Preprint
Article

This version is not peer-reviewed.

Annual Sexual Behavior in Boer Bucks located in the Guerrero Tropics in Mexico

A peer-reviewed article of this preprint also exists.

Submitted:

04 May 2023

Posted:

05 May 2023

You are already at the latest version

Abstract
The aim of this study was to evaluate the intensity of the annual sexual behavior (SB) of Boer bucks under tropical conditions in southern Mexico. For one year, 16 extensively grazing males were evaluated for SB individually with estrogenized goats. From the beginning of the experiment and every 30 days, body weight (BW), body condition (BC), testicular circumference (TC), odor intensity (OI) and SB (nudging, ano-genital sniffing, flehmen, mounting attempts, mounts with intromission, and self-urination) were recorded. The bucks showed a more intense SB during the months of November to May than during the months of June to October (p < 0.05). Greater frequency was found for nudging, ano-genital sniffing, mounting attempts, and self-urination in the months of November to May (p < 0.001). BW was lower during the months of January to August than in the months of September to December (p < 0.05). On the other hand, TC increased from October to December (p < 0.05). Similarly, the OI in males varied over time (time effect; p < 0.001). In fact, an increased odor was found from October to December. The conclusions were that breed male goats from the tropics of Guerrero have a more intense SB during the months of November to May, which corresponds to the time of the year when forage availability is the greatest.
Keywords: 
;  ;  ;  ;  ;  

1. Introduction

The bucks originating or adapted from temperate and subtropical regions show reproductive seasonality that decreases sexual behavior (SB) [1,2]. In the Mexican subtropics of northern Mexico, bucks have sexual rest during the months of January to May (winter-spring), while the period of reproductive activity occurs from May to
December (spring-autumn) [3]. During the period of reproductive seasonality, there is a decrease in sexual behavior (SB), testicular circumference (TC), odor intensity (OI), vocalizations, testosterone secretion, and sperm quality [4,5]; these variables increase during the reproductive season, together with a more intense SB [5].
On the other hand, some goat breeds from subtropical and tropical regions show variations in their SB [6]. Indeed, male goats from tropical regions show sexual activity throughout the year. However, some factors such as forage availability, environmental temperatures, and socio-sexual relations, among other factors, modify this behavior [6,7,8].
In bucks, testosterone secretion is important to heighten their high sexual libido and good sperm quality [9,10]. Testosterone stimulates the preoptic area and medial region of the hypothalamic amygdala, which is important for endocrine activity and essential for the deployment of SB in male goats [11]. A determining factor to evaluate SB in males is exposure to a female in estrus, a moment in which some factors such as pheromones and sexual attractiveness intervene [12,13,14].
It has been proven that females who show signs of estrus, improve their response when exposed to the male effect [15]. However, the behavior of females with signs of estrus can induce both appetite and consumption behaviors in male sheep and goats [14,16]. In fact, proprioceptive behavior can initiate and maintain sexual interactions between two females, thus increasing sexual motivation in males to mate with them [16,17,18,19].
Therefore, the aim of the present study was to assess the intensity of SB in Boer males throughout the year under tropical conditions southern Mexico.

2. Materials and Methods

2.1. General

The study was carried out in a period from January 1 to December 31, 2019, in the municipality of Cuajinicuilapa, Guerrero, Mexico. The region belongs to the Costa Chica region of this state and it is located in the Mexican tropical region between parallels 16° 18' 58'' and 16° 35' 46'' north latitude; meridians 98° 21' 04'' and 98° 43' 44'' west longitude. The climate is warm and dry with annual average temperatures of 34°C, and rains occur during the summer months showing precipitations of 1,300 mm [20]. All the experimental procedures in the experimental units that were used in the present study strictly adhered to the standards for the ethical use, care and well-being of research animals [21].

2.2. Animals and Treatments

Sexual behavior (SB) was evaluated in 16 adult Boer bucks with an average age of 3.5 years, a body weight (BW) of 96.38 ± 3.43 kg, and a body condition (BC) of 3.5 ± 0.45 points (on scale from 1 to 4 points).

