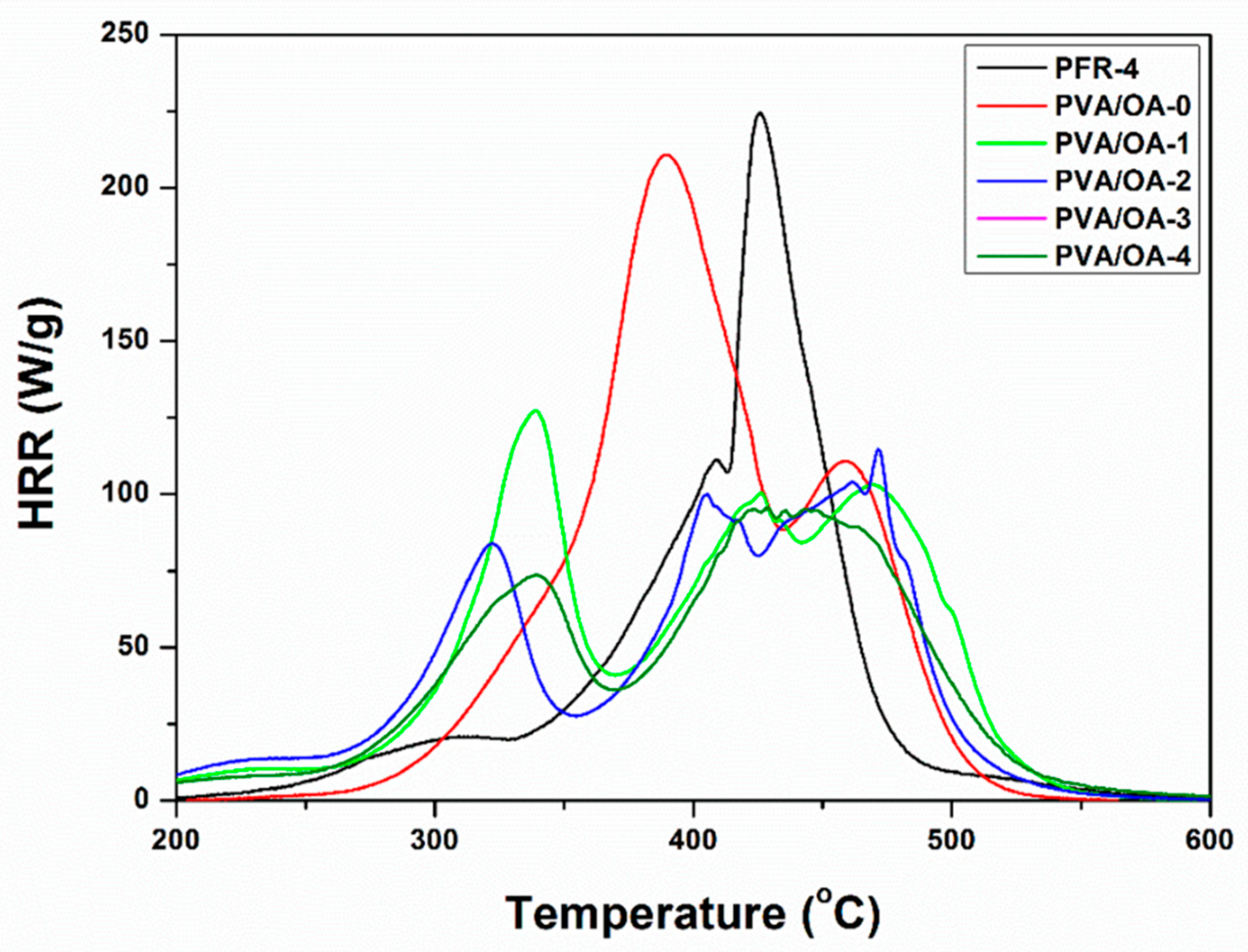
3.5. Microscale combustion calorimetry (MCC) tests
3.6. Mechanical Properties of Films
3.7. Antimicrobial properties
4. Conclusions
Author Contributions
Funding
Data Availability Statement
Acknowledgments
Conflicts of Interest
References
- Borg, K.; Lennox, A.; Kaufman, S.; Tull, F.; Prime, R.; Rogers, L.; Dunstan, E. Curbing plastic consumption: A review of single-use plastic behaviour change interventions. Journal of Cleaner Production 2022, 344, 131077. [Google Scholar] [CrossRef]
- Nguyen, H.V.; Le, M.T.T.; Do, L.T. Intrinsic motivation for reducing single-use plastics: The compensation effects of basic psychological needs. Resources, Conservation and Recycling 2022, 185, 106482. [Google Scholar] [CrossRef]
- Patrício Silva, A.L.; Prata, J.C.; Walker, T.R.; Campos, D.; Duarte, A.C.; Soares, A.M.V.M.; Barcelò, D.; Rocha-Santos, T. Rethinking and optimising plastic waste management under COVID-19 pandemic: Policy solutions based on redesign and reduction of single-use plastics and personal protective equipment. Sci. Total Environ. 2020, 742, 140565. [Google Scholar] [CrossRef] [PubMed]
- Shams, M.; Alam, I.; Mahbub, M.S. Plastic pollution during COVID-19: Plastic waste directives and its long-term impact on the environment. Environmental Advances 2021, 5, 100119. [Google Scholar] [CrossRef] [PubMed]
- Charles, D.; Kimman, L. Plastic Waste Makers Index 2023; Minderoo Foundation: 2023.
- Evode, N.; Qamar, S.A.; Bilal, M.; Barceló, D.; Iqbal, H.M.N. Plastic waste and its management strategies for environmental sustainability. Case Studies in Chemical and Environmental Engineering 2021, 4, 100142. [Google Scholar] [CrossRef]
