Submitted:
30 December 2022
Posted:
05 January 2023
You are already at the latest version
Abstract
Keywords:
1. Introduction
2. Preliminary Concepts and Related Work
3. Applying Federated Learning to Educational Data Analysis
4. Experimental Setup and Results
4.1. Dataset Description
4.2. Task 1: Student Dropout Prediction
4.2.1. Experiment Execution
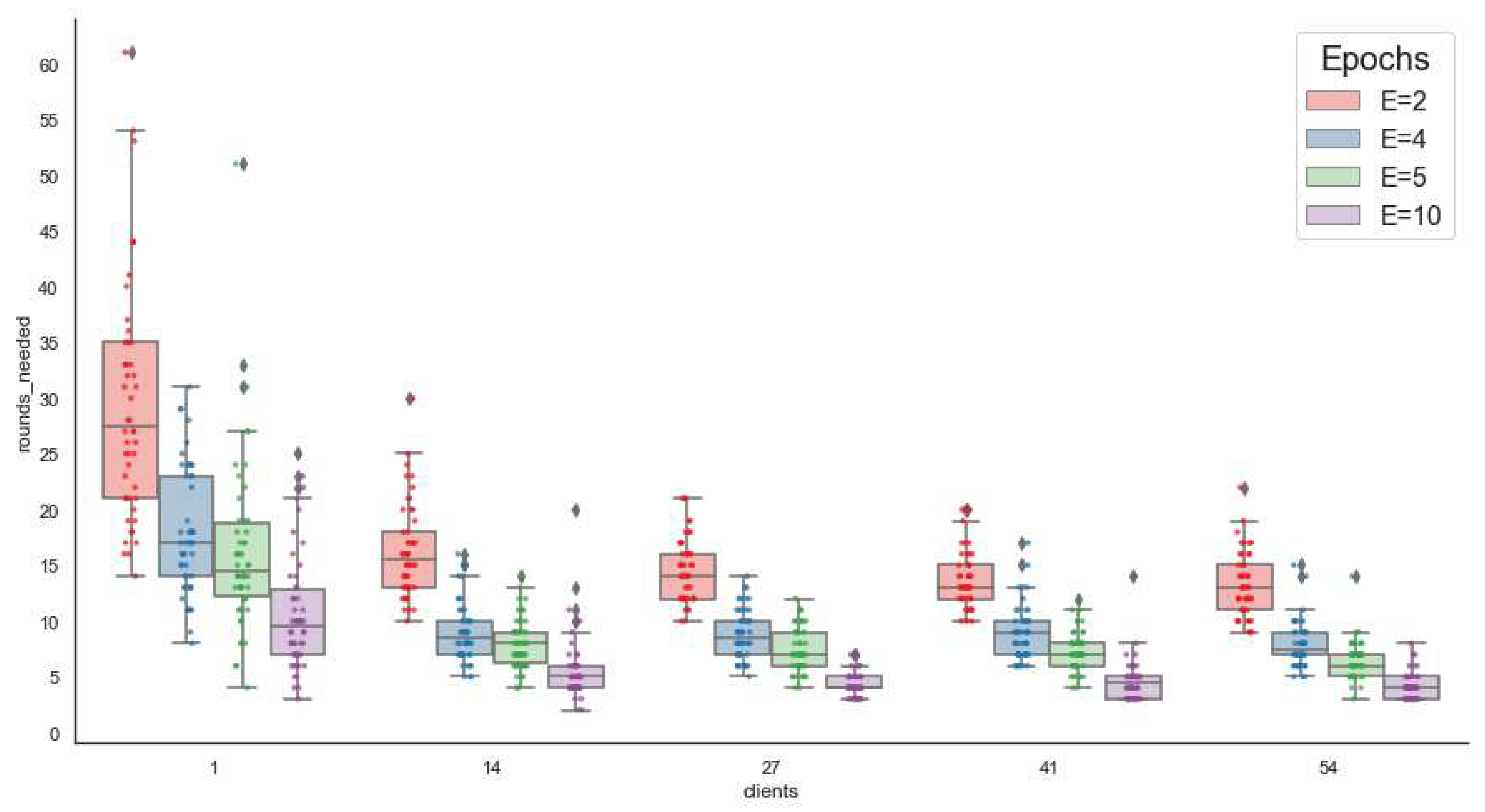
4.2.2. Further Experiments: Homogeneous vs. Heterogeneous Data Distribution


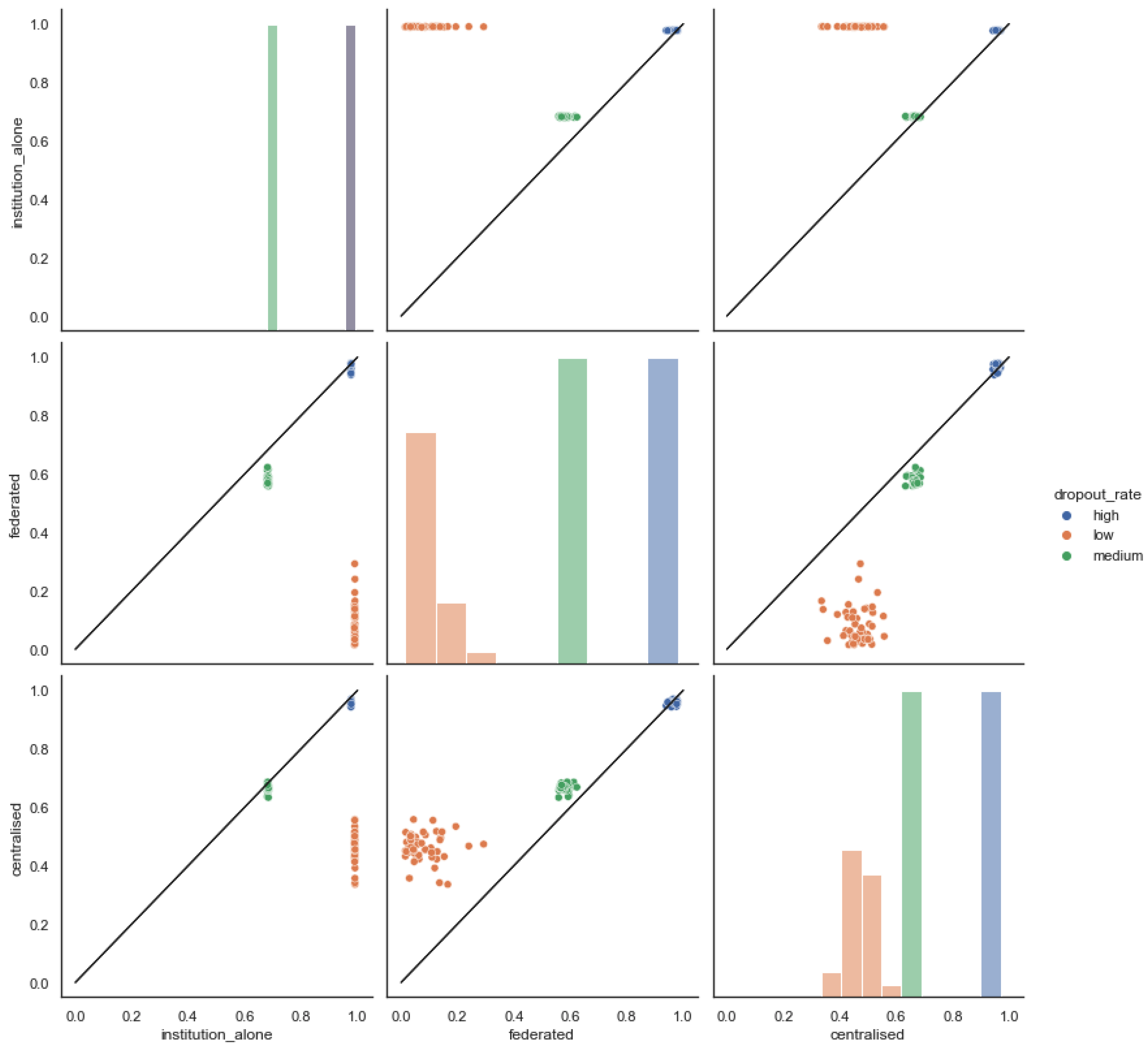
4.3. Task 2: Unsupervised Student Classification
Experimental Setup
5. Discussion
6. Conclusion
Author Contributions
Funding
Institutional Review Board Statement
Informed Consent Statement
Data Availability Statement
Conflicts of Interest
References
- Drachsler, H.; Kismihók, G.; Chen, W.; Hoel, T.; Berg, A.; Cooper, A.; Scheffel, M.; Ferguson, R. Ethical and privacy issues in the design of learning analytics applications. ACM International Conference Proceeding Series 2016, 25-29-Apri, 492–493. [CrossRef]
