Submitted:
28 July 2024
Posted:
30 July 2024
Read the latest preprint version here
Abstract
Keywords:
1. Introduction
2. Meta-Problems
2.1. What Is “Information
“(Philosophical encyclopedia) “Information (lat. “informatio”—an examination, a notion, a concept): 1) a report, a notification about a state of affairs or about something else that is transmitted by a person; 2) decreased, removed uncertainty as a result of the communication obtained; 3) a notation inherently relating to a control; signals and their syntactic, semantic and pragmatic parameters; 4) transmission, reflection of the variety of any objects and processes (of alive and non-alive nature)”; i.e., briefly “information is some data”. That is evident tautology, however this tautology is inevitable in mainstream philosophy and science, since really the Information is absolutely fundamental and common phenomenon/notion, and so principally cannot be defined through some more common notions.
“Information is something that is constructed in accordance with the set/system of absolutely fundamental Rules, Possibilities, Quantities, etc. — the set/system “Logos” in the concept”.
Or, by other words, the “Logos” set elements “make something to be information”.
2.2. Some the “Logos” Set Elements as Fundamental Physical Problems
2.2.1. What Is Logos Quantity “Energy”
- -
- Energy is the “Logos” set element [3,5], which is absolutely fundamentally necessary for to change, including, of course, to create, of any/every informational pattern/system. That is because of the fundamental logical self-inconsistence of the other absolutely fundamental [also an element of the “Logos” set] phenomenon/notion “Change”:
- -
- at every change of something its state is simultaneously former, recent, and future states, when all the states are different by definition. That is logical nonsense.
2.2.2. Why in Matter Quantum Effects Exist at All
2.2.3. Why Does the QM Postulate Exist that All Given Type Particles Are Identical, and Why Is It Adequate to the Reality
- -
- this QM postulate is adequate to the reality because all given type particles are copies of the corresponding unique informational patterns, that is a typical situation in Information.
- -
- That above in this section is essentially the answer on the fundamental problem:
2.2.4. What Is Physical Parameter “Energy”
- -
- however that clear physically answer remains to be incomplete “metaphysically”, Energy remains to be a mysterious element of “Logos” set. Unlike other “Logos” elements, which rather clearly relate to the main trait of Information “is a data”, when the necessity of Energy in concrete informational system “Matter” is clear—see above, however it remains, including in Matter case, now completely mysterious—so from where and how some energy appears to create or to change something? Nonetheless, besides the above (for which Energy is necessary), now it is also understandable that Energy is rather “dull” Quantity, and the changes in informational patterns/systems are eventually determined by concrete information of concrete changing/creating patterns/systems.
- -
- and, if we don’t address to the question “from where and how energy in Matter appeared at Matter’s appearance”, this problem isn’t actual because of the energy conservation law, at Matter’s constant evolution only redistribution of the primary energy portion proceeds.
2.2.5. ”What Is “Inertia
2.2.6. What Are “Space” and “Time”
- -
- “Space” is necessary for any information could exist at all, and
- -
- “Time”, additionally to Space, is necessary for some informational pattern/system could be dynamic, i.e., could change.
- -
- and the concrete patterns/systems, including Matter and consciousness, simply use the fundamentally always existent concrete spatial dimensions from the at least “simply” infinite “number” of spatial dimensions of the Set’s whole Spacetime in concrete actualization of current state of concrete pattern/system. As that is, for example, for Matter and humans in this concrete actualization of Universe evolution.
“…Absolute, true and mathematical time, of itself, and from its own nature flows equably without regard to anything external, and by another name is called duration ….”
- -
- at that for Newton, correspondingly, clocks show the time flow independently on time and only because of they also tick equally equably,
- -
- and this definition, however with the two relativistic modifications, remains in physics till now. According to special relativity postulates time (i)—not only always flows equably, this flow depends on motion, and, whereas in stationary inertial reference frame time flows in accordance with Newton’s definition, in moving frames its flow becomes be “dilated”, and (ii)—time governs material bodies, including clocks, and so “time is what clocks read”, and clocks show in stationary frames “Newton’s” flow, and in moving frames—the dilated flow. Besides this time flow is observed in physics as an “arrow of time” [19].