2.3. Management and Measuring of Males

Goat production in the region is for subsistence purposes. Extensive grazing takes place in the morning (08:00 h) and in the afternoon (19:00 h) they are locked in open goat sheds that have drinking fountains. The animals do not receive neither any supplemental nutrition nor zootechnical management; except for internal deworming once a year (Ivermectin; Baymec®, 200 µg kg-1 PV; Bayer-Animal Health).
Before starting with the experiment, all males from both groups were measured for body weight (BW), body condition (BC), testicular circumference (TC), neck odor and the SB. Then, on January 1, 2019 these same measurements were taken from all males. Since the beginning of the experiment and every 30 days, BW, BC, TC, odor intensity (OI) and SB from 10-15 cm at the base of the horns were recorded. These measurements were always made by previously trained people and with the same evaluation criteria. Animals were weighed with an electronic hanging scale (Rhino-Model: BAC-300) with a capacity of 300 kg and an accuracy of 100 g. BC was evaluated by palpation of the spinous and lateral processes of the lumbar vertebrae, to detect fat and musculature in this region of the spinal column. A score of 1 (thin) to 4 (fat) was assigned with increments between units of 0.5. OI was evaluated by smelling the dorsal part of the neck, 10-15 cm posterior to the base of the horns. The 0-to-3-point scale described by Walkden-Brown et al. [22] was used, with the following values: 0 (neutral or equal odor to females), 1 (light sexual odor), 2 (moderate sexual odor) and 3 (intense sexual odor). Finally, TC was measured using a centimeter graded tape measure.

2.4. Observation of Sexual Behavior

Male goats were evaluated for SB for one year. These activities were performed every 30 days for thirty minutes per male (0:700 to 11:00 h). Males were exposed to females with signs of estrus. SB was evaluated in males with 2 females using one female for every 4 males and from a different herd. SB evaluations were carried out by one person per male and recorded the following variables: nudging, ano-genital sniffing, flehmen, mounting attempts, mounts with intromission, and self-urination [23] (Table 1). For estrogenization of the female goats that were used to evaluate the male SB, a short synchronization protocol described by García y González et al. [24] was used.

2.5. Food and Accommodation

Male goats were only fed the usual grass and plants that they consumed during the grazing period, along with products derived from agricultural activities and seasonal fruits: corn, sorghum, mango, orange, and watermelon, among others. The animals did not receive any nutritional supplementation and were housed in open pens, enclosed using cyclonic mesh, wooden posts, and galvanized sheet roofs (width 6 m, length 14 m, and ceiling height 3.5 m). The pens had drinking fountains supplied with clean and fresh water that was commonly washed every 3 days. Additionally, more than 100 m away from the management pens, there was a wooden pen to expose females in estrus to males. This is where SB was evaluated.

2.6. Statistical Analysis

Data was analyzed under a completely randomized design with a 95% confidence interval. The total number of nudging and ano-genital sniffing was compared with a one-way of variance analysis (ANOVA) with repeated measurements over time (time of year) followed by post-hoc Bonferroni tests to compare two by two. Sexual behavior, mounting attempts, flehmen, and self-urination was compared with the Friedman test for non-parametric statistics. Subsequently, the Wilcoxon test was used to compare two by two. The data obtained from the BW and TC readings was analyzed with an ANOVA considering two factors (group x time). BC, as well as OI, was compared using a non-parametric Mann-Whitney U test. All statistical analysis was conducted using the statistical program for Windows SYSTAT 13 [25].

3. Results

3.1. Sexual Behavior

The SB displayed by the bucks was more intense during the period from November to May (p < 0.001), compared to the months of June to October (p > 0.180). This shows a significant difference between seasons (summer-fall vs spring-winter) for nudging, ano-genital sniffing, mounting attempts, and self-urination (p < 0.001). The frequency of mounts without intromission, mounts with intromission, flehmen, and vocalizations was similar in all seasons of the year (p > 0.05) (Figure 1).

