Submitted:
08 March 2023
Posted:
14 March 2023
You are already at the latest version
Abstract
Keywords:
1. Introduction
2. The model and method
3. Results and discussion
Data Availability Statement
Acknowledgments
Conflicts of Interest
References
- P. Moreau, O. Soloveva, and I. Grishmanovskii et al.. Properties of the QGP created in heavy-ion collisions [J]. AstronomischeNachrichten, 2021, 342, 715-726.
- C. A. Graeff, M. D. Alloy, and K. D. Marquez et al. Hadron-quark phase transition: the QCD phase diagram and stellar conversion [J]. Journal of Cosmology and Astroparticle Physics, 2019, 2019, 024. [CrossRef]
- S. Domdey, B. Z. Kopeliovich, and H. J. Pirner. Jet-evolution in the quark-gluon plasma from RHIC to the LHC [J]. Nuclear Physics A, 2011, 856, 134-153. [CrossRef]
- L. N. Gao, Fu-Hu Liu and Roy A. Lacey. Excitation functions of parameters in Erlang distribution, Schwinger mechanism, and Tsallis statistics in RHIC BES program. The European Physical Journal A, 2016, 52, 137. [CrossRef]
- L. N. Gao and Fu-Hu Liu. Comparing Erlang Distribution and Schwinger Mechanism on Transverse Momentum Spectra in High Energy Collisions.Advances in High Energy Physics, 2016, 2016, 1505823. [CrossRef]
- L. N. Gao, Fu-Hu Liu, and Bao-Chun Li. Rapidity Dependent Transverse Momentum Spectra of Heavy Quarkonia Produced in Small Collision Systems at the LHC. Advances in High Energy Physics.2019, 2019, 6739315. [CrossRef]
- L. N. Gao, Fu-Hu Liu. Transverse momentum spectra of heavy baryons and mesons in forward rapidity range in small collision system at the LHC. Indian Journal of Physics. 2020, 94, 1431-1450. [CrossRef]
- L. N. Gao, Er-Qin Wang. Transverse momenta and pseudo-rapidity spectrum of the top quark, lepton and b jet in proton-proton collisions at LHC. Advances in High Energy Physics, 2021, 2021, 6660669. [CrossRef]
- R. Hagedorn. Multiplicities, pT distributions and the expected hadron→ quark-gluon phase transition [J]. RivistadelNuovoCimento, 1983, 6(CERN-TH-3684), 1.
- K. K. Olimov, F. H. Liu, and K.A. Musaev et al. Multiplicity dependencies of midrapidity transverse momentumspectra of identified charged particles in p+pcollisions at (s)1/2=13 TeV at LHC. International Journal of Modern Physics A, 2021, 36, 2150149. [CrossRef]
- P. K. Khandai, P. Sett, and P. Shukla et al.. System size dependence of hadron pTspectra in p+p and Au+Au collisions at √SNN = 200 GeV [J]. Journal of Physics G, 2014, 41, 025105.
- K. K. Olimov, A. lqbal, and S. Masood. Systematic analysis of midrapidity transverse momentum spectra of identified charged particles in p+ p collisions at √SNN = 2.76, 5.02, and 7 TeV at the LHC [J]. International Journal of Modern Physics A, 2020, 35, 2050167. [CrossRef]
- K. K. Olimov, S. Z. Kanokova, and A. K.Olimov et al. Combined analysis of midrapidity transverse momentum spectra of the charged pions and kaons, protons and antiprotons in p+p and Pb+ Pb collisions at √SNN =2.76 and 5.02 TeV at the LHC [J]. Modern Physics Letters A, 2020, 35, 2050237. [CrossRef]
- K. K. Olimov, S. Z. Kanokova, and K.Olimov et al. Average transverse expansion velocities and global freeze-out temperatures in central Cu+Cu, Au+Au, and Pb+Pb collisions at high energies at RHIC and LHC [J]. Modern Physics Letters A, 2020, 35, 2050115. [CrossRef]
- R. Aaij, A.S.W. Abdelmotteleb, and C.Abellán Beteta et al. Measurement of J/ψ production cross-sections in pp collisions at √s =5 TeV [J]. Journal of High Energy Physics, 2021, 11, 181.