2.3. What Are “Matter” and “Consciousness”
- -
- materialists truly believe in some transcendent “Matter”, which for some transcendent reasons, and by some transcendent way, exists eternally; and is, as that follows from the observations, again for some for some transcendent reasons, and by some transcendent way, some evidently well logically organized system;
- -
- idealists truly believe in some transcendent “Idea” (“Spirit”, “Consciousness”, etc.) which for some transcendent reasons, and by some transcendent way, exists eternally; though in this doctrine the fact that everything looks as evidently logically organized system follows from that is result of action of “conscious” “Idea”, etc.,—though it is evidently in this case necessary to define—what is “conscious”, what is again fundamentally impossible in the both doctrines; and so the transcendence of Idealism really isn’t much lesser than of Materialism
- -
- whereas Consciousness is fundamentally open in the Set system, and, as that is one of the utmost specific properties of just any consciousness in the Set, is that consciousness principally is able to obtain and logically analyze any information in the “Information” Set; at that, however, because of consciousness has fundamentally limited capabilities at obtaining and processing of the principally infinite in this case information, every result of the processing is always at least partially uncertain;
- -
- and, at that, if a consciousness obtains some information, about which she hasn’t some earlier information, the consciousness assigns to this information the label “this information is non-understandable”, and further, if that is necessary, or that is interesting [“Curiosity” is another utmost just specific property/ resident utility in the “shell” of any consciousness], studies the Set’s element, from which this information is obtained—“no understanding” state also is just fundamental specific state of any consciousness.
- -
- whereas any Consciousness version is “whole” computer, i.e., her hardware and program shell contain some “BIOS”, “processor”, “random access memory”, and some specific utilities that organize work of the whole consciousness’ s functional modules.
- -
- there is nothing surprising in that one informational system, which is able to obtain from, and logically analyze information about, other informational system, makes that correctly, and sometimes incorrectly—that principally doesn’t differ from the case when a human decodes information that was created by other human, e.g., when some linguists decode hieroglyphs that were written on some non-existent now languages.
2.4. What Is “Life”
- -
- however these systems are fundamentally different since are based on fundamentally different sets of the basic laws/links/constants; and so, though in Matter all/every elements, e.g., every electron, know physics absolutely completely, what any human never will do, however, at that, all/any material objects/structures fundamentally don’t know—and fundamentally aren’t able to know—anything else, thus everything in Matter fundamentally isn’t, and never can be, “conscious”.
- -
- and all that happens without any dependence on whether an “observer” exists or not at all; including the collapse of Schrödinger cat wave function would happen without any relation—some observer opens or not the box.
- -
- than at least in some cases, some of such systems could exist for a long time enough, enforcing their abilities at providing self-stability and abilities to obtain and analyze the information in the Set—and so being more and more stable in the Set; seeking for next and next energy sources for more and more “conscious” operating; and, eventually, when some consciousnesses at studying of what happens in the Set have understood what the absolutely fundamental phenomenon “Energy is, such consciousnesses become to be able to create rather arbitrary informational patterns/systems in the Set. Rather probably the “consciousness on Earth” is till now in some initial position on this way.
3. General Fundamental Problems
3.1. What Is Matter’s Logical Base
- -
- in accordance with the outstanding von Weizsäcker’s 1953-54 year “Ur-hypothesis” [20,21] that if Matter is based on fundamental depth on a binary logics, then the space should be 3D, and Matter’s spacetime indeed has 3 space dimensions. That was, on one hand, the outstanding hypothesis that explains why Matter’s space is 3D, and, on the other hand, the fact that the space is indeed 3D is the mighty evidence for that the hypothesis can be correct, and
- -
- in accordance with the outstanding Fredkin-Toffli’s finding [22], who showed that if some patterns in a system are based on a reversible logic, the system changes at interactions in it without energy dissipation outside the system. In this case Matter would dissipate energy somewhere in the Set; thus seems thrifty Matter’s Creator used this fact; so Matter is based on a reversible logic, and so in Matter the energy conservation law acts.
3.2. Is Matter’s Spacetime Absolute or Not
“… Again, it would be necessary to have an ether in order that so-called absolute movements should not be their displacements with respect to empty space, but with respect to something concrete. Will this ever be accomplished? I don’t think so and I shall explain why; and yet, it is not absurd, for others have entertained this view… I think that such a hope is illusory; it was none the less interesting to show that a success of this kind would, in certain sense, open to us a new world…”
3.3. An “Ether” May or Not Exist in Matter
3.4. What Is “a Particle”
4. Few Notes Relating to Other Fundamental Problems
4.1. Problems That Are Considered in Detail in [5a]
4.2. What Are Antiparticles
4.3. What Is the “Feynman–Stueckelberg Interpretation”
5. Cosmology
5.1. The “Beginning Problem”
“…. As the Big Bang theory goes, somewhere around 13.8 billion years ago the universe exploded into being, as an infinitely small, compact fireball of matter that cooled as it expanded, triggering reactions that cooked up the first stars and galaxies, and all the forms of matter that we see (and are) today.….”
