Submitted:
29 April 2023
Posted:
29 April 2023
You are already at the latest version
Abstract
Keywords:
1. Introduction
2. Materials and Methods
2.1. Sawdust Moisture
2.2. Granulometry Analyses
2.3. SEM Microscopy
2.4. Composite Eucalyptol-Sawdust Preparation and Plywood Finish
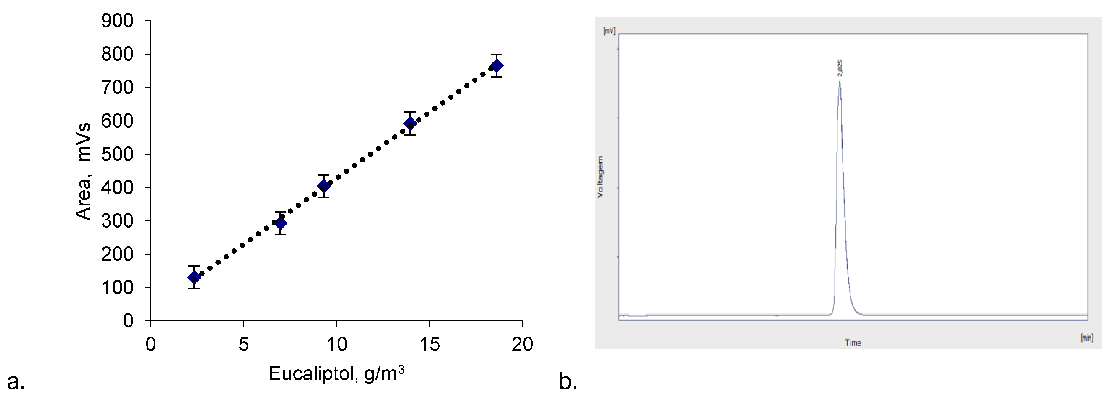
2.5. GC-FID Eucalyptol Release Evaluation and Method Elaboration
3. Results
3.1. Sawdust Moisture, Granulometry Analyses and SEM Microscopy
3.2. Sawdust Moisture, Granulometry Analyses and SEM Microscopy

3.3. Eucalyptol Release Kinetics
3.4. Plywood Floor/Absorption Matrix Industrial Process Carbon Footprint
- -
- transportation of wood/boards with a forklift;
- -
- cutting, gluing and drying wooden boards and derivatives;
- -
- molding of the plates/groove cutting.
- -
- separation of sawdust by sieving;
- -
- drying of the sawdust fraction;
- -
- preparation of the composite;
- -
- coupling with the plate and sealing with white glue.
4. Conclusions
Author Contributions
Funding
Conflicts of Interest
References
- Flavours and Fragrances: Chemistry, Bioprocessing and Sustainability, Berger, R.G., 2007, Hardback (14 Feb 2007).
- Fráter, G. , Bajgrowicz, J.A., & Kraft, P. (1998, ). Fragrance chemistry. Tetrahedron. 2 July. [CrossRef]
- Britannica, T. Editors of Encyclopaedia (2022, December 16). essential oil. Encyclopedia Britannica. https://www.britannica.com/topic/essential-oil. 16 December.
- Campos, J.F. , & Berteina-Raboin, S. (2022, ). Eucalyptol, an All-Purpose Product. Catalysts. MDPI. 1 January. [CrossRef]
- Juergens, L.J. , Racké, K., Tuleta, I., Stoeber, M., & Juergens, U.R. (2017). Anti-inflammatory effects of 1,8-cineole (eucalyptol) improve glucocorticoid effects in vitro: A novel approach of steroid-sparing add-on therapy for COPD and asthma? Synergy, 5, 1–8. [CrossRef]
- Juergens, U.R. , Dethlefsen, U., Steinkamp, G., Gillissen, A., Repges, R., & Vetter, H. (2003). Anti-inflammatory activity of 1.8-cineol (eucalyptol) in bronchial asthma: A double-blind placebo-controlled trial. Respiratory Medicine, 97(3), 250–256. [CrossRef]
- Carson, C.F. , & Hammer, K.A. (2010). Chemistry and Bioactivity of Essential Oils. In Lipids and Essential Oils as Antimicrobial Agents (pp. 203–238). John Wiley and Sons. [CrossRef]
- Zhang, Jinbiao & An, Min & Wu, Hanwen & Stanton, Rex & Lemerle, Deirdre. Chemistry and bioactivity of Eucalyptus essential oils. Allelopathy Journal 2010, 25, 313–330. [Google Scholar]
- Wessels, C.B. , Nocetti, M., Brunetti, M. et al. Green-glued engineered products from fast growing Eucalyptus trees: a review. Eur. J. Wood Prod. 78, 933–940 (2020). [CrossRef]
- Immaroh, N.Z. , Kuliahsari, D.E., & Nugraheni, S.D. (2021). Review: Eucalyptus globulus essential oil extraction method. In IOP Conference Series: Earth and Environmental Science (Vol. 733). IOP Publishing Ltd. [CrossRef]
- Pain, G. (2007). Eucalyptus oil applications and markets (pp. 1–94).