- R. Aaij, B. Adeva, and M. Adinolfi et al..Measurement of J/ψproduction in pp collisions at √s =7 TeV [J]. The European Physical Journal C, 2011, 71, 1645.
- R. Aaij, B. Adeva, and M. Adinolfi et al..Measurement of forward J/ψ production cross-sections in pp collisions at s√ =13 TeV [J]. Journal of High Energy Physics, 2015, 10, 172.
- P. K. Khandai, P. Sett, and P. Shukla et al..Hadron spectra in p+p collisions at RHIC and LHC energies [J].International Journal of Modern Physics A, 2013, 28, 1350066. [CrossRef]
- R. Blankenbecler, S. J. Brodsky, and J. Gunion. Analysis of particle production at large transverse momentum [J]. Physical Review D, 1975, 12, 3469. [CrossRef]
- S. J. Brodsky, H. J. Pirner, and J. Raufeisen. Scaling properties of high pTinclusive hadron production [J].Physices Letters B, 2006, 637, 58. [CrossRef]





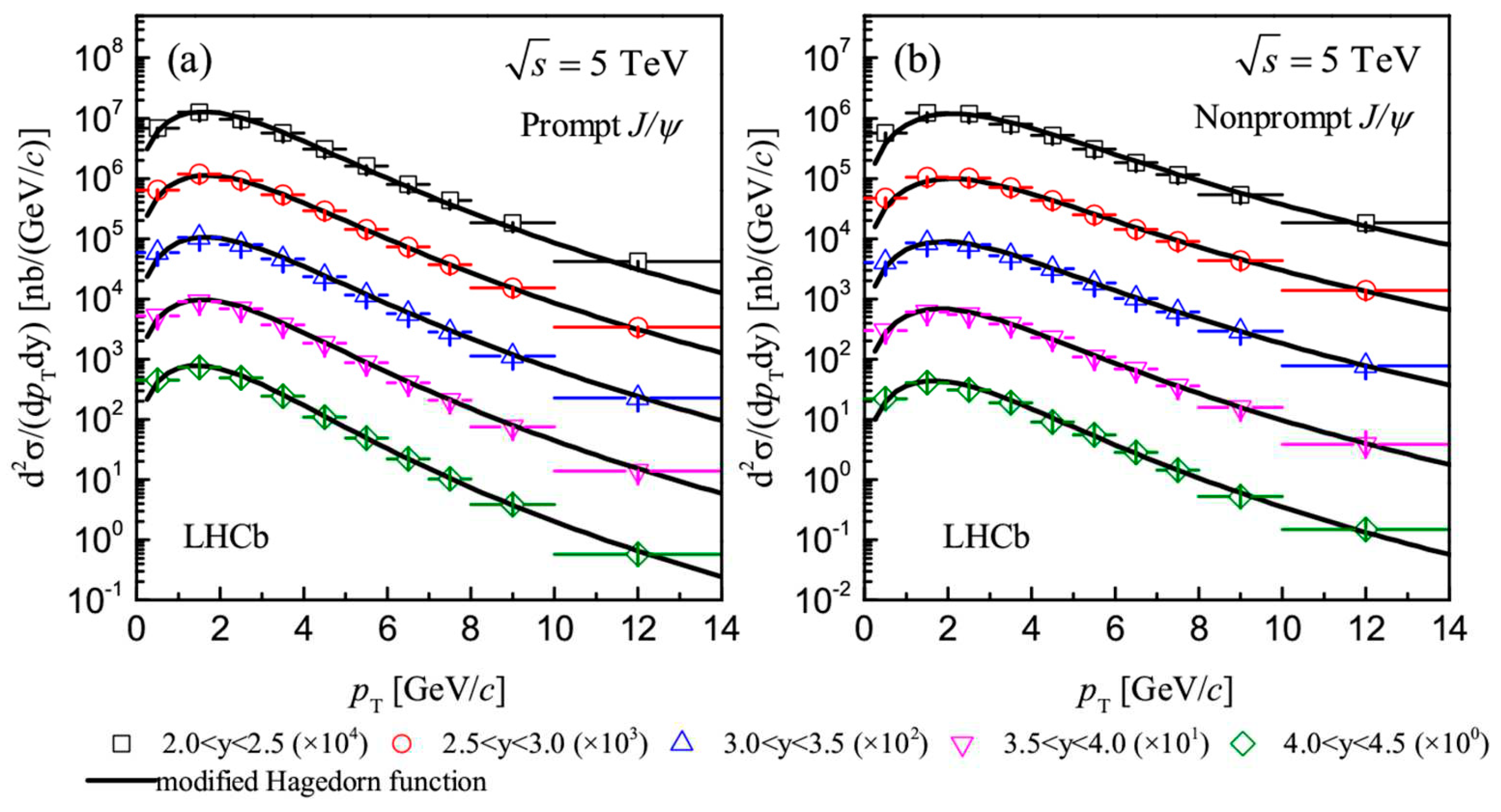
| Figure | Type | n | T0(GeV) | βt | |||
|---|---|---|---|---|---|---|---|
| Figure 1(a) | 2.0<y<2.5 | 7.975±0.580 | 0.145±0.030 | 0.162±0.018 | 1.875 | 2.647±0.051 | 2.238±0.088 |
| 2.5<y<3.0 | 8.000±0.620 | 0.142±0.045 | 0.150±0.015 | 0.751 | 2.600±0.042 | 2.199±0.067 | |