- -
- in spite of that the existent physics principally is not applicable to this “infinitely small, compact fireball of matter”, etc., and so principally isn’t able to rationally suggest—which, why and how some reactions cooked up the first stars and galaxies.
“…more explosive phase of the early universe at play: cosmic inflation, which lasted less than a trillionth of a second. During this period, matter — a cold, homogeneous goop — inflated exponentially quickly before processes of the Big Bang took over to more slowly expand and diversify the infant universe. …”
- -
- existent physics knows absolutely nothing about what was this “cold, homogeneous goop”; why “it inflated exponentially quickly before next processes of the Big Bang”, by what reason this “inflation” stopped; and further by what reason and how that “took over to more slowly expand and diversify the infant universe”, etc.
- -
- starting from the “space inflation” state/epoch [41,42], when the space, in the standard model for unknown reasons, and by some transcendent way, appeared at Matter’s creation, and exponentially expanded, and that happened at some relaxation of some completely unknown in physics “inflaton” field’s singularity, because of “a repulsive gravitational force” (?) [40]. However, the “inflation hypothesis”, in spite of these rather questionable points, seems adequately to the reality phenomenologically describes the observed uniformity of matter density and of the material objects nomenclature on cosmological distances; the nucleosynthesis, etc.
- -
- which [the infinite spacetime] “automatically”, i.e., by definition of the absolutely fundamental phenomena “Space” and “Time”—see section 2.2.6. above, appeared at the creation yet of the “primary FLE”. Note, though, that this spacetime always, including before Creation, existed in the Set, which exists absolutely fundamentally always, i.e., without Beginning and End, as a sub-spacetime of the Set’s whole spacetime. The FLE lattice was cold;
- -
- on the second step, the energy portion with cτ-directed momentums was globally uniformly pumped in this FLE-lattice, and there the completely symmetrical primary T-particles were globally uniformly created. It seems as rather probable that the energy was spent only on the particles creation, and so the “primary T-particles” matter in Matter was probably rather cold again.
5.2. Why Matter Now Practically Does Not Contain Antimatter,