- Wandosell, G.; Parra-Meroño, M.C.; Alcayde, A.; Baños, R. Green Packaging from Consumer and Business Perspectives. Sustainability 2021, 13. [Google Scholar] [CrossRef]
- Orzan, G.; Cruceru, A.F.; Bălăceanu, C.T.; Chivu, R.-G. Consumers’ Behavior Concerning Sustainable Packaging: An Exploratory Study on Romanian Consumers. Sustainability 2018, 10. [Google Scholar] [CrossRef]
- Granato, G.; Fischer, A.R.H.; van Trijp, H.C.M. The price of sustainability: How consumers trade-off conventional packaging benefits against sustainability. Journal of Cleaner Production 2022, 365, 132739. [Google Scholar] [CrossRef]
- Anjoran, R. Advantages of Bioplastics vs. Disadvantages: Memo for Product Designers. Available online: https://qualityinspection.org/advantages-of-bioplastics-vs-disadvantages/.
- Bourakadi, K.E.; Merghoub, N.; Fardioui, M.; Mekhzoum, M.E.M.; Kadmiri, I.M.; Essassi, E.M.; Qaiss, A.e.K.; Bouhfid, R. Chitosan/polyvinyl alcohol/thiabendazoluim-montmorillonite bio-nanocomposite films: Mechanical, morphological and antimicrobial properties. Composites Part B: Engineering 2019, 172, 103–110. [Google Scholar] [CrossRef]
- Rosenboom, J.-G.; Langer, R.; Traverso, G. Bioplastics for a circular economy. Nature Reviews Materials 2022, 7, 117–137. [Google Scholar] [CrossRef]
- Sadasivuni, K.K.; Saha, P.; Adhikari, J.; Deshmukh, K.; Ahamed, M.B.; Cabibihan, J.-J. Recent advances in mechanical properties of biopolymer composites: a review. Polym. Compos. 2020, 41, 32–59. [Google Scholar] [CrossRef]
- Dogra, V.; Verma, D.; Fortunati, E. Chapter 15 - Biopolymers and nanomaterials in food packaging and applications. In Nanotechnology-Based Sustainable Alternatives for the Management of Plant Diseases, Balestra, G.M., Fortunati, E., Eds.; Elsevier: 2022; pp. 355–374.