3.2. Body Weight and Condition

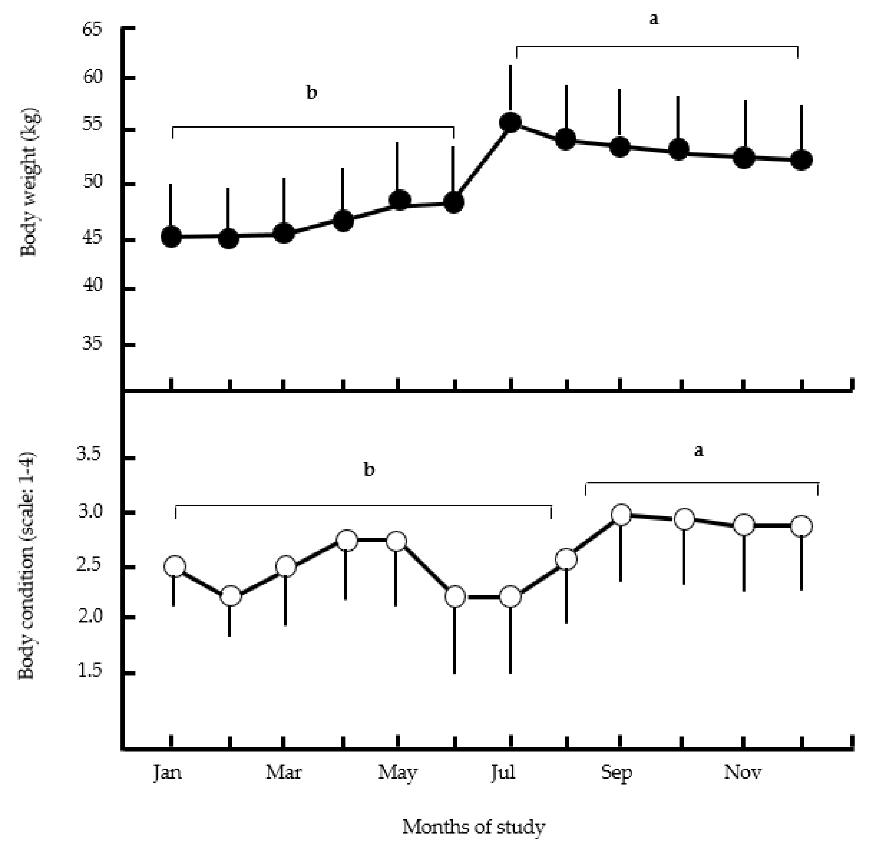
The BW of males was different between seasons (summer-fall vs spring-winter) throughout the assessed time (p < 0.001). On the other hand, body weight (BW) was lower during the months of January to August than in the months of September to December (p < 0.05). BC was similar among the group of males throughout the year (p > 0.05). However, there was no effect recorded of the group or of the time-by-group interaction (p > 0.05) (Figure 2).

3.3. Testicular Circumference and Odor Intensity

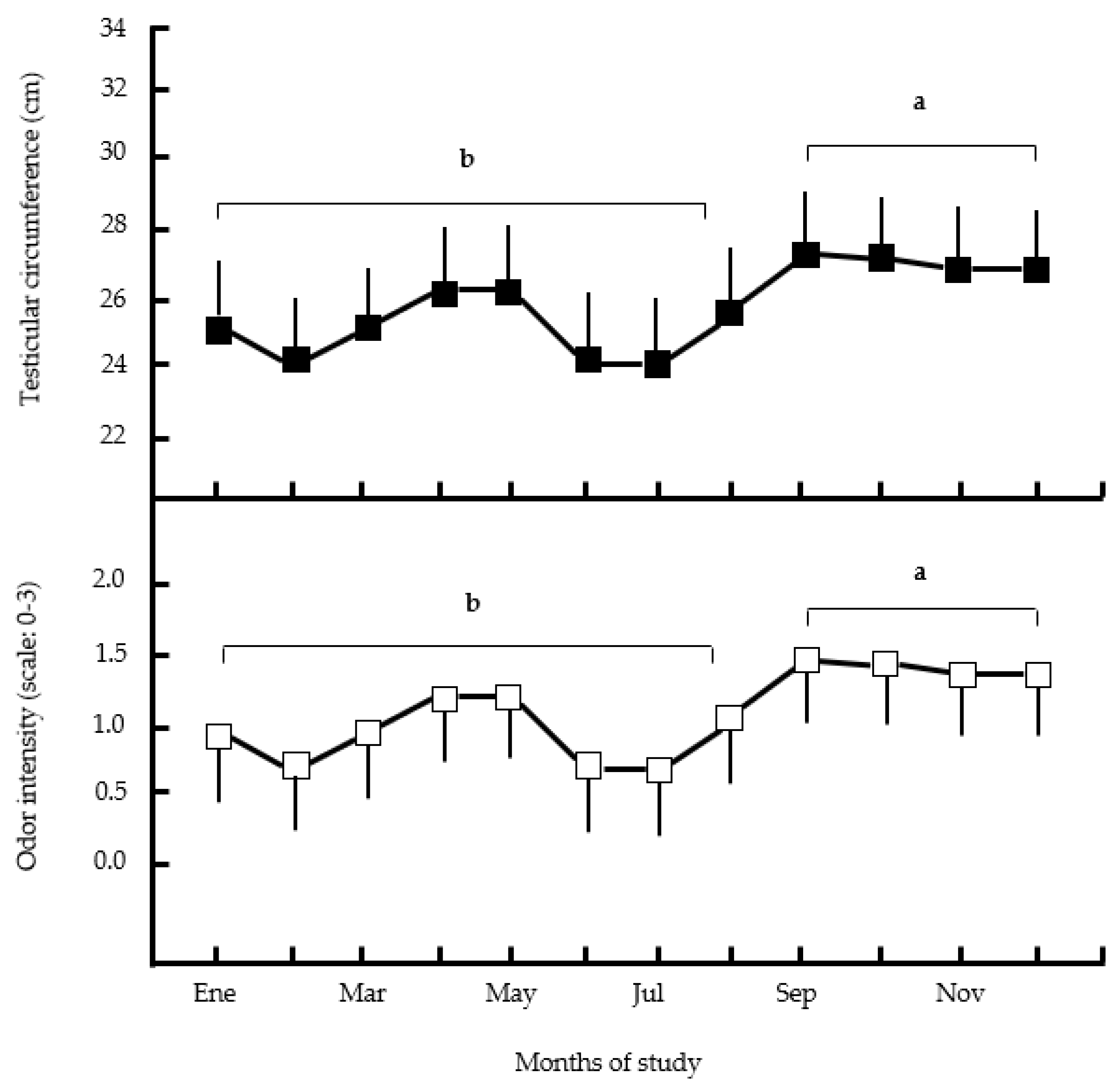
The TC of the males varied throughout the study, with a significant difference due to the seasonal effect (p < 0.001). In fact, a time x group interaction was found (p < 0.001). In males, TC increased from October to December (p < 0.05). Similarly, OI of the males varied over time (time effect; p < 0.001). In fact, an increased odor was found from October to December (Figure 3).