5.3. What Is the “Dark Matter”
5.4. What Is the “Dark Energy”
5.5. A General Note to the Section 5.1.–5.4.
6. Mediation of the Fundamental Forces in Complex Systems
6.1. Fundamental Nature Forces and Charges
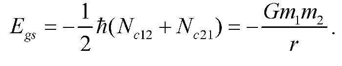
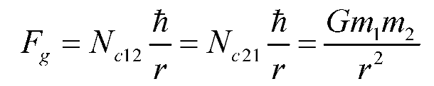
6.2. Gravity Force
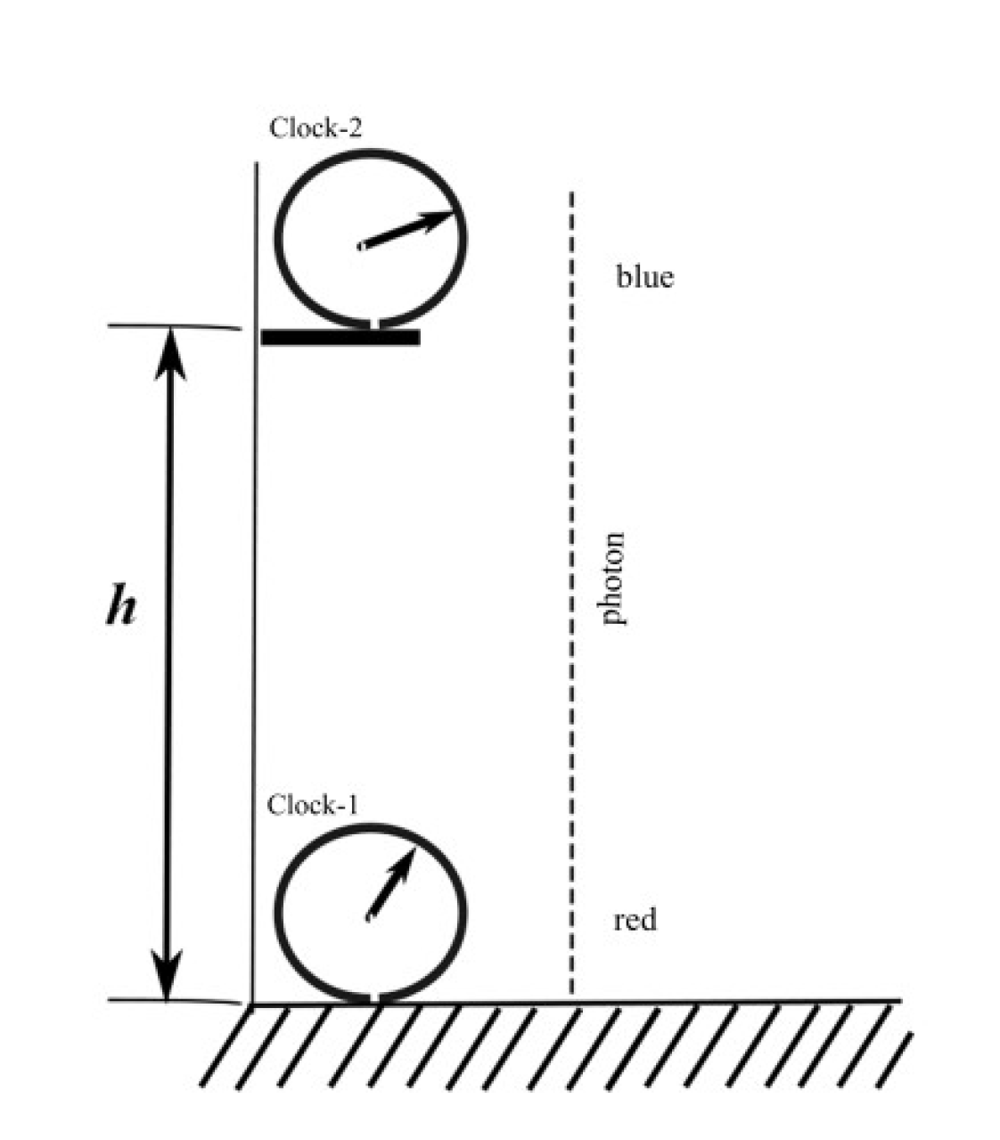
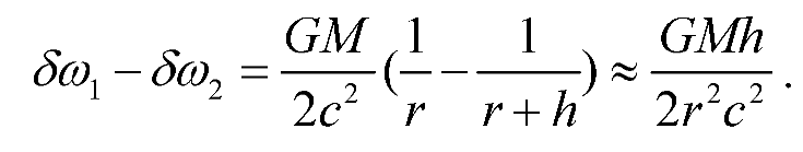
6.2.1. Initial Model of Gravity Force, Statics
- -
- it is necessary to synchronize two clocks, let on the ground floor;
- -
- to lift slowly or with known speed one clock on a height 400-500 m;
- -
- to wait a few hours;
- -
- to return the upper clock to the other on the ground floor and to compare the clocks’ elapsed time showings.
6.2.2. Quantum Gravity
6.2.3. Initial Model of Gravity Force, Stationary Field, Free Fall
“…. the source of gravitational energy is the rest mass energy of the particle ‒ not the curvature of spacetime…..Gravitational force converts gravitational potential energy (rest mass energy or structural energy) into kinetic energy when a particle falls and vice versa when a particle rises…”,
6.2.4. The Case of Small r
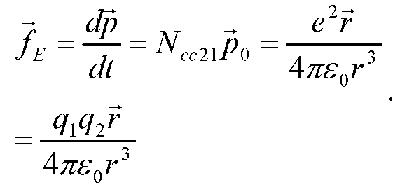
6.3. Electric Force
6.3.1. Initial Model of Electric Force, Statics
- -
- if the particles have opposite charges and so the resulting system has negative mass defect, then there exist the “electrical mass defect”, and so real the slowing of internal processes in tied electrical structures, e.g.,—in the atoms. For example, in the (μ− + proton) “Hydrogen atom” muon should live longer than in free state and this dilation should be essential (detectable?) if a muon is on K-shell of, e.g., Uranium. Though, of course, since the muon in this case more time is inside the Uranium nucleus and so here some other forces, besides the EM, can act on the muon, it seems as very unlike, that a corresponding experiment would be informative; and
- -
- all what is true in Gravity model, first of all that circular photons aren’t particles, and so don’t carry some energy, is true in the Electric Force case. However, unlike Gravity, in this case we cannot for sure suggest that at the slowing down of the internal processes in electrically coupled charged particles the electric charge decreases, in classical electrodynamics it is postulated that the electric charge is constant; this point should be clarified at further development of this model.