- Banihashem, S.K.; Aliabadi, K.; Pourroostaei Ardakani, S.; Delaver, A.; Nili Ahmadabadi, M. Learning Analytics: A Systematic Literature Review. Interdisciplinary Journal of Virtual Learning in Medical Sciences 2018, 9, 63024. [Google Scholar] [CrossRef]
- Mangaroska, K.; Giannakos, M. Learning Analytics for Learning Design: A Systematic Literature Review of Analytics-Driven Design to Enhance Learning. IEEE Transactions on Learning Technologies 2019, 12, 516–534. [Google Scholar] [CrossRef]
- Sweeney, L. k-anonymity: A model for protecting privacy. International journal of uncertainty, fuzziness and knowledge-based systems 2002, 10, 557–570. [Google Scholar] [CrossRef]
- Khalil, M.; Ebner, M. De-Identification in Learning Analytics. Journal of Learning Analytics 2016, 3, 129–138. [Google Scholar] [CrossRef]
- Kyritsi, K.H.; Zorkadis, V.; Stavropoulos, E.C.; Verykios, V.S. The pursuit of patterns in educational data mining as a threat to student privacy. Journal of Interactive Media in Education 2019, 2019, 1–10. [Google Scholar] [CrossRef]
- Dwork, C. Differential privacy: A survey of results. In Proceedings of the International conference on theory and applications of models of computation. Springer, 2008, pp. 1–19.