4. Discussion

4.1. Sexual Behavior

Previous studies indicate that male sheep and goats from temperate and subtropical regions express a marked period of sexual rest modulated by the photoperiod, where SB decreases: nudging, ano-genital sniffing, mounting attempts, self-urination, mounting with and without intromission, flehmen and vocalizations [3,9]. This phenomenon is observed in goats of the Mexican subtropics that show sexual rest during the months of January to May (photoperiod effect) [4]. In contrast, in the Australian subtropics, sexual rest is attributed to other modulators such as nutrition, temperatures, and environmental humidity [26,27].
In the present study, the intense SB shown by the male goats from the tropic of Guerrero during the months of November to May is likely due to nutrition, since during those months the males recovered after the rainy season when the forage availability is higher. In this regard, some authors point out that the nutritional level influences testicular mass, testosterone production, and body weight; as a consequence of SB deployment [22,27].
Consistent with these results, González-Reyna et al. [28] in the Mexican tropics, male Pelibuey sheep found a decrease in SB during the months of January to May. Contrary to this, some literature mentions that male sheep and goats from tropical regions display a SB throughout the entire year [8,29]. This phenomenon is explained in male sheep and goats from tropical regions of the world where the decrease in SB is not due to the photoperiod, but rather modulated by other factors; such as nutrition, high environmental temperatures, relative humidity, rainfall, among others [8,14,29,30].
This is understandable since reproductive seasonality is a natural selection strategy for the survival of the offspring, justified in temperate regions by inclement weather. However, in subtropical and particularly tropical conditions the conditions are different, observing this effect when some environmental factors change and directly affect the reproduction of the species. Little availability of forage during the dry season, high temperatures and environmental humidity, socio-sexual relations, among others are factors that modulate reproduction.

4.2. Body Weight and Condition

Some research work carried out in temperate and subtropical regions in goats shows that BW increases in them when they experience intense SB [3,31]. The present study was conducted with Boer bucks in tropical conditions, and it was found that the animals experienced an increase in weight and BC during the months of the year when the availability of forage increased. This has been proven in some studies carried out in sheep and goats under similar study conditions [6,8,32].
The aforementioned is a logical result, since the increase in weight and BC of these males is due to the fact that they will start with the reproductive season and these animals need body reserves that will be used during the mating season.

4.3. Testicular Circumference and Odor Intensity

In the present study, a decrease in TC and OI was found in the months of October to December indicative of low forage availability and low SB. Some studies carried out in male goats from temperate and subtropical regions show that during the period of sexual rest, SB, TC, OI, vocalizations, testosterone secretion, and sperm quality decrease [3,5]. However, in the tropics, goats decrease these variables but without considering a period of sexual rest. But rather, their intensity and quality simply decrease [22,28,33].
In the present study, TC and OI, that are directly related to sperm quality and testosterone secretion were evaluated; the hormone responsible for males having high sexual libido and intense SB. In effect, male goats from the Mexican subtropics that were photo-stimulated during the period of sexual rest increased their TC, OI, vocalizations, sperm quality, and testosterone secretion [3,4,34,35]. In this regard, Rivas-Muñoz et al. [34] reported that the photo-stimulated goats increase the scrotal circumference and the OI; this same behavior occurs in male goats treated with exogenous testosterone during sexual rest [37]. The increase in TC is due to an increase in the secretion of prolactin, which during this period is secreted in greater quantity, also OI is indicative of the secretion of testosterone and consequently the deployment of an intense SB.