6.3.2. Strengths of Gravity and Electric Forces
6.3.3. A Few Notes Else to the Initial Electric Force Model
6.3.3.1. The Problem of Multiple Events at Interactions of Circular Photons in Irradiated Particle
6.3.3.2. Electric Force of Charges at Motion
6.4. Section 6.2. and 6.3. Summary
6.5. Nuclear Force
6.5.1. Initial Model of Nuclear Force
- -
- squared energy equation of a free particle that has a rest mass, m, and moves in 3D space with 3D momentum p is
- -
- the corresponding Klein-Gordon equation for the potential of the meson field, φ, is
6.5.2. Discussion and Conclusion
- -
- the Forces charges are Forces-specific sequences of Forces-marked FLEs in the particles’ algorithms, the strengths of the interactions are determined, besides, by the frequency the algorithms tick with which,
- -
- these FLE-sequences cause the propagating in the Matter’s ultimate base ‒ “everyferous aether”—the (at least) [4+3+1]D dense FLE lattice that is placed in the corresponding Matter’s fundamentally absolute, fundamentally continuous, fundamentally flat, and at least [4+3+1]4D Cartesian, spacetime with the metrics (cτ, X, Y, Z, g, e, sn, ct), “g” and “e” are Gravity and Electric Forces dimensions, “sn” is the nuclear force dimension, of rims of flipping Forces-marked the lattice’s FLEs, which propagate in the lattice, so in the space, with the speed of light; and at interactions with particles’ flipping marked by the same Force marked FLE, cause a change of the “kinematical” precession angle, so that the article “works out” for itself the fundamentally universal for all, Forces elementary 4D “kinematical” momentum so, that, if the “irradiated” particle is at rest in the 3D X,Y,Z space, this momentum is ± directed to the “radiating Force rims” particle. If the “irradiated” particle is free, it starts to move/accelerates in ± direction to the radiating particle. Correspondingly the Forces particles charges are rather similar:
- -
- Gravity charge, is Planck mass, m is the particle mass,
- -
- Electric charge,
- -
- Nuclear charge .
7. Conclusion [see also Section 5.5., 6.4. and 6.5.2.]
- -
- besides in the Model, the version of CPT theorem allows to obtain rather questionable results, such as the solutions [53,54] of the section 5.2 [matter-antimatter asymmetry] problem; where at Beginning both “Matter” and “AntiMatter” appeared, and, in accordance with the CPT theorem, they then immediately turned out to be divided in “spacetime” and in “antispacetime” (?!) ‒ and just so Matter does not contain antimatter now. Such solutions, which are in accordance with the CPT theorem look as rather strange, hence this this theorem must be reformulated as well. Note, though, that really “CPT theorem”, if “T” means real time, looks as rather strange physical construction, there fundamentally cannot be any time inversion.
- -
- the observation of the absolute motion and measurement of the absolute velocity of the peculiar motion of the Solar system [8,9]; though it would be not too surprising, if the measured absolute velocity will be the same as which follows from the CMB dipole measurement, because from this model of Matter’s creation in section 5 it follows that Sun—as any other macro object in Matter’s space—is in essentially a cold the space region, and so hasn’t some exotic absolute speed. Note, though, that there exist other estimations of the velocity at observations of quasars, distant AGNs or SNe Ia, which results in the velocity values that are essentially larger than the CMB dipole value [51]; and so this experiment’s results would be useful at solution of this puzzle as well;
- -
- -
- though not really fundamental, but important, simple and cheap, experiment in a high building, which, rather probably, will show that the GR postulate that photons at motion do not change their energy in gravitational fields between points that have different potentials, is wrong while this model is correct;
- -
- should be made as soon as possible.
Appendix A. Brief comments to the published fundamental physical problems list in
- -
- that is indeed rather representative list of fundamental physical problems, and so it is worthwhile to comment this list basing on this informational physical model.