- Pokharel, A.; Falua, K.J.; Babaei-Ghazvini, A.; Acharya, B. Biobased Polymer Composites: A Review. Journal of Composites Science 2022, 6. [Google Scholar] [CrossRef]
- Gutierrez Cisneros, C.; Bloemen, V.; Mignon, A. Synthetic, Natural, and Semisynthetic Polymer Carriers for Controlled Nitric Oxide Release in Dermal Applications: A Review. Polymers (Basel) 2021, 13. [Google Scholar] [CrossRef] [PubMed]
- Simionescu, B.C.; Ivanov, D. Natural and Synthetic Polymers for Designing Composite Materials. In Handbook of Bioceramics and Biocomposites, Antoniac, I.V., Ed.; Springer International Publishing: Cham, 2014; pp. 1–54. [Google Scholar]
- Liu, B.; Zhang, J.; Guo, H. Research Progress of Polyvinyl Alcohol Water-Resistant Film Materials. Membranes 2022, 12. [Google Scholar] [CrossRef] [PubMed]
- Gaume, J.; Wong-Wah-Chung, P.; Rivaton, A.; Thérias, S.; Gardette, J.-L. Photochemical behavior of PVA as an oxygen-barrier polymer for solar cell encapsulation. RSC Adv. 2011, 1, 1471–1481. [Google Scholar] [CrossRef]
- Sapalidis, A.A. Porous Polyvinyl Alcohol Membranes: Preparation Methods and Applications. Symmetry 2020, 12. [Google Scholar] [CrossRef]
- Abd El-aziz, A.M.; El-Maghraby, A.; Taha, N.A. Comparison between polyvinyl alcohol (PVA) nanofiber and polyvinyl alcohol (PVA) nanofiber/hydroxyapatite (HA) for removal of Zn2+ ions from wastewater. Arabian Journal of Chemistry 2017, 10, 1052–1060. [Google Scholar] [CrossRef]
- Rezaei, I.; Sadeghi, A. Investigating the Mechanical Properties of Polyvinyl Alcohol Nanofibers Based on Aligned and Random Orientations. Arabian Journal for Science and Engineering 2021, 46, 12479–12486. [Google Scholar] [CrossRef]
- Wang, M.; Bai, J.; Shao, K.; Tang, W.; Zhao, X.; Lin, D.; Huang, S.; Chen, C.; Ding, Z.; Ye, J. Poly(vinyl alcohol) Hydrogels: The Old and New Functional Materials. International Journal of Polymer Science 2021, 2021, 2225426. [Google Scholar] [CrossRef]
- Wang, H.; Lu, Z.; Ma, S.; Li, Z.; Xin, Z.; Zhang, Z.; Zhou, B.; Shen, J.; Qin, L.; Du, A. Ultrablack Poly(vinyl alcohol)-Graphite Composite Xerogel with Vertically Arranged Pores for Highly Efficient Solar Steam Generation and Desalination. Advanced Energy and Sustainability Research 2022, 3, 2100188. [Google Scholar] [CrossRef]
- Byrne, D.; Boeije, G.; Croft, I.; Hüttmann, G.; Luijkx, G.; Meier, F.; Parulekar, Y.; Stijntjes, G. Biodegradability of Polyvinyl Alcohol Based Film Used for Liquid Detergent Capsules. Biologische Abbaubarkeit der für Flüssigwaschmittelkapseln verwendeten Folie auf Polyvinylalkoholbasis. 2021, 58, 88–96. [Google Scholar] [CrossRef]