5. Conclusions

The present study describes for the first time the seasonal variations of the SB in bucks of the Boer breed in the tropical conditions of Guerrero. Males have a higher SB, TC, and OI during the months of November to May which corresponds to the summer and autumn seasons. On the other hand, BW and BC presented higher values during the months of November to May. These findings show that the time of year influenced this to happen since the SB, TC, OI, BW and BC were higher during the months in which there is greater availability of forage as a consequence of the rainy season. However, it does not mean that this can occur in all herds as mentioned by Chemineau and Xandé [7] based on the SB displayed by Creole goats from the tropics of Guadalupe Island.

Author Contributions

Conceptualization, J.L.P.C. and E.V.F..; methodology, E.C.G.y.G.; B.C.P.B. and M.R.O; software, A.M.G.A.; validation, P.E.H.R., F.T.A. and O.A.G.; formal analysis, M.R.O., A.M.G.A.; investigation, J.L.P.C., E.C.G.y.G. and M.R.O.; resources, J.M.R.R.; data curation, J.d.C.R.C. and E.V.F.; writing—original draft preparation, J.L.P.C., E.C.G.y.G. and E.V.F.; writing—review and editing, J.L.P.C., O.A.G. and P.E.H.R.; visualization, F.T.A.; supervision, B.C.P.B. and M.P.A.; project administration, J.L.P.C. and E.C.G.y.G.; funding acquisition, J.L.P.C. and E.V.F. All authors have read and agreed to the published version of the manuscript.

Funding

This research was financed by the research group "Animal Production Systems", UAGro.

Institutional Review Board Statement

The experimental protocol was approved by the Use and Care of the Animals in Experimentation Committee of the Universidad Autonoma de Guerrero (protocol #108).

Acknowledgments

Thanks to all the goat farmers in the municipality of Cuajinicuilapa, especially to the “Petaca and the Miguel Aleman Valdes neighborhood”. Likewise, to all the research group "Animal Production Systems" members of the ESMVZ-3, UAGro. Finally, to the collaboration with the research group between the universities UAGro, BUAP, UAAAN-UL and UAEH.

Conflicts of Interest

The authors declare that there are no conflicts of interest that could be perceived as prejudicing the impartiality of the research reported in this manuscript.