| 3.0<y<3.5 | 8.120±0.650 | 0.135±0.042 | 0.143±0.012 | 0.694 | 2.526±0.023 | 2.134±0.033 | |
| 3.5<y<4.0 | 8.243±0.650 | 0.120±0.042 | 0.118±0.015 | 0.402 | 2.397±0.014 | 2.024±0.028 | |
| 4.0<y<4.5 | 8.335±0.635 | 0.088±0.030 | 0.080±0.015 | 0.357 | 2.191±0.032 | 1.849±0.034 | |
| Figure 1(b) | 2.0<y<2.5 | 6.800±0.530 | 0.155±0.048 | 0.270±0.025 | 1.467 | 3.350±0.038 | 2.840±0.027 |
| 2.5<y<3.0 | 6.500±0.530 | 0.128±0.042 | 0.250±0.025 | 1.672 | 3.298±0.033 | 2.809±0.078 | |
| 3.0<y<3.5 | 6.752±0.543 | 0.125±0.042 | 0.200±0.020 | 0.379 | 3.036±0.027 | 2.592±0.026 | |
| 3.5<y<4.0 | 7.102±0.570 | 0.120±0.045 | 0.182±0.020 | 0.333 | 2.852±0.029 | 2.428±0.027 | |
| 4.0<y<4.5 | 7.433±0.565 | 0.100±0.040 | 0.142±0.015 | 0.883 | 2.584±0.032 | 2.196±0.031 | |
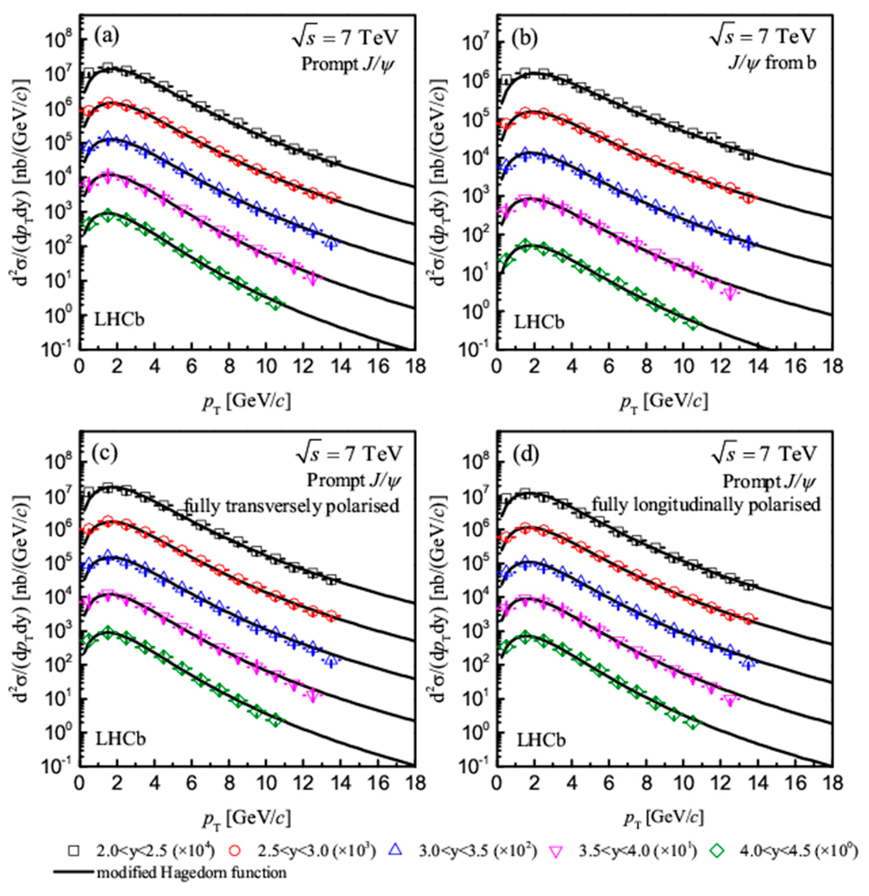
| Figure 2(a) | 2.0<y<2.5 | 7.703±0.522 | 0.143±0.040 | 0.162±0.015 | 1.256 | 2.706±0.093 | 2.294±0.104 |
| 2.5<y<3.0 | 7.880±0.520 | 0.142±0.040 | 0.161±0.013 | 0.352 | 2.657±0.064 | 2.248±0.100 | |
| 3.0<y<3.5 | 8.000±0.550 | 0.137±0.037 | 0.152±0.013 | 0.460 | 2.590±0.033 | 2.189±0.053 | |
| 3.5<y<4.0 | 8.182±0.550 | 0.120±0.035 | 0.120±0.010 | 0.312 | 2.414±0.013 | 2.040±0.012 | |