- Jain, N.; Singh, V.K.; Chauhan, S. A review on mechanical and water absorption properties of polyvinyl alcohol based composites/films. 2017, 26, 213–222. [Google Scholar] [CrossRef]
- Shen, Z.; Rajabi-Abhari, A.; Oh, K.; Yang, G.; Youn, H.J.; Lee, H.L. Improving the Barrier Properties of Packaging Paper by Polyvinyl Alcohol Based Polymer Coating-Effect of the Base Paper and Nanoclay. Polymers (Basel) 2021, 13. [Google Scholar] [CrossRef] [PubMed]
- Channa, I.A.; Ashfaq, J.; Gilani, S.J.; Chandio, A.D.; Yousuf, S.; Makhdoom, M.A.; Jumah, M.N. Sustainable and Eco-Friendly Packaging Films Based on Poly (Vinyl Alcohol) and Glass Flakes. Membranes 2022, 12. [Google Scholar] [CrossRef]
- Oyeoka, H.C.; Ewulonu, C.M.; Nwuzor, I.C.; Obele, C.M.; Nwabanne, J.T. Packaging and degradability properties of polyvinyl alcohol/gelatin nanocomposite films filled water hyacinth cellulose nanocrystals. Journal of Bioresources and Bioproducts 2021, 6, 168–185. [Google Scholar] [CrossRef]
- Suganthi, S.; Vignesh, S.; Kalyana Sundar, J.; Raj, V. Fabrication of PVA polymer films with improved antibacterial activity by fine-tuning via organic acids for food packaging applications. Applied Water Science 2020, 10, 100. [Google Scholar] [CrossRef]
- Mustafa, P.; Niazi, M.B.K.; Jahan, Z.; Rafiq, S.; Ahmad, T.; Sikander, U.; Javaid, F. Improving functional properties of PVA/starch-based films as active and intelligent food packaging by incorporating propolis and anthocyanin. Polym. Polym. Compos. 2020, 29, 1472–1484. [Google Scholar] [CrossRef]
- Li, Y.; Chen, Y.; Wu, Q.; Huang, J.; Zhao, Y.; Li, Q.; Wang, S. Improved Hydrophobic, UV Barrier and Antibacterial Properties of Multifunctional PVA Nanocomposite Films Reinforced with Modified Lignin Contained Cellulose Nanofibers. Polymers (Basel) 2022, 14. [Google Scholar] [CrossRef]
- Liu, Y.; Deng, Y.; Chen, P.; Duan, M.; Lin, X.; Zhang, Y. Biodegradation analysis of polyvinyl alcohol during the compost burial course. J. Basic Microbiol. 2019, 59, 368–374. [Google Scholar] [CrossRef]












| Sample | PVA (g) |
Oxalic Acid (g) |
PFR-4 (g) |
Ze-Ag (g) |
|---|---|---|---|---|
| PVA/OA-0 | 1.70 | 0.30 | - | - |
| PVA/OA-1 | 1.53 | 0.27 | 0.20 | - |
| PVA/OA-2 | 1.36 | 0.24 | 0.40 | - |
| PVA/OA-3 | 1.42 | 0.25 | 0.20 | 0.13 |
| PVA/OA-4 | 1.31 | 0.23 | 0.20 | 0.26 |
| Sample | Contact angles (o) | ||||
|---|---|---|---|---|---|
| PVA/OA-0 | PVA/OA-1 | PVA/OA-2 | PVA/OA-3 | PVA/OA-4 | |
| Water | 131.49±0.28 | 99.41±1.02 | 114.63±1.95 | 113.04±0.92 | 124.66±0.87 |
| EG | 94.38±0.96 | 73.69±1.12 | 62.66±0.47 | 70.57±0.56 | 63.85±0.49 |
| Sample | W | γSVp | γSVd | γSV | γSL |
|---|---|---|---|---|---|
| PVA/OA-0 | 24.6/44.3 | 4.25 | 33.5 | 37.7 | 27.04 |
| PVA/OA-1 | 60.9/61.5 | 1.27 | 22.9 | 24.3 | 36.2 |