- Terpenes: Flavors, Fragrances, Pharmaca, Pheromones, Eberhard Breitmaier, John Wiley & Sons, 2006, ISBN 3527609105, 9783527609109, 223.
- Ma-in, K. , H-Kittikun, A. & Phongpaichit, S. Application of plant essential oils in prevention of fungal growth on Para rubber wood. Eur. J. Wood Prod. 72, 413–416 (2014). [CrossRef]
- Morcia, C. , Malnati, M., & Terzi, V. (2012). In vitro antifungal activity of terpinen-4-ol, eugenol, carvone, 1,8-cineole (eucalyptol) and thymol against mycotoxigenic plant pathogens. Food Additives and Contaminants - Part A Chemistry, Analysis, Control, Exposure and Risk Assessment, 29(3), 415–422. [CrossRef]
- Seol, G.H. , & Kim, K.Y. (2016). Eucalyptol and its role in chronic diseases. In Advances in Experimental Medicine and Biology (Vol. 929, pp. 389–398). Springer New York LLC. [CrossRef]
- Nozal, M.J. , Bernal, J.L., Jiménez, J.J., González, M.J., & Higes, M. (2002). Extraction of thymol, eucalyptol, menthol, and camphor residues from honey and beeswax: Determination by gas chromatography with flame ionization detection. In Journal of Chromatography A (Vol. 954, pp. 207–215). [CrossRef]
- Nozal, M.J. , Bernal, J.L., Jiménez, J.J., González, M.J., & Higes, M. (2002). Extraction of thymol, eucalyptol, menthol, and camphor residues from honey and beeswax: Determination by gas chromatography with flame ionization detection. In Journal of Chromatography A (Vol. 954, pp. 207–215). [CrossRef]
- Dong, L.; Wang, J.; Deng, C.; Shen, X. Gas chromatography-mass spectrometry following pressurized hot water extraction and solid-phase microextraction for quantification of eucalyptol, camphor, and borneol in Chrysanthemum flowers. J. Sep. Science 2007, 30, 86–89. [Google Scholar] [CrossRef] [PubMed]
- Ercioglu, E., Velioglu, H.M., & Boyaci, I.H. (2018). Determination of terpenoid contents of aromatic plants using NIRS. Talanta, 178, 716–721. [CrossRef]
- Jonsson, R., Hurmekoski, E., Hetemäki, L., & Prestemon, J. (2017). What is the current state of forest product markets and how will they develop in the future? In Towards a sustainable European forest-based bioeconomy– assessment and the way forward (pp. 126–131). Retrieved from https://www.efi.int/sites/default/files/files/publication-bank/2018/efi_wsctu8_2017.pdf.
- Toppinen, A. , Korhonen, J., Hurmekoski, E., & Hansen, E. (2017). What makes a European forest-based bioeconomy competitive? (G. Winkel, Ed.), Towards a sustainable European forest-based bioeconomy – assessment and the way forward. What Science Can Tell Us 8. European Forest Institute.
- Maurin, E. , Clément, A., Gérardin, P. et al. A feasibility study on the use of chemically modified sawdusts bearing fatty alkyl chains for removal of oleic acid and olive-oil from water. Holz als Roh- und Werkstoff 57, 265–266 (1999). [CrossRef]
- Meez, E. , Rahdar, A., & Kyzas, G.Z. (2021). Sawdust for the Removal of Heavy Metals from Water: A Review. Molecules (Basel, Switzerland), 26(14), 4318. [CrossRef]
- Setyono, D., & Valiyaveettil, S. (2014). Chemically modified sawdust as renewable adsorbent for arsenic removal from water. ACS Sustainable Chemistry and Engineering, 2(12), 2722–2729. [CrossRef]
- Petretto, G.L.; Foddai, M.; Maldini, M.T.; Chessa, M.; Venditti, T.; D’Hallewin, G.; Pintore, G. A novel device for the study of antimicrobial activity by vapor-contact of volatile substances on food products. Communications in Agricultural and Applied Biological Sciences 2013, 78, 65–72. [Google Scholar]
- Nozal, M.J. , Bernal, J.L., Jiménez, J.J., González, M.J., & Higes, M. (2002). Extraction of thymol, eucalyptol, menthol, and camphor residues from honey and beeswax: Determination by gas chromatography with flame ionization detection. In Journal of Chromatography A (Vol. 954, pp. 207–215). [CrossRef]
- https://www.edp.pt/origem-energia/ (April 2023).
- https://melbourne.figshare.com/articles/dataset/EPiC_database_-_Wood_glue_PVA_/9979994/1 (April 2023).
- Ecoinvent, SimaPro 9.0.0.48 software.






![]() |
Disclaimer/Publisher’s Note: The statements, opinions and data contained in all publications are solely those of the individual author(s) and contributor(s) and not of MDPI and/or the editor(s). MDPI and/or the editor(s) disclaim responsibility for any injury to people or property resulting from any ideas, methods, instructions or products referred to in the content. |
© 2023 by the authors. Licensee MDPI, Basel, Switzerland. This article is an open access article distributed under the terms and conditions of the Creative Commons Attribution (CC BY) license (http://creativecommons.org/licenses/by/4.0/).
