Submitted:
02 May 2023
Posted:
03 May 2023
You are already at the latest version
Abstract
Keywords:
1. Introduction
2. Coarse Alignment of INS
2.1. Leveling
2.2. Gyrocompassing
3. Coarse Alignment of GF-INS
3.1. Roll and pitch
3.2. Heading
3.3. Accelerometer configuration and possiblity of initial heading calculation
3.4. Initial heading error
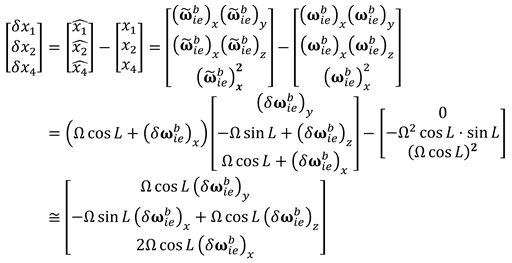
4. Coarse Alignment of GF-INS with Gyro
5. Concluding Remarks
Author Contributions
Funding
Conflicts of Interest
References
- Titterton D., H.; Weston, J. L. , Strapdown inertial navigation technology,, 2nd ed.; The Institution of Electrical Engineers: Piscataway, New Jersey, US, 2004; pp. 17–301. [Google Scholar]
- Groves P. D., Principles of GNSS, Inertial, and Multi sensor Integrated Navigation Systems, 2nd ed., Artech House: England, 2013; pp. 15-160.
- Pitman G. R., Inertial Guidance, John Wiley & Sons Inc: New York, Hoboken, US, 1962; pp. 47-206.
- Bar-Itzhack I. Y.; Berman N. Control Theoretic Approach to Inertial Navigation Systems. AIAA Journal of Guidance, Control, and Dynamics 1998, 11, 237–245. [Google Scholar]
- Britting K. R., Inertial Navigation Systems Analysis, John Wiley & Sons Inc: New York, Hoboken, US, 1971; pp. 153-209.
- Schuler A. R.; Grammatikos A.; Fegley K. A. Measuring Rotational Motion with Linear Accelerometers. IEEE Transactions on Aerospace and Electronic Systems 1967, AES-3, 465–472. [Google Scholar] [CrossRef]
- Nusbaum, U.; Klein, I. Control Theoretic Approach to Gyro-Free Inertial Navigation Systems. IEEE Aerospace and Electronic Systems Magazine 2017, 32, 168–170. [Google Scholar] [CrossRef]
- Pachter, M.; Welker, T.C.; Huffman, R.E. Gyro free INS theory. Journal of the Institute of Navigation 2013, 60, 85–96. [Google Scholar] [CrossRef]
- Vaknin, E.; Klein, I. Coarse leveling of gyro-free INS. Journal of Gyroscopy and Navigation 2016, 7, 145–151. [Google Scholar] [CrossRef]
- Padgaonkar A. J.; Krieger K, W.; A.I. King. Measurement of Angular Acceleration of a Rigid Body Using Linear Accelerometers. Journal of Applied Mechanics 1975, 42, 552–556. [Google Scholar] [CrossRef]
- Park, S.; Tan, C.W.; Park, S. A scheme for improving the performance of a gyroscope-free inertial measurement unit. Sensors and Actuators A: Physical 2005, 121, 410–420. [Google Scholar] [CrossRef]
- Fangjun Q.; Xu J.; Sai J., A New Scheme of Gyroscope Free Inertial Navigation System Using 9 Accelerometers, 2009 International Workshop on Intelligent Systems and Applications, Wuhan, China, 23-24 May 2009.
- Shi Z.; Cheng Z.; Yang J., Study of Independent Initial Alignment Based on Gyroscope Free Strapdown Inertial Navigation System, 2010 Chinese Control and Decision Conference, Xuzhou, China, 26-28 May 2010, 2198-2202.
- Edwan, E.; Knedlik, S.; Loffeld, O. Constrained Angular Motion Estimation in a Gyro-Free IMU. IEEE Transactions on Aerospace and Electronic systems 2011, 47, 596–610. [Google Scholar] [CrossRef]
- Wang, X.; Xiao, L. Gyroscope-reduced inertial navigation system for flight vehicle motion estimation. Advances in Space Research 2017, 59, 413–424. [Google Scholar] [CrossRef]
- Farrell J. A., Aided Navigation – GPS with High Rate Sensors, McGrawHill, New York, US, 2008; pp. 416-421.