References

  1. Karsch, F.J.; Robinson, J.E.; Woodfill, J.I.; Brown, M.B. Circannual cycles of luteinizing hormone and prolactin secretion in ewes during prolonged exposure to a fixed photoperiod: evidence for an endogenous reproductive rhythm. Biol. Reprod. 1989, 41, 1034–1046. [Google Scholar] [CrossRef]
  2. Vidal, B.A.; Médigue, C.; Malpaux, B.; Clément, F. Endogenous circannual rhythm in luteinizing hormone secretion: insight from signal analysis coupled with mathematical modelling. Philos. Trans. Royal Soc. A. 2009, 367, 4759–4777. [Google Scholar] [CrossRef]
  3. Delgadillo, J.A.; Canedo, G.A.; Chemineau, P.; Guillaume, D.; Malpaux, B. Evidence for an annual reproductive rhythm independent of food availability in male creole goats in subtropical northern Mexico. Theriogenology. 1999, 52, 727–737. [Google Scholar] [CrossRef]
  4. Delgadillo, J.A.; Carrillo, E.; Morán, J.M.; Duarte, G.; Chemineau, P.; Malpaux, B. Induction of sexual activity of male creole goats in subtropical northern Mexico using long days and melatonin. J. Anim. Sci. 2001, 79, 2245–2252. [Google Scholar] [CrossRef]
  5. Zarazaga, L.A.; Gatica, M.C.; Celi, I.; Guzmán, J.L.; Malpaux, B. Artificial long days and daily contact with bucks induce ovarian but not oestrous activity during the non-breeding season in Mediterranean goat females. Anim. Reprod. Sci. 2011, 125, 81–87. [Google Scholar] [CrossRef]
  6. Hart, B.L.; Jones, T.O.A.C. Effects of castration on sexual behavior of tropical male goats. Horm. Behav. 1975, 6, 247–258. [Google Scholar] [CrossRef]
  7. Chemineau, P.; Xandé, A. Reproductive efficiency of creole meat goats permanetly kept with males relationship to a tropical environment. Trop. Anim. Prod. 1982, 7, 98–104. Available online: https://agris.fao.org/agris-search/search.do?recordID=US201302550380.
  8. Aké-Villanueva, J.R.; Aké-López, J.R.; Magaña-Monforte, J.G.; Segura-Correa, J.C. Reproductive behavior in hair sheep rams under tropical conditions. Trop. Anim. Health Prod. 2019, 51, 1627–1635. [Google Scholar] [CrossRef]
  9. Ponce, J.L.; Velázquez, H.; Duarte, G.; Bedos, M.; Hernández, H.; Keller, M.; Chemineau, P.; Delgadillo, J.A. Reducing exposure to long days from 75 to 30 days of extra-light treatment does not decrease the capacity of male goats to stimulate ovulatory activity in seasonally anovulatory females. Domest. Anim. Endocrinol. 2014, 48, 119–125. [Google Scholar] [CrossRef]
  10. Zarazaga, L.A.; Gatica, M.C.; Delgado-Pertínez, M.; Hernández, H.; Guzmán, J.L.; Delgadillo, J.A. Photoperiod-treatment in Mediterranean bucks can improve the reproductive performance of the male effect depending on the extent of their seasonality. Animals. 2021, 11, 400. [Google Scholar] [CrossRef]
  11. Gorski, R.A.; Gordon, J.A.; Shryne, J.E.; Moutham, M. Evidence for a morphological sex difference within the medial preoptic area or the rat brain. Brain Res. 1978, 148, 333–346. [Google Scholar] [CrossRef]
  12. Iwata, E.; Wakabayashi, Y.; Kakuma, Y.; Kikusui, T.; Yakeuchi, Y.; Mori, Y. Testosterone-dependent primer pheromone production in the sebaceous gland of male goat. Biol. Reprod. 2000, 62, 806–810. [Google Scholar] [CrossRef]
  13. Giriboni, J.; Lacuesta, L.; Rungerfeld, U. Continuous contact with females in estrus throughout the year enhances testicular activity and improves seminal traits of male goats. Theriogenology. 2017, 8, 284–289. [Google Scholar] [CrossRef]
  14. Ponce-Covarrubias, J.L.; García y González, E.C.; Ramírez-Bribiesca, J.E.; Pineda-Burgos, B.C. Reproductive response of synchronized and extensively grazed Blackbelly ewes during the summer in the tropics. J. Anim. Behav. Biometeorol. 2023, 11, e2023001. [Google Scholar] [CrossRef]
  15. Rodriguez-Martinez, R.; Ángel-García, O.; Guillén-Muñoz, J.M.; Robles-Trillo, P.A.; De Santiago-Miramontes, M.A.; Meza-Herrera, C.A.; Mellado, M.; Véliz, F.G. Estrus induction in anestrous mixed-breed goats using the “female-to-female effect”. Trop. Anim. Health Prod. 2013, 45, 911–915. [Google Scholar] [CrossRef]
  16. Carrillo, E.; Meza-Herrera, C.A.; Olán-Sánchez, A.; Robles-Trillo, P.A.; Leyva, C.; Luna-Orozco, J.R.; Rodríguez-Martinez, R.; Véliz, F.G. The “female effect” positively affects the appetitive and consummatory sexual behavior and testosterone concentrations of alpine male goats under subtropical conditions. Czech J. Anim. Sci. 2014, 59, 337–343. [Google Scholar] [CrossRef]
