Submitted:
08 February 2024
Posted:
09 February 2024
Read the latest preprint version here
Abstract
Keywords:
1. Introduction
2. Disclosing an Issue in Special and General Relativity


3. The Physics of Euclidean Relativity




4. Geometric Effects in 4D Euclidean Space






5. Solving 15 Fundamental Mysteries of Physics
5.1. Solving the Mystery of Time
5.2. Solving the Mystery of Time’s Arrow
5.3. Solving the Mystery of the Factor c2 in mc2


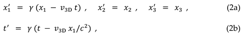
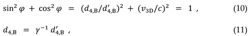
5.4. Solving the Mystery of Length Contraction and Time Dilation
5.5. Solving the Mystery of Gravitational Time Dilation
5.6. Solving the Mystery of the Cosmic Microwave Background
5.7. Solving the Mystery of the Hubble–Lemaître Law


5.8. Solving the Mystery of the Flat Universe
5.9. Solving the Mystery of Cosmic Inflation
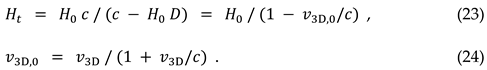
5.10. Solving the Mystery of the Hubble Tension



5.11. Solving the Mystery of Dark Energy
5.12. Solving the Mystery of the Wave–Particle Duality
5.13. Solving the Mystery of Non-Locality
5.14. Solving the Mystery of Spontaneous Effects
5.15. Solving the Mystery of the Baryon Asymmetry
6. Conclusions
Declarations
Acknowledgments
Comments
Conflicts of Interest
Ethical Approval
Funding
References
- Abbott, B. P., et al. (2016). Observation of gravitational waves from a binary black hole merger. Physical Review Letters, 116(6), 061102. [CrossRef]
- Aghanim, N., et al. (2020). Planck 2018 results. VI. Cosmological parameters. Astronomy & Astrophysics, 641, A6. [CrossRef]
- Almeida, J. B. (2001). An alternative to Minkowski space-time. arXiv:gr-qc/0104029. [CrossRef]
- Ashby, N. (2003). Relativity in the global positioning system. Living Reviews in Relativity, 6(1), 1–42. [CrossRef]
- Aspect, A., Dalibard, J., & Roger, G. (1982). Experimental test of Bell’s inequalities using time-varying analyzers. Physical Review Letters, 49(25), 1804–1807. [CrossRef]
- Bell, J. S. (1964). On the Einstein Podolsky Rosen paradox. Physics, 1(3), 195–200. [CrossRef]
- Bouwmeester, D., et al. (1997). Experimental quantum teleportation. Nature, 390, 575–579. [CrossRef]
- Canetti, L., Drewes, M., & Shaposhnikov, M. (2012). Matter and antimatter in the universe. New Journal of Physics, 14, 095012. [CrossRef]
- Dyson, F. W., Eddington, A. S., & Davidson, C. (1920). A determination of the deflection of light by the sun’s gravitational field, from observations made at the total eclipse of May 29, 1919. Philosophical Transactions of the Royal Society A, 220, 291–333. [CrossRef]
- Einstein, A. (1905a). Über einen die Erzeugung und Verwandlung des Lichtes betreffenden heuristischen Gesichtspunkt. Annalen der Physik, 322(6), 132–148. [CrossRef]
- Einstein, A. (1905b). Zur Elektrodynamik bewegter Körper. Annalen der Physik, 322(10), 891–921. [CrossRef]
- Einstein, A. (1905c). Ist die Trägheit eines Körpers von seinem Energieinhalt abhängig? Annalen der Physik, 323(13), 639–641. [CrossRef]
- Einstein, A. (1916). Die Grundlage der allgemeinen Relativitätstheorie. Annalen der Physik, 354(7), 769–822. [CrossRef]
- Einstein, A., Podolsky, B., & Rosen, N. (1935). Can quantum-mechanical description of physical reality be considered complete? Physical Review, 47(10), 777–780. [CrossRef]
- Freedman, S. J., & Clauser, J. F. (1972). Experimental test of local hidden-variable theories. Physical Review Letters, 28(14), 938–941. [CrossRef]
- Gersten, A. (2003). Euclidean special relativity. Foundations of Physics, 33(8), 1237–1251. [CrossRef]
- Guth, A. H. (1997). The inflationary universe. Perseus Books.
- Hafele, J. C., & Keating, R. E. (1972). Around-the-world atomic clocks: Predicted relativistic time gains. Science, 177, 166–168. [CrossRef]
