Submitted:
18 April 2023
Posted:
18 April 2023
Read the latest preprint version here
Abstract
Keywords:
1. Introduction
2. Modelling
2.1. Feedforward Model
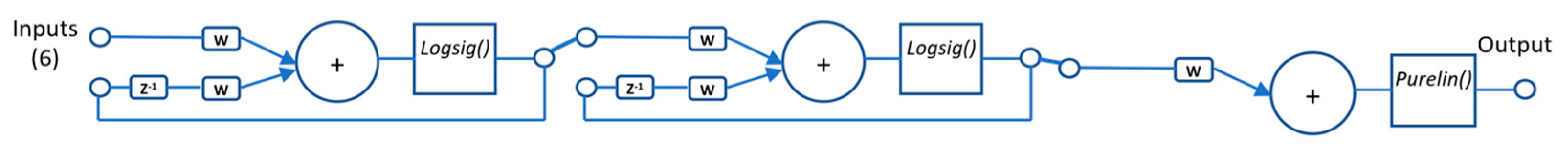
2.2. RNN Model
2.3. LSTM Model
2.4. Battery drive cycle Model
3. Methodology
3.1. Standard double layered Feedforward
3.2. Standard double layered RNN
3.3. Doubled layered LSTM Model
3.4. Bayesian optimization for deep learning counterparts
- Build a surrogate model of objective function
- Find the hyperparameters (hidden neurons in both hidden layers) that perform best on the surrogate model
- Use these hyperparameters obtained into the true objective function
- Update the surrogate model including new result
- Extract hyper parameters and build and train feedforward network based on these hyper parameters.
4. Results
| Average MAPE | RNN | LSTM | FF | Bay RNN | Bay LSTM | Bay FF |
|---|---|---|---|---|---|---|
| (First three quarter samples) | 7.80% | 0.78% | 0.26% | 6.70% | 7.08% | 0.10% |
| (Last quarter samples) | 39.30% | 2.15% | 3.19% | 30.06% | 16.76% | 0.64% |
5. Conclusion
References
- Aryal, A., M. Hossain, and K. Khalilpour. A Comparative study on state of charge estimation techniques for Lithium-ion Batteries. in 2021 IEEE PES Innovative Smart Grid Technologies-Asia (ISGT Asia). 2021. IEEE.
- Feng, X. , et al., State-of-charge estimation of lithium-ion battery based on clockwork recurrent neural network. Energy, 2021. 236: p. 121360.
- Wang, Q. , et al. Least squares support vector machine for state of charge estimation of lithium-ion battery using gray wolf optimizer. in Journal of Physics: Conference Series. 2021. IOP Publishing.
- Ismail, M. , et al. Battery state of charge estimation using an Artificial Neural Network. in 2017 IEEE Transportation Electrification Conference and Expo (ITEC). 2017. IEEE.
- Zhang, C.-W. , et al., State of charge estimation of power battery using improved back propagation neural network. Batteries, 2018. 4(4): p. 69.
- Chaoui, H. and C.C. Ibe-Ekeocha, State of charge and state of health estimation for lithium batteries using recurrent neural networks. IEEE Transactions on vehicular technology, 2017. 66(10): p. 8773-8783.
- Chemali, E. , et al., Long short-term memory networks for accurate state-of-charge estimation of Li-ion batteries. IEEE Transactions on Industrial Electronics, 2017. 65(8): p. 6730-6739.
- Chemali, E. , et al., State-of-charge estimation of Li-ion batteries using deep neural networks: A machine learning approach. Journal of Power Sources, 2018. 400: p. 242-255.
- Orr, B. , The Exploding and Vanishing Gradients Problem in Time Series. 2020, Towards Data Science.
- Shewalkar, A. , Performance evaluation of deep neural networks applied to speech recognition: RNN, LSTM and GRU. Journal of Artificial Intelligence and Soft Computing Research, 2019. 9(4): p. 235--245.
- Shi, Z. , et al. A long short-term memory network for online state-of-charge estimation of li-ion battery cells. in 2020 IEEE Transportation Electrification Conference & Expo (ITEC). 2020. IEEE.
- Wu, J. , et al., Hyperparameter optimization for machine learning models based on Bayesian optimization. Journal of Electronic Science and Technology, 2019. 17(1): p. 26-40.
- Yang, F. , et al., State-of-charge estimation of lithium-ion batteries based on gated recurrent neural network. Energy, 2019. 175: p. 66-75.
- Zhang, S., Z. Liu, and H. Su, A Bayesian Mixture Neural Network for Remaining Useful Life Prediction of Lithium-Ion Batteries. IEEE Transactions on Transportation Electrification, 2022.
- Xu, S., F. Zhou, and Y. Liu, A hybrid method for lithium-ion batteries state-of-charge estimation based on gated recurrent unit neural network and an adaptive unscented Kalman filter. Journal of Electrochemical Energy Conversion and Storage, 2022. 19(3): p. 031005.
- Zhang, S. , et al., A data-driven coulomb counting method for state of charge calibration and estimation of lithium-ion battery. Sustainable Energy Technologies and Assessments, 2020. 40: p. 100752.
- Chen, G. , et al., Electrochemical-distributed thermal coupled model-based state of charge estimation for cylindrical lithium-ion batteries. Control Engineering Practice, 2021. 109: p. 104734.
- Ndeche, K.C. , & Ezeonu, S. O., Implementation of Coulomb Counting Method for Estimating the State of Charge of Lithium-Ion Battery. Physical Science International Journal, 2021. 25(3): p. 1-8.
- Hu, X., S. E. Li, and Y. Yang, Advanced machine learning approach for lithium-ion battery state estimation in electric vehicles. IEEE Transactions on Transportation electrification, 2015. 2(2): p. 140-149.
- Nicholson, C. A Beginner's Guide to LSTMs and Recurrent Neural Networks. 2020.
- Documentation, M. , Long Short-Term Memory Networks. 2022: MAthWorks Inc.
- Koutsoukas, A. , et al., Deep-learning: investigating deep neural networks hyper-parameters and comparison of performance to shallow methods for modeling bioactivity data. Journal of cheminformatics, 2017. 9(1): p. 1-13.
- Arifuzzaman, M. , et al., Application of artificial intelligence (ai) for sustainable highway and road system. Symmetry, 2020. 13(1): p. 60.












| RNN | LSTM | FF | Bay RNN | Bay LSTM | Bay FF | |
| MAPE (min MAPE profile) | 10.57% | 0.81% | 0.54% | 8.09% | 8.65% | 0.06% |
| NRMSE (min NRMSE profile) | 17.42% | 1.21% | 1.33% | 13.32% | 13.96% | 0.10% |
| MAPE (average for 3 profiles) | 14.02% | 1.04% | 0.80% | 11.05% | 8.67% | 0.20% |
| NRMSE(average for 3 profiles) | 23.10% | 1.48% | 2.67% | 17.08% | 14.25% | 0.55% |
Disclaimer/Publisher’s Note: The statements, opinions and data contained in all publications are solely those of the individual author(s) and contributor(s) and not of MDPI and/or the editor(s). MDPI and/or the editor(s) disclaim responsibility for any injury to people or property resulting from any ideas, methods, instructions or products referred to in the content. |
© 2023 by the authors. Licensee MDPI, Basel, Switzerland. This article is an open access article distributed under the terms and conditions of the Creative Commons Attribution (CC BY) license (http://creativecommons.org/licenses/by/4.0/).