  17. Ponce, J.L.; Hernández, H.; Flores, J.A.; Keller, M.; Chemineau, P.; Delgadillo, J.A. One day of contact with photostimulated bucks is sufficient to induce ovulation in seasonally anestrous goats. Theriogenology. 2015, 84, 880–886. [Google Scholar] [CrossRef]
  18. Guillen-Muñoz, J.M.; Meza-Herrera, C.A.; Santos-Jimenez, Z.; Rivas-Muñoz, R.; Luna-Orozco, R.; Mellado, M.; Véliz-Deras, F.G. Exposure of sexually inactive males to estrogenized females increased the investigative and consummatory sexual behavior. Anim. Reprod. Sci. 2016, 173, 97–103. [Google Scholar] [CrossRef]
  19. Delgadillo, J.A.; Espinoza-Flores, L.A.; Abecia, J.A.; Hernández, H.; Keller, M.; Chemineau, P. Sexually active male goats stimulate the endocrine and sexual activities of other males in seasonal sexual rest through the "buck-to-buck effect". Domest. Anim. Endocrinol. 2022, 81, 106746. [Google Scholar] [CrossRef]
  20. INEGI. Anuario estadístico y geográfico de Guerrero. http://www.diputados.gob.mx/sedia/biblio/usieg/mapas2016/gro_mapas.pdf. 2016. fecha de consulta 2 de diciembre de 2022.
  21. FASS. Guide for the care and use of agricultural animals in agricultural research and teaching; 3rd ed.; Federation Animal Science Society: Champaing, IL, USA, 2010; pp. 177.
  22. Walkden-Brown, S.W.; Restall, B.J.; Norton, B.W.; Scaramuzzi, R.J.; Martin, G.B. Effect of nutrition on seasonal patterns of LH, FSH and testosterone concentration, testicular mass, sebaceous gland volume and odour in Australian Cashmere goats. J. Reprod. Fertil. 1994, 102, 351–360. [Google Scholar] [CrossRef]
  23. Bedos, M.; Muñoz, A.L.; Orihuela, A.; Delgadillo, J.A. The sexual behavior of male goats exposed to long days is as intense as during their breeding season. Appl. Anim. Behav. Sci. 2016, 184, 35–40. [Google Scholar] [CrossRef]
  24. García y González, E.C.; Macías-Cruz, U.; Avendaño-Reyes, L.; Velázquez-Morales, J.V.; Vicente-Pérez, R.; Zúñiga, S.; Ponce, J.L. Parity of the Dorper sheep does not influence the reproductive and productive response when they are synchronized with an “ultra-short” protocol. Open Access J. Sci. 2018, 2, 193–196. [Google Scholar] [CrossRef]
  25. SYSTAT.
  26. Pérez-Clariget, R.; Forsberg, M.; Rodríguez-Martínez, H. Seasonal variation in live weight, testes size, testosterone, LH secretion, melatonin and thyroxine in merino and corriedale rams in a subtropical climate. Acta Vet. Scand. 1998, 39, 35–47. [Google Scholar] [CrossRef] [PubMed]
  27. Delgadillo, J.A.; Sifuentes, P.I.; Flores, M.J.; Espinoza-Flores, L.A.; Andrade-Esparza, J.A.; Hernández, H.; Keller, M.; Chemineau, P. Nutritional supplementation improves the sexual response of bucks exposed to long days in semi-extensive management and their ability to stimulate reproduction in goats. Animal. 2021, 15, 100–114. [Google Scholar] [CrossRef]
  28. González-Reyna, A.; Murphy, B.D.; Foot, W.C. Circannual estrous variations and ovulation rate in Pelibuey ewes. Small Rumin. Res. 1992, 8, 225–232. [Google Scholar] [CrossRef]
  29. Godfrey, R.W.; Collins, J.R.; Gray, M.L. Evaluation of sexual behavior of hair sheep rams in a tropical environment. J. Anim. Sci. 1998, 76, 714–717. [Google Scholar] [CrossRef] [PubMed]
  30. de-Combellas, J. Comportamiento reproductivo en ovinos tropicales. Rev. Cient. Fac. 1993, 3, 135–141. Available online: https://www.produccioncientificaluz.org/index.php/cientifica/article/view/14103/14083.
  31. Delgadillo, J.A.; Leboeuf, B.; Chemineau, P. Decrease in the seasonality of sexual behavior and sperm production in bucks by exposure to short photoperiodic cycles. Theriogenology. 1991, 36, 755–770. [Google Scholar] [CrossRef]
  32. Hernández-Ruiz, P.E.; García y González, E.C.; Pineda-Burgos, B.C.; Flores-López, E.; Valencia-Franco, E.; Carmona-Victoria, M.; Velázquez-Morales, J.V.; Ponce-Covarrubias, J.L. Reproductive evaluation of bucks (Capra hircus L.) with usual management in herds from Benito Juarez, Guerrero, Mexico. Agro Productividad. 2021, 14, 81–86. [Google Scholar] [CrossRef]
  33. Cárdenas-Gallegos, M.A.; Aké-López, J.R.; Centurión-Castro, F.G.; Magaña-Monforte, J.G. The breed and season effects on scrotal circumference and semen characteristics of hair sheep rams under tropical conditions. Reprod. Domest. Anim. 2012, 47, e92–e94. [Google Scholar] [CrossRef]