| 4.0<y<4.5 | 8.184±0.556 | 0.110±0.030 | 0.085±0.010 | 0.173 | 2.300±0.024 | 1.947±0.013 | |
| Figure 2(b) | 2.0<y<2.5 | 6.303±0.517 | 0.120±0.032 | 0.240±0.020 | 1.490 | 3.316±0.075 | 2.833±0.109 |
| 2.5<y<3.0 | 6.400±0.520 | 0.125±0.032 | 0.192±0.020 | 0.277 | 3.143±0.062 | 2.696±0.082 | |
| 3.0<y<3.5 | 6.555±0.520 | 0.112±0.030 | 0.162±0.015 | 0.153 | 2.951±0.037 | 2.534±0.021 | |
| 3.5<y<4.0 | 6.648±0.520 | 0.110±0.030 | 0.153±0.015 | 0.483 | 2.886±0.035 | 2.477±0.019 | |
| 4.0<y<4.5 | 6.935±0.525 | 0.082±0.025 | 0.200±0.018 | 0.147 | 2.827±0.021 | 2.403±0.014 | |
| Figure 2(c) | 2.0<y<2.5 | 7.505±0.500 | 0.110±0.027 | 0.173±0.017 | 0.823 | 2.679±0.035 | 2.270±0.013 |
| 2.5<y<3.0 | 7.583±0.500 | 0.110±0.025 | 0.153±0.017 | 0.440 | 2.604±0.028 | 2.208±0.028 | |
| 3.0<y<3.5 | 7.602±0.503 | 0.100±0.020 | 0.150±0.020 | 0.690 | 2.559±0.020 | 2.169±0.012 | |
| 3.5<y<4.0 | 7.660±0.510 | 0.085±0.015 | 0.130±0.015 | 0.578 | 2.445±0.022 | 2.072±0.012 | |
| 4.0<y<4.5 | 7.801±0.450 | 0.078±0.020 | 0.102±0.018 | 0.227 | 2.322±0.018 | 1.967±0.010 | |
| Figure 2(d) | 2.0<y<2.5 | 7.503±0.477 | 0.115±0.030 | 0.170±0.020 | 0.706 | 2.688±0.025 | 2.279±0.036 |