| PVA/OA-2 | 42.5/70.1 | 7.38 | 75.75 | 83.1 | 35.8 |
| PVA/OA-3 | 44.3/63.9 | 2.75 | 53.03 | 55.8 | 36.9 |
| PVA/OA-4 | 31.4/69.1 | 18.04 | 97.2 | 115.2 | 35.3 |
| Samples | T5%a (oC) |
T30% b (oC) |
THRI c (oC) |
Tmaxd (oC) |
Residue at 750 oC |
|---|---|---|---|---|---|
| PFR-4 | 244 | 401 | 165.72 | 294; 415 | 42 |
| PVA/OA-0 | 119 | 323 | 118.29 | 371; 446 | 6 |
| PVA/OA-1 | 131 | 308 | 116.23 | 324; 448 | 15 |
| PVA/OA-2 | 140 | 290 | 112.7 | 305; 435 | 18 |
| PVA/OA-3 | 127 | 307 | 115.15 | 220; 319; 436 | 22 |
| PVA/OA-4 | 103 | 299 | 108.09 | 319; 436 | 24 |
| Samples | Weight (mg) | Char Yield (mg) | Char Yield (wt%) | Decomposition rate (%) | HRC (J/(g*K)) | THR (kJ/g) | PHRR (W/g) | TPHRR (°C) | Time (s) |
|---|---|---|---|---|---|---|---|---|---|
| PFR-4 | 10.61 | 4.30 | 61.87 | 38.13 | 280.18 | 15.18 | 224.37 | 425.75 | 238.50 |
| PVA/OA-0 | 20.01 | 0.49 | 2.45 | 97.55 | 305.41 | 20.77 | 210.80 | 389.17 | 189.50 |
| PVA/OA-1 | 20.02 | 2.03 | 10.14 | 89.86 | 239.84 | 18.66 | 127.14 | 339.42 | 196.00 |
| PVA/OA-2 | 20.01 | 2.97 | 14.84 | 85.16 | 228.33 | 16.66 | 114.69 | 471.47 | 329.00 |
| PVA/OA-3 | 19.96 | 3.39 | 16.98 | 83.02 | 165.66 | 16.02 | 95.70 | 428.64 | 291.50 |
| PVA/OA-4 | 19.95 | 4.43 | 22.21 | 77.79 | 164.57 | 14.63 | 98.91 | 442.76 | 297.50 |
| Sample | Young’s Modulus, MPa | Maximum Tensile Stress (MPa) | Elongation at Break (mm/mm) |
|---|---|---|---|
| PVA/OA-0 | 70.10±2.36 | 27.46±0.89 | 1.36±0.15 |
| PVA/OA-1 | 286.28±25 | 45.34±1.34 | 1.61±0.23 |
| PVA/OA-2 | 324.73±10 | 33.71±0.5 | 0.87±0.01 |
| PVA/OA-3 | 368.53±15 | 54.08±4.6 | 1.33±0.31 |
| PVA/OA-4 | 565.64±65 | 52.06±2.5 | 0.47±0.02 |
| Samples Ø 10 mm |
Inhibition zone (mm) | ||
|---|---|---|---|
| Staphylococcus aureus ATCC 25923 | Methicillin-resistant Staphylococcus aureus (MRSA) ATCC 33591 |
Escherichia coli ATCC 25922 |
|
| Mean ±SD | Mean ±SD | Mean ±SD | |
| PVA/OA-0 | 0 | 0 | 0 |
| PVA/OA-1 | 0 | 0 | 0 |
| PVA/OA-2 | 0 | 0 | 0 |
| PVA/OA-3 | 4,66 ±0.333 | 1 | 0 |
| PVA/OA-4 | 5,66 ±0.333 | 2,66 ±0.333 | 1,33 ±0.333 |
Disclaimer/Publisher’s Note: The statements, opinions and data contained in all publications are solely those of the individual author(s) and contributor(s) and not of MDPI and/or the editor(s). MDPI and/or the editor(s) disclaim responsibility for any injury to people or property resulting from any ideas, methods, instructions or products referred to in the content. |
© 2023 by the authors. Licensee MDPI, Basel, Switzerland. This article is an open access article distributed under the terms and conditions of the Creative Commons Attribution (CC BY) license (http://creativecommons.org/licenses/by/4.0/).