  34. Rivas-Muñoz, R.; Fitz-Rodríguez, G.; Poindron, P.; Malpaux, B. and Delgadillo, J.A. Stimulation of estrous behavior in grazing female goats by continuous or discontinuous exposure to males. J. Anim. Sci. 2007, 85, 1257–1263. [Google Scholar] [CrossRef] [PubMed]
  35. González, F.J.; Sifuentes, L.; Ulloa-Arvizu, R.; Palomo-Pereiró, M.J.; Fernández, I.G. Group or individual housing does not reduce socio-sexual and reproductive responses in anestrous goats during the first contact with the photo-stimulated buck. Domest. Anim. Endocrinol. 2023, 82, 106772. [Google Scholar] [CrossRef] [PubMed]
  36. Ángel-García, O.; Meza-Herrera, C.A.; Contreras-Villarreal, V.; Guillen-Muñoz, J.M.; Calderón-Leyva, M.G.; Robles-Trillo, P.A.; Rivas-Muñoz, R.; Rodríguez-Martinez, R.; Mellado, M.; Véliz, F.G. Effect of different male-to-female ratios and testosterone administration upon the male sexual behavior and the out-of-season reproductive response of anestrous goats. Small Rumin Res. 2015, 133, 21–29. [Google Scholar] [CrossRef]
Figure 1. Sexual behavior (SB) of male goats is displayed throughout the year. The unfilled geometric figures indicate the variables with the highest SB (November to May; spring - winter) (nudging , ano-genital sniffing 󠆴󠆴, flehmen ◊, mounting attempts ○, mounting with intromission Preprints 72725 i002 and self-urination Preprints 72725 i003). On the other hand, the figures with filling indicate the variables with the lower SB (June to October; summer - autumn) (nudging ▲, ano-genital sniffing ■, mounting attempts ● and self-urination ▄). Literals a, b in the geometric figures describe a significant difference (p < 0.001).
Figure 1. Sexual behavior (SB) of male goats is displayed throughout the year. The unfilled geometric figures indicate the variables with the highest SB (November to May; spring - winter) (nudging , ano-genital sniffing 󠆴󠆴, flehmen ◊, mounting attempts ○, mounting with intromission Preprints 72725 i002 and self-urination Preprints 72725 i003). On the other hand, the figures with filling indicate the variables with the lower SB (June to October; summer - autumn) (nudging ▲, ano-genital sniffing ■, mounting attempts ● and self-urination ▄). Literals a, b in the geometric figures describe a significant difference (p < 0.001).
Preprints 72725 g001
Figure 2. The top of the figure indicates body weight whereas body condition is illustrated in the bottom graph (scale: 1-4) (months from January to August), a,b for the circle indicates a significant difference (p < 0.001).
Figure 2. The top of the figure indicates body weight whereas body condition is illustrated in the bottom graph (scale: 1-4) (months from January to August), a,b for the circle indicates a significant difference (p < 0.001).
Preprints 72725 g002
Figure 3. The top of the figure indicates scrotal circumference (cm) and the bottom figure shows odor intensity (scale: 0-3) (months from October to December), a,b for the square indicates a significant difference (p < 0.001).
Figure 3. The top of the figure indicates scrotal circumference (cm) and the bottom figure shows odor intensity (scale: 0-3) (months from October to December), a,b for the square indicates a significant difference (p < 0.001).
Preprints 72725 g003
Table 1. Etogram of the Sexual Behavior of Bucks Exposed to Female Goats Artificially Induced to Estrus.
Table 1. Etogram of the Sexual Behavior of Bucks Exposed to Female Goats Artificially Induced to Estrus.
Preprints 72725 i001
The definitions were modified from those reported by Hart and Jones (1975) and Bedos et al. (2016).
Disclaimer/Publisher’s Note: The statements, opinions and data contained in all publications are solely those of the individual author(s) and contributor(s) and not of MDPI and/or the editor(s). MDPI and/or the editor(s) disclaim responsibility for any injury to people or property resulting from any ideas, methods, instructions or products referred to in the content.
Copyright: This open access article is published under a Creative Commons CC BY 4.0 license, which permit the free download, distribution, and reuse, provided that the author and preprint are cited in any reuse.
Prerpints.org logo

Preprints.org is a free preprint server supported by MDPI in Basel, Switzerland.

Subscribe

Disclaimer

Terms of Use

Privacy Policy

Privacy Settings

© 2026 MDPI (Basel, Switzerland) unless otherwise stated