| 2.5<y<3.0 | 7.505±0.470 | 0.115±0.025 | 0.155±0.015 | 0.158 | 2.646±0.023 | 2.246±0.029 | |
| 3.0<y<3.5 | 7.600±0.450 | 0.104±0.025 | 0.156±0.015 | 0.254 | 2.588±0.018 | 2.193±0.011 | |
| 3.5<y<4.0 | 7.702±0.450 | 0.095±0.020 | 0.143±0.017 | 0.945 | 2.500±0.015 | 2.116±0.013 | |
| 4.0<y<4.5 | 7.706±0.474 | 0.068±0.012 | 0.133±0.017 | 0.283 | 2.386±0.019 | 2.018±0.014 | |
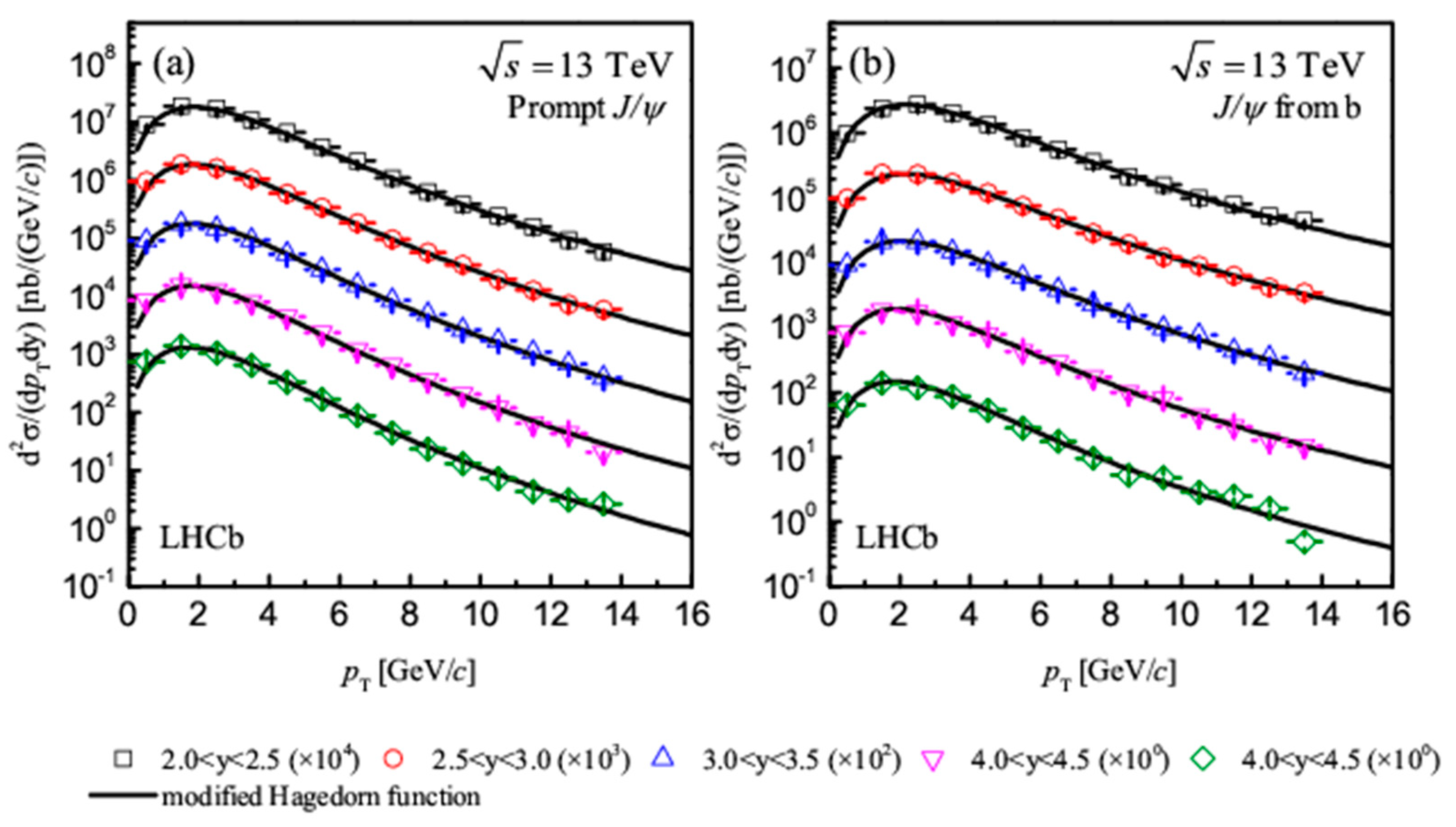
| Figure 3(a) | 2.0<y<2.5 | 7.202±0.500 | 0.145±0.035 | 0.194±0.024 | 0.950 | 2.940±0.037 | 2.500±0.059 |
| 2.5<y<3.0 | 7.430±0.520 | 0.142±0.030 | 0.190±0.025 | 0.849 | 2.853±0.022 | 2.421±0.049 | |
| 3.0<y<3.5 | 7.632±0.578 | 0.135±0.030 | 0.190±0.020 | 0.799 | 2.777±0.012 | 2.349±0.018 | |
| 3.5<y<4.0 | 7.701±0.580 | 0.128±0.028 | 0.183±0.023 | 1.703 | 2.716±0.005 | 2.296±0.084 | |
| 4.0<y<4.5 | 7.820±0.580 | 0.128±0.020 | 0.165±0.025 | 1.578 | 2.637±0.003 | 2.230±0.031 | |
| Figure 3(b) | 2.0<y<2.5 | 6.107±0.443 | 0.157±0.032 | 0.253±0.027 | 0.439 | 3.574±0.084 | 3.055±0.037 |
| 2.5<y<3.0 | 6.000±0.400 | 0.148±0.028 | 0.250±0.030 | 0.540 | 3.581±0.055 | 3.065±0.088 | |
| 3.0<y<3.5 | 6.203±0.403 | 0.138±0.028 | 0.234±0.026 | 0.608 | 3.402±0.021 | 2.912±0.033 | |