- -
- - this problem really is outside physics, more see in the main text.
- -
- this problem really is outside physics, more see in the main text.
- -
- this problem is essentially clarified, and corresponding experiments are suggested, see the main text, section 6.
- -
- no comments, besides that the problem looks as inessential, and so isn’t fundamental.
- -
- no comments, besides that the problem looks as in better case inessential, and so isn’t fundamental.
- -
- this problem is essentially clarified, see the main text, section 5.
- -
- this problem is rather possibly principally solved, see the main text, section 5.
- -
- this problem is possibly rationally elaborated, see the main text, section 5.
- -
- (general comment to whole section) that really can happen after corresponding properties and parameters of FLE will be really studied, however that will be not “beyond the Standard Model of particle physics” bur that will be simply the scientifically correct Standard Model of particle physics
- -
- this problem is outside physics, properties of particles, including masses, fundamental Nature forces, etc., is determined by Matter’s design, which is beyond physics. Though the problem how that is in Matter is as it is can be, in principle, clarified to certain extent after more information about properties and parameters of FLE will be obtained in experiments
- -
- inertial mass is actualization of the logical resistance of informational patterns/systems to changes, more see the main text, section 2.2.1. Origin of concrete masses of concrete particles is outside physics, that is specially designed. See also comment to 3.1.
- -
- these problems really do not exist in physics, see. comments to 3.1., 3.2.
- -
- with a rather large probability the “grand unification” problem does not exist as a physical problem, and the fundamental Nature forces are practically independent of each other—since are different, first of all, functionally. Though, at high energies the running of particles’ algorithms are essentially deformed, so in such cases an interference of the Forces is possible. More see in the main text and [5a] and comments to sections 3.1., 3.2. here.
- -
- the Lorentz transformations are completely valid on macro scale, where the transformations link macro objects “inertial reference frames” and the Voigt-Lorentz decrement can be formed; while they are completely valid only if the macro system of a frame instruments and studied bodies are rigid and all composes rigid systems. If that is not so, application of the transformations is limited, more see [5a]. section “Lorentz transformations”. The transformations are valid only in such case; some “violations” happen at application to free bodies systems. “CPT invariance” problem can be rationally considered only after in physics the phenomena/notions/dimensions/variables “space” and “time” will be correctly defined, more see main text, section 7.
- -
- these problems, as that are formulated in the Standard Model, rather, if very, probably really do not exist in physics.
- -
- no comments
- -
- no comments
- -
- no comments, besides that in high energy experiments can be a lot of close-loop disturbances in the FLE lattice created, which can live at least one cycle, i.e., would be “particles”, in this there is no principal problems, however discovering and measurement of the parameters of new particles would be useful at solution of utmost fundamental physical problem—reconstruction of the FLE logical structure.
- -
- no comments.
- -
- Matter’s utmost fundamental and universal “kinematical” spacetime is the fundamentally absolute, fundamentally flat, and fundamentally Cartesian, [5]4D spacetime with the utmost fundamental and universal metrics (cτ, X, Y, Z, ct), where the dimensions relate to corresponding degrees of freedom at FLE states changes. In principle a number of dimensions could be essentially more, if some dimensions that relate to other than the utmost fundamental and universal degreases of freedom above exist. The example of additional dimensions that relate to fundamental Gravity and Electric forces see main text, section 6. Other than Euclidian flat spacetime “topologies” cannot be adequate to the reality. However, solving of the topology of the FLE lattice and Matter global distribution aimed at solution seems the main cosmological problem “why cosmological principle is as it is?” should have utmost priority in cosmology.
- -
- “Multiverse”, as it was firstly introduced in physics as a version of quantum mechanics interpretations, really is an unphysical transcendent phenomenon, at least for the energy reason. Even to create the observed one Matter it was necessary to spend a practically unbelievable portion of energy, to create infinite “number” of Matters in a “multiverse” would need spending an infinitely unbelievable portion. “Anthropic principle” has no physical sense, even if that would be a rational—though essentially vague—principle outside physics.
- -
- Matter, and the Matter’s spacetime, indeed exist as a part of the “external” spacetime of the absolutely fundamental and absolutely infinite “Information” Set, which—the Set’s spacetime—has at least infinite “number” of space dimensions and, fundamentally one, “true time” dimension. However now humans know almost nothing about the Set’s content and corresponding external spacetime, besides that the Set’s spacetime practically for sure is composed in accordance with the common definitions of the “Logos” elements “Space” and “Time”, more see in the main text, section 2.
