Preprint
Article

This version is not peer-reviewed.

Co-application of Biochar-Compost and Inorganic Nitrogen Fertilizer Affects the Growth and Nitrogen Uptake by Lowland Rice in Northern Ghana

A peer-reviewed article of this preprint also exists.

Submitted:

18 April 2022

Posted:

20 April 2022

Read the latest preprint version here

Abstract
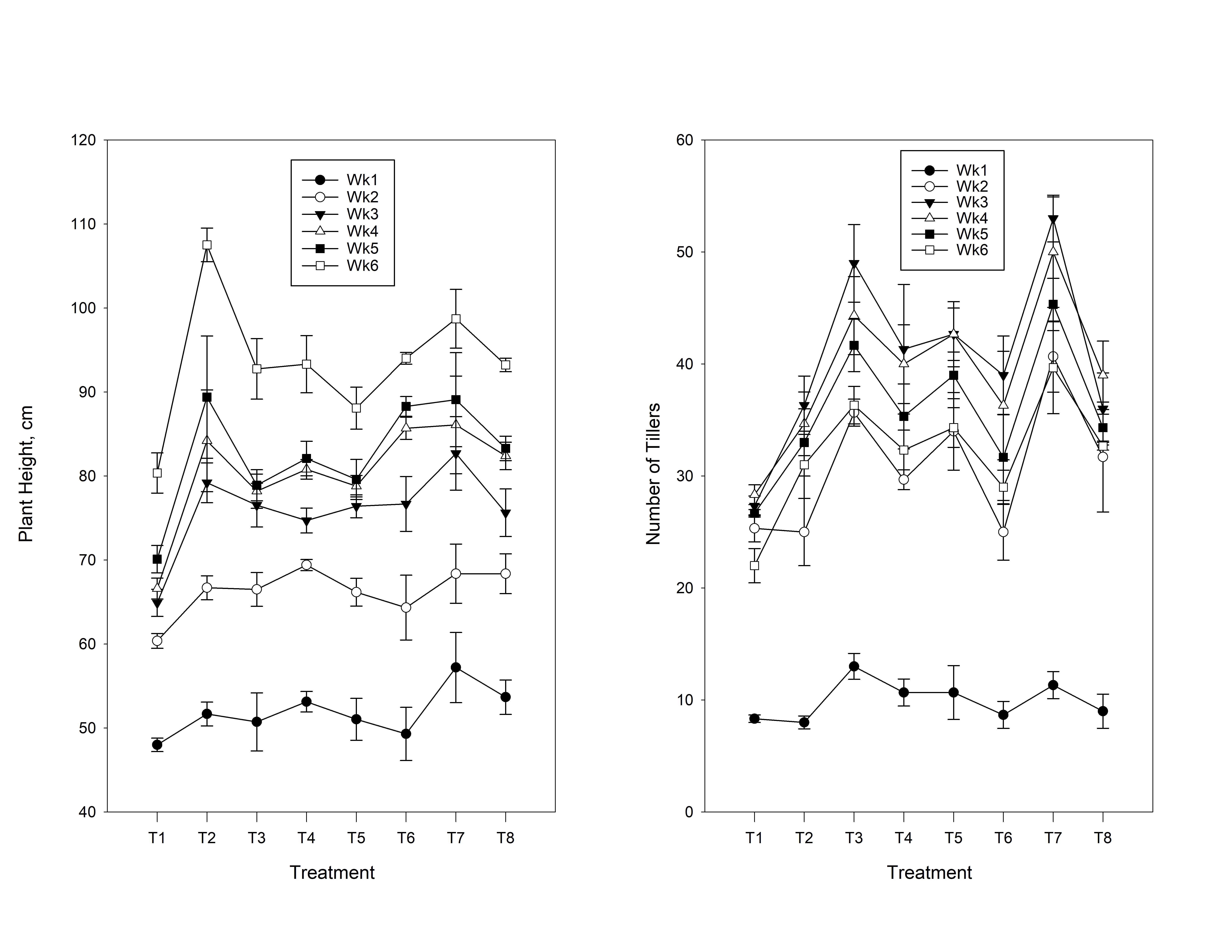
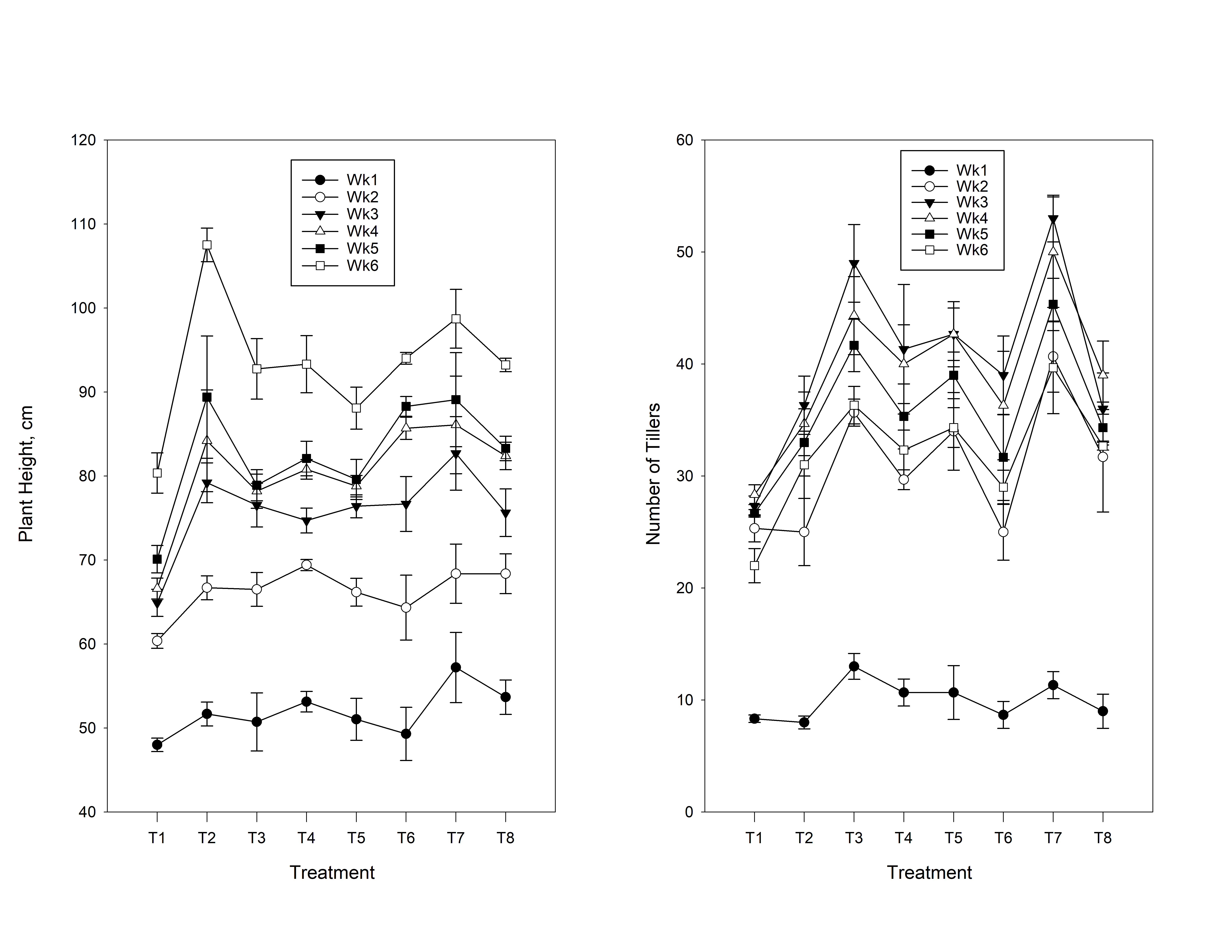
Inherent low soil fertility status limits productivity of rice in the lowland ecologies in Northern Ghana. Combining organic and inorganic N fertilizers could help to maintain the fertility of lowland soils for rice production. A screen house pot experiment was carried out to investigate the combined effect of biochar-compost and inorganic N fertilizer on the nitrogen uptake and agronomic performance of rice plants grown on Eutric Gleysol lowland soil. Inorganic N fertilizer alone and its combinations with different types of biochar-compost (based on the proportions of biochar and compost) were used as treatment. A control (unamended soil) was also included. The incorporation of biochar-compost and inorganic N fertilizer improved the growth parameters and yield components of rice plants. The combination of biochar-compost and inorganic nitrogen fertilizer was also found to improve nitrogen uptake and nutrient use efficiency (NUE) in rice plants. This practice could be the most likely viable option for alleviating lowlands soil fertility issues and increasing rice productivity in Northern Ghana.
Keywords: 
;  ;  ;  ;  
Copyright: This open access article is published under a Creative Commons CC BY 4.0 license, which permit the free download, distribution, and reuse, provided that the author and preprint are cited in any reuse.
Prerpints.org logo

Preprints.org is a free preprint server supported by MDPI in Basel, Switzerland.

Subscribe

Disclaimer

Terms of Use

Privacy Policy

Privacy Settings

© 2025 MDPI (Basel, Switzerland) unless otherwise stated