| 3.5<y<4.0 | 6.252±0.372 | 0.122±0.020 | 0.200±0.020 | 0.529 | 3.217±0.026 | 2.762±0.091 | |
| 4.0<y<4.5 | 6.350±0.380 | 0.118±0.020 | 0.163±0.017 | 1.909 | 3.053±0.022 | 2.629±0.036 |
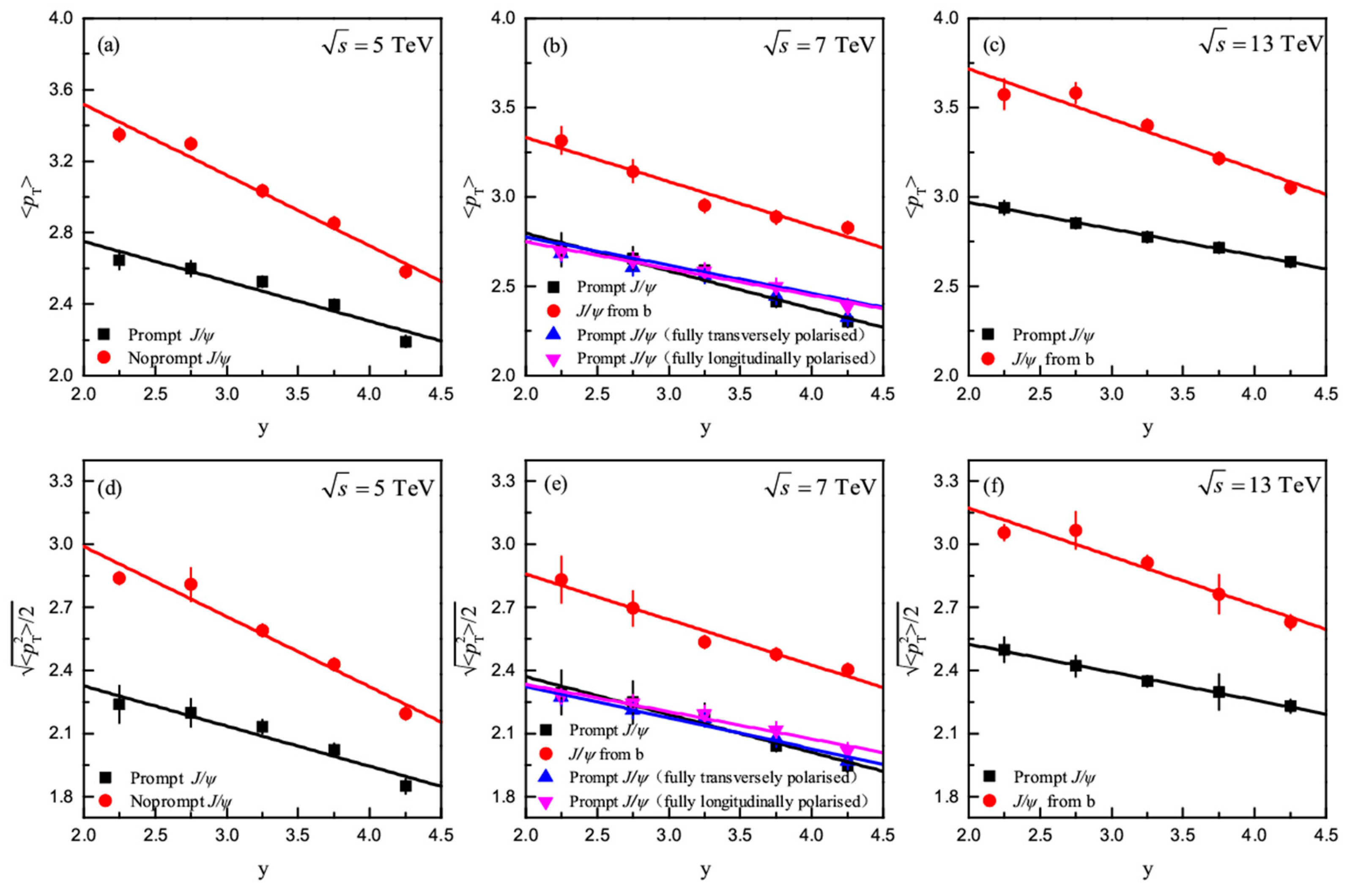
| Figure | Type | Intercept | Slope | |
|---|---|---|---|---|
| Figure 4(a) | prompt J/ψ | 7.509±0.057 | 0.193±0.017 | 0.003 |
| nopromptJ/ψ | 5.703±0.429 | 0.374±0.129 | 0.193 | |
| Figure 4(b) | prompt J/ψ | 7.168±0.101 | 0.253±0.030 | 0.010 |
| J/ψ from b | 5.585±0.111 | 0.302±0.033 | 0.014 | |
| prompt J/ψ(fully transversely polarized) | 7.195±0.067 | 0.134±0.020 | 0.006 | |
| prompt J/ψ(fully longitudinally polarized) | 7.211±0.064 | 0.121±0.019 | 0.006 | |
| Figure 4(c) | prompt J/ψ | 6.577±0.108 | 0.301±0.033 | 0.012 |
| J/ψ from b | 5.703±0.141 | 0.148±0.042 | 0.035 | |
| Figure 4(d) | prompt J/ψ | 0.214±0.019 | -0.027±0.006 | 0.095 |
| nopromptJ/ψ | 0.202±0.014 | -0.024±0.004 | 0.029 | |
| Figure 4(e) | prompt J/ψ | 0.188±0.010 | -0.018±0.003 | 0.021 |
| J/ψ from b | 0.169±0.018 | -0.018±0.005 | 0.116 | |
| prompt J/ψ(fully transversely polarized) | 0.154±0.008 | -0.018±0.002 | 0.041 | |
| prompt J/ψ(fully longitudinally polarized) | 0.173±0.015 | -0.023±0.005 | 0.252 | |