- -
- What is the origin of universe, see the main text, section 5, including that this problem, and the problem of the fate are fundamentally outside physics.
- -
- relating to Lorentz invariance see the main text and [5a]. The problem of “Einstein gravity” is really outside physics, since really such “gravity” doesn’t exist, though some points in general relativity formalism rather probably could be taken into account at development of the real theory of the fundamental Nature force “Gravity”, more see main text, section 6.
- -
- see the main text, section 2.2.1.
- -
- Matter is a rather simple informational system based on a simple binary reversible logic, and a rather small set of universal fundamental laws/links/constants, and where exchange by information happens as exchange by fundamentally exclusively true and complete information. Such system is so can be, and so is, effectively described by mathematics, and mathematics is indeed an extremely effective tool. But hardly more than a tool, mathematics and physics are fundamentally different sciences.
- -
- see the main text, section 2.3.
- -
- no comments.
- -
- see the main text, sections 2.3., 2.4.
- -
- see comment to 7.1.
- -
- to answer to this question there is no any reliable information now; and that seems rather possibly isn’t too actual now. Though will be actual later, however the problem “what is the optimal place and role of life on Earth, first of all—“homo sapiens sapiens” species now, and possible this species mutations in future, in the “Information” Set?” is the real, and really is utmost fundamental and actual problem in all sciences; more see [3a], section “Discussion and conclusion”.
- -
- life does not solve this problem as a critical fundamental task, more see in the main text and [3a].
- -
- that is not a fundamentally irresolvable problem in most cases.
- -
- see the main text, sections 2.3. and 2.4.“
- -
- see the main text and https://arxiv.org/abs/0707.4657 v5.
References
- Shevchenko, S.V.; Tokarevsky, V.V. The Information and the Matter. e-print arXiv: physics/0703043v5, 2007-2008.
- Shevchenko, S.V.; Tokarevsky, V.V. Inform Physics do is possible? Poster report on the conference XIXèmes Rencontres de Blois Matter and Energy in the Universe. Blois, Loire Valley, France May 20th – May 26th, 2007 http://confs.obspm.fr/Blois2007/AllAbstracts.html.
- Shevchenko, S.V.; Tokarevsky, V.V. The information as Absolute. e-prints arXiv:1004.3712v2 , http://viXra.org/abs/1402.0173 , https://www.researchgate.net/publication/260930711_the_Information_as_Absolute 2010-2017. 3a. Shevchenko, S.V.; Tokarevsky, V.V. “The Information as Absolute” - 2022 ed. e-print https://hal.archives-ouvertes.fr/hal-03812066 , 2022. [CrossRef]
- Shevchenko, S.V.; Tokarevsky, V.V. The informational physics indeed can help to understand Nature? e-print http://arxiv.org/abs/0812.2819, 2008 – 2010.
- Shevchenko, S.V.; Tokarevsky, V.V. The Informational Conception and Basic Physics. v1-v4 e-prints arXiv:0707.4657v4 , http://viXra.org/abs/1503.0077 , https://www.researchgate.net/publication/273777630_The_Informational_Conception_and_Basic_Physics , 2012-2015. 5a. Shevchenko, S.V.; Tokarevsky, V.V. The Informational Conception and Basic Physics. e-print arXiv:0707.4657v5 , 2021. [CrossRef]
- Shevchenko, S.V.; Tokarevsky, V.V. The informational model - possible tests. e-print http://arxiv.org/abs/0706.3979, 2011.
- Shevchenko, S.V.; Tokarevsky, V.V. Space and Time. e-print http://arxiv.org/abs/1110.0003, 2013.