- Noureldin A.; Karamat T. B.; Georgy J. Fundamentals of Inertial Navigation Satellite-based Positioning and their Integration, Springer, New York, US, 2013; pp. 163-166.
- Kayton, M.; Fried W. R. Avionics Navigation Systems, 2nd Ed., John Wiley & Sons Inc: New York, US, 1997, pp. 382-386.
- Honeywell, Q-FLEX QA-2000 ACCELEROMETER – The inertial navigation standard, Honeywell International, Inc. Defense and Space Electronic Systems Redmond: Redmond, US, 2020.
- Muquans, Absolute Quantum Gravimeter – A free-fall absolute gravimeter based on laser-cooled atoms, Muquans: Rue François Mitterrand, France, 2022.
- Honeywell, HG1700 INERTIAL MEASUREMENT UNIT – Proven technology for a wide range of guidance and control applications, Honeywell Aerospace: Minneapolis, US, 2022.
- Honeywell, GG1320AN Digital Laser Gyro – Affordable and advanced sensing technology combined with unmatched production capabilities to meet the needs of customers throughout the world, Honeywell Aerospace: North America, US, 2015.




| Accelerometer Configuration | Number of Accelerometer | |
|---|---|---|
| Figure 1a | 6 | 3 |
| Figure 1b | 6 | 3 |
| Figure 1c | 6 | 5 |
| Figure 1d | 6 | 2 |
| Figure 1e | 6 | 3 |
| Figure 1f | 6 | 3 |
| Figure 2 | 7 | 4 |
| Figure 3a | 9 | 3 |
| Figure 3b | 9 | 3 |
| Figure 3c | 9 | 3 |
| Figure 3d | 9 | 3 |
| Figure 3e | 9 | 6 |
| Figure 3f | 9 | 5 |
| Figure 4a | 12 | 6 |
| Figure 4b | 12 | 3 |
| Configuration | Figure 3e | Figure 4a | |
|---|---|---|---|
| Model number | Manufacturer | Accuracy (1σ Bias Error) | Type |
|---|---|---|---|
| QA2000 | Honeywell Inc., USA | G (G = 9.8 m/s2) | Quartz Pendulum |
| Absolute QuantumGravimeter | Muquans, France | G | Laser Cooled Atom |
| Configuration | Figure 3e | Figure 4a | |
|---|---|---|---|
| Model number | |||
| QA2000 | deg | deg | |
| Absolute Quantum Gravimeter | 95.51 deg | 74.67 deg | |
| Gyro Axis | |||
|---|---|---|---|
| Roll | |||
| Pitch | |||
| Yaw | |||
| Roll and Pitch | |||
| Roll and Yaw | |||
| Pitch and Yaw |
| Gyro Axis | ||||
| Roll | ||||
| Pitch | ||||
| Yaw | ||||
| Roll and Pitch | ||||
| Roll and Yaw | ||||
| Pitch and Yaw | ||||
| Gyro | Accuracy (1 σ Bias Error) | Type |
|---|---|---|
| RLG in HG1700AG58 (Honeywell Inc., USA) |
1 deg/h | Tactical Grade RLG |
| GG1320AN (Honeywell Inc., USA) |
0.003 deg/h | Navigation Grade RLG |
| .Gyro | RLG in HG1700AG58 | GG1320AN | |
|---|---|---|---|
| Accelerometer | |||
| QA3000 | 3.809 deg | 0.011 deg | |
| Absolute Quantum Gravimeter |
3.804 deg | 0.011 deg | |
Disclaimer/Publisher’s Note: The statements, opinions and data contained in all publications are solely those of the individual author(s) and contributor(s) and not of MDPI and/or the editor(s). MDPI and/or the editor(s) disclaim responsibility for any injury to people or property resulting from any ideas, methods, instructions or products referred to in the content. |
© 2023 by the authors. Licensee MDPI, Basel, Switzerland. This article is an open access article distributed under the terms and conditions of the Creative Commons Attribution (CC BY) license (http://creativecommons.org/licenses/by/4.0/).