| Figure 4(f) | prompt J/ψ | 0.167±0.004 | -0.010±0.001 | 0.008 |
| J/ψ from b | 0.204±0.005 | -0.021±0.002 | 0.020 | |
| Figure 4(g) | prompt J/ψ | 0.258±0.021 | -0.039±0.006 | 0.684 |
| nopromptJ/ψ | 0.419±0.015 | -0.065±0.005 | 0.145 | |
| Figure 4(h) | prompt J/ψ | 0.263±0.026 | -0.039±0.008 | 1.336 |
| J/ψ from b | 0.267±0.061 | -0.024±0.018 | 3.890 | |
| prompt J/ψ(fully transversely polarized) | 0.249±0.014 | -0.033±0.004 | 0.172 | |
| prompt J/ψ(fully longitudinally polarized) | 0.207±0.007 | -0.017±0.002 | 0.072 | |
| Figure 4(i) | prompt J/ψ | 0.227±0.011 | -0.013±0.003 | 0.071 |
| J/ψ from b | 0.369±0.025 | -0.046±0.007 | 0.339 | |
| Figure 5(a) | prompt J/ψ | 3.197±0.106 | -0.223±0.032 | 5.515 |
| nopromptJ/ψ | 4.310±0.122 | -0.396±0.037 | 3.867 | |
| Figure 5(b) | prompt J/ψ | 3.219±0.079 | -0.211±0.024 | 1.735 |
| J/ψ from b | 3.827±0.106 | -0.247±0.032 | 3.345 | |
| prompt J/ψ(fully transversely polarized) | 3.089±0.052 | -0.157±0.016 | 1.976 | |
| prompt J/ψ(fully longitudinally polarized) | 3.049±0.049 | -0.150±0.015 | 1.941 | |
| Figure 5(c) | prompt J/ψ | 3.268±0.014 | -0.149±0.004 | 0.639 |