- Gursoy, M.E.; Inan, A.; Nergiz, M.E.; Saygin, Y. Privacy-Preserving Learning Analytics: Challenges and Techniques. IEEE Transactions on Learning Technologies 2017, 10, 68–81. [Google Scholar] [CrossRef]
- Konečný, J.; McMahan, H.B.; Ramage, D.; Richtarik, P. Federated Optimization: Distributed Machine Learning for On-Device Intelligence, 2016.
- Li, T.; Sahu, A.K.; Talwalkar, A.; Smith, V. Federated Learning: Challenges, Methods, and Future Directions. IEEE Signal Processing Magazine 2020, 37, 50–60. [Google Scholar] [CrossRef]
- Yang, Q.; Liu, Y.; Chen, T.; Tong, Y. Federated Machine Learning: Concept and Applications. ACM Trans. Intell. Syst. Technol. 2019, 10. [Google Scholar] [CrossRef]
- Kairouz, P.; McMahan, B.; Song, S.; Thakkar, O.; Thakurta, A.; Xu, Z. Practical and Private (Deep) Learning without Sampling or Shuffling 2021. pp. 1–34.
- Zaman, F. Instilling Responsible and Reliable AI Development with Federated Learning. https://medium.com/accenture-the-dock/instilling-responsible-and-reliable-ai-development-with-federated-learning-d23c366c5efd, 2020.
- McMahan, B.; Moore, E.; Ramage, D.; Hampson, S.; y Arcas, B.A. Communication-efficient learning of deep networks from decentralized data. In Proceedings of the Artificial intelligence and statistics. PMLR, 2017, pp. 1273–1282.
- Hakak, S.; Ray, S.; Khan, W.Z.; Scheme, E. A framework for edge-assisted healthcare data analytics using federated learning. In Proceedings of the 2020 IEEE International Conference on Big Data (Big Data). IEEE, 2020, pp. 3423–3427.
- Nguyen, D.C.; Pham, Q.V.; Pathirana, P.N.; Ding, M.; Seneviratne, A.; Lin, Z.; Dobre, O.; Hwang, W.J. Federated learning for smart healthcare: A survey. ACM Computing Surveys (CSUR) 2022, 55, 1–37. [Google Scholar] [CrossRef]
- Rieke, N.; Hancox, J.; Li, W.; Milletari, F.; Roth, H.R.; Albarqouni, S.; Bakas, S.; Galtier, M.N.; Landman, B.A.; Maier-Hein, K.; et al. The future of digital health with federated learning. NPJ digital medicine 2020, 3, 1–7. [Google Scholar] [CrossRef] [PubMed]
- Feng, W.; Tang, J.; Liu, T.X. Understanding dropouts in MOOCs. In Proceedings of the Proceedings of the AAAI Conference on Artificial Intelligence, 2019, Vol. 33, pp. 517–524.
- Guo, S.; Zeng, D. Pedagogical Data Federation toward Education 4.0. In Proceedings of the Proceedings of the 6th International Conference on Frontiers of Educational Technologies; ICFET ’20; Association for Computing Machinery: New York, NY, USA, 2020; pp. 51–55. [Google Scholar] [CrossRef]
- KDD. KDDCup. http://moocdata.cn/challenges/kdd-cup-2015, 2015.
- FLEA. FLEA project public repository. https://gitlab.fing.edu.uy/flea/flea, 2022.
- Kingma, D.P.; Ba, J. Adam: A method for stochastic optimization. arXiv preprint arXiv:1412.6980, 2014; arXiv:1412.6980. [Google Scholar]
- Kumar, H.H.; Karthik, V.; Nair, M.K. Federated k-means clustering: A novel edge AI based approach for privacy preservation. In Proceedings of the 2020 IEEE International Conference on Cloud Computing in Emerging Markets (CCEM). IEEE, 2020, pp. 52–56.
- Oskar, J. Triebe, R.R. Federated K-Means:clustering algorithm and proof of concept 2019.
- Liu, B.; Ding, M.; Shaham, S.; Rahayu, W.; Farokhi, F.; Lin, Z. When Machine Learning Meets Privacy: A Survey and Outlook. ACM Computing Surveys 2021, 54. [Google Scholar] [CrossRef]






| Students with low dropout rate (lower than 0.2): | 8723 | 11.32% |
| Students with medium dropout rate (between 0.2 and 0.8): | 20567 | 26.68% |
| Students with high dropout rate (higher than 0.8): | 46687 | 60.57% |
Disclaimer/Publisher’s Note: The statements, opinions and data contained in all publications are solely those of the individual author(s) and contributor(s) and not of MDPI and/or the editor(s). MDPI and/or the editor(s) disclaim responsibility for any injury to people or property resulting from any ideas, methods, instructions or products referred to in the content. |
© 2023 by the authors. Licensee MDPI, Basel, Switzerland. This article is an open access article distributed under the terms and conditions of the Creative Commons Attribution (CC BY) license (http://creativecommons.org/licenses/by/4.0/).