- Heisenberg, W. (1969). Der Teil und das Ganze. Piper.
- Hubble, E. (1929). A relation between distance and radial velocity among extra-galactic nebulae. Proceedings of the National Academy of Sciences of the United States of America, 15(3), 168–173. [CrossRef]
- Jönsson, C. (1961). Elektroneninterferenzen an mehreren künstlich hergestellten Feinspalten. Zeitschrift für Physik, 161, 454–474. [CrossRef]
- Kant, I. (1781). Kritik der reinen Vernunft. Hartknoch.
- Lemaître, G. (1927). Un univers homogène de masse constante et de rayon croissant, rendant compte de la vitesse radiale des nébuleuses extra-galactiques. Annales de la Société Scientifique de Bruxelles A, 47, 49–59.
- Linde, A. (1990). Inflation and quantum cosmology. Academic Press.
- Minkowski, H. (1910). Die Grundgleichungen für die elektromagnetischen Vorgänge in bewegten Körpern. Mathematische Annalen, 68, 472–525. [CrossRef]
- Montanus, J. M. C. (1991). Special relativity in an absolute Euclidean space-time. Physics Essays, 4(3), 350–356.
- Montanus, J. M. C. (2001). Proper-time formulation of relativistic dynamics. Foundations of Physics, 31(9), 1357–1400. [CrossRef]
- Montanus, H. (2023, September 23). Proper Time as Fourth Coordinate. ISBN 978-90-829889-4-9. Retrieved January 10, 2024, from https://greenbluemath.nl/proper-time-as-fourth-coordinate/.
- Newburgh, R. G., & Phipps Jr., T. E. (1969). A space–proper time formulation of relativistic geometry. Physical Sciences Research Papers (United States Air Force), no. 401.
- Newton, I. (1687). Philosophiae naturalis principia mathematica. Joseph Streater.
- Penzias, A. A., & Wilson, R. W. (1965). A measurement of excess antenna temperature at 4080 Mc/s. The Astrophysical Journal, 142, 419–421. [CrossRef]
- Perlmutter, S., et al. (1998). Measurements of Ω and Λ from 42 high-redshift supernovae. arXiv:astro-ph/9812133. [CrossRef]
- Popper, K. (1935). Logik der Forschung. Julius Springer.
- Riess, A. G., et al. (1998). Observational evidence from supernovae for an accelerating universe and a cosmological constant. The Astronomical Journal, 116(3), 1009–1038. [CrossRef]
- Riess, A. G., et al. (2018). Milky Way Cepheid standards for measuring cosmic distances and application to Gaia DR2. The Astrophysical Journal, 861(2), 126. [CrossRef]
- Rossi, B., & Hall, D. B. (1941). Variation of the rate of decay of mesotrons with momentum. Physical Review, 59(3), 223–228. [CrossRef]
- Ryder, L. H. (1985). Quantum field theory. Cambridge University Press.
- Schrödinger, E. (1935). Die gegenwärtige Situation in der Quantenmechanik. Naturwissenschaften, 23, 807–812. [CrossRef]
- The Nobel Foundation (2011). The Nobel Prize in Physics 2011. Retrieved January 10, 2024, from https://www.nobelprize.org/prizes/physics/2011/summary/.
- van Linden, R. (2023). Euclidean relativity. Retrieved January 10, 2024, from https://euclideanrelativity.com.
- Weyl, H. (1928). Gruppentheorie und Quantenmechanik. Hirzel.
- Wick, G. C. (1954). Properties of Bethe-Salpeter wave functions. Physical Review, 96(4), 1124–1134. [CrossRef]









Disclaimer/Publisher’s Note: The statements, opinions and data contained in all publications are solely those of the individual author(s) and contributor(s) and not of MDPI and/or the editor(s). MDPI and/or the editor(s) disclaim responsibility for any injury to people or property resulting from any ideas, methods, instructions or products referred to in the content. |
© 2024 by the authors. Licensee MDPI, Basel, Switzerland. This article is an open access article distributed under the terms and conditions of the Creative Commons Attribution (CC BY) license (http://creativecommons.org/licenses/by/4.0/).