| J/ψ from b | 4.279±0.121 | -0.281±0.036 | 2.582 | |
| Figure 5(d) | prompt J/ψ | 2.708±0.090 | -0.191±0.027 | 1.809 |
| nopromptJ/ψ | 3.658±0.115 | -0.334±0.035 | 3.347 | |
| Figure 5(e) | prompt J/ψ | 2.730±0.063 | -0.180±0.019 | 1.212 |
| J/ψ from b | 3.290±0.072 | -0.216±0.022 | 3.840 | |
| prompt J/ψ(fully transversely polarized) | 2.619±0.045 | -0.148±0.013 | 4.597 | |
| prompt J/ψ(fully longitudinally polarized) | 2.594±0.043 | -0.130±0.013 | 2.625 | |
| Figure 5(f) | prompt J/ψ | 2.791±0.015 | -0.133±0.005 | 0.121 |
| J/ψ from b | 3.635±0.101 | -0.231±0.030 | 1.463 |
Disclaimer/Publisher’s Note: The statements, opinions and data contained in all publications are solely those of the individual author(s) and contributor(s) and not of MDPI and/or the editor(s). MDPI and/or the editor(s) disclaim responsibility for any injury to people or property resulting from any ideas, methods, instructions or products referred to in the content. |
© 2023 by the authors. Licensee MDPI, Basel, Switzerland. This article is an open access article distributed under the terms and conditions of the Creative Commons Attribution (CC BY) license (http://creativecommons.org/licenses/by/4.0/).