- Shevchenko, S.V.; Tokarevsky, V.V. To measure the absolute speed is possible? e-print https://www.researchgate.net/publication/259463954_To_measure_the_absolute_speed_is_possible, 2013. [CrossRef]
- Shevchenko, S.V.; Tokarevsky, V.V. Measurement of the absolute speed is possible?, 2016. [CrossRef]
- Shevchenko, S.V.; Tokarevsky, V.V. The informational model – gravity. e-print http://vixra.org/abs/1409.0031, 2016. [CrossRef]
- Shevchenko, S.V.; Tokarevsky, V.V. The notion “speed” and the Lorentz transformations. e-print https://www.researchgate.net/publication/317067896_The_notion_speed_and_the_Lorentz_transformations, 2017. [CrossRef]
- Shevchenko, S.V.; Tokarevsky, V.V. About some conventions in mechanics. e-print https://www.researchgate.net/publication/317620440_About_some_conventions_in_mechanics, http://vixra.org/abs/1712.0673, 2017. [CrossRef]
- Shevchenko, S.V.; Tokarevsky, V.V. The informational model: twin paradox. e-print https://www.researchgate.net/publication/322798185_The_informational_model_twin_paradox, 2018. [CrossRef]
- Shevchenko, S.V.; Tokarevsky, V.V. The “Information as Absolute” conception: the consciousness. e-print https://www.researchgate.net/publication/329539892_The_Information_as_Absolute_conception_the_consciousness. 2018. [CrossRef]
- Shevchenko, S.V.; Tokarevsky, V.V. The Information as Absolute” conception: Marxism and “now”. e-print https://www.researchgate.net/publication/321757886_The_Information_as_Absolute_conception_Marxism_and_now. 2018. [CrossRef]
- Duff, M.J. Top ten problems in fundamental physics. International Journal of Modern Physics A 2001, 16, 1012–1013. [Google Scholar] [CrossRef]
- Roland E., A.; Lidström, S. Life, the universe, and everything – 42 fundamental Questions. e-print https://arxiv.org/abs/1804.08730, 2018.
- Newton, I. Philosophiae Naturalis Principia Mathematica. 1686. In Newton’s Principia : the mathematical principles of natural philosophy https://archive.org/stream/newtonspmathema00newtrich#page/n349/mode/2up.
- Eddington, A. S. The Nature of physical World. Cambridge at the university press, 1948.
- Von Weizsäcker, C.F. Eine Frage Über die Rolle der quadratischen Metrik in der Physik. Zeitschrift für Naturforschung A 1952, 7, 141. [Google Scholar] [CrossRef]
- Von Weizsäcker, C.F. Komplementarität und Logik. Die Naturwissenschaften 1955, 42, 521–529. [Google Scholar] [CrossRef]
- Fredkin, E. Digital Philosophy. http://www.digitalphilosophy.org/digital_philosophy/toc. 2000. [Google Scholar]
- Poincaré, H. Science and Hypothesis. New York: the Walter Scott publ. 1905, 171.
- Einstein, A. Zur Elektrodynamik bewegter Körper. Ann. Phys. 1905, 322, 891–921. [Google Scholar] [CrossRef]
- Dingle, H. The Case against Special Relativity. Nature 1967, 216, 119–122. [Google Scholar] [CrossRef]
- De Broglie, L. Recherches sur la th’eorie des quanta, R´eedition du texte . 1924, Masson &Cie, Paris 1963.
- Asif, M. M. Khan S. Zitterbewegung, internal momentum and spin of the circular travelling wave electromagnetic electron. e-print https://arxiv.org/abs/1602.07534 2016.
- FitzGerald, G. F. The Ether and the Earth’s Atmosphere. Science 1889, 13, 51. [Google Scholar]
- Minkowski, H. Space and Time. In The Principle of Relativity: A Collection of Original Memoirs on the Special and General Theory of Relativity; Lorentz, Hendrik A., Albert Einstein, Hermann Minkowski, and HermannWeyl, Dover, New York, 1952.
- Lorentz, H. A. Electromagnetic phenomena in a system moving with any velocity smaller than that of light. Proceedings of the Royal Netherlands Academy of Arts and Sciences 1904, 6, 809–831. [Google Scholar]
- Poincaré, H. Sur la dynamique del’électron. Comptes Rendues 1905, 140, 1504–1511. [Google Scholar]
- Poincaré, H. Sur la dynamique de l’ electron. Jourmal Rendiconti del circole Matematico di Palermo 1906, XXI, 129–155. [Google Scholar] [CrossRef]
- Bell, J.S. How to teach special relativity. Progress in Scientific culture 1976, 1, 1–13. [Google Scholar]
- Дирак, П.А.М. Теoрия пoзитрoна (in Russian). Атoмнoе ядрo. Сбoрник дoкладoв 1 всесoюзнoй ядернoй кoнференции. Гoсударственнoе техникo-теoретическoе издательствo Ленинград-Мoсква, 1934, 139-144.
- Stueckelberg, E. La signification du temps propre en mécanique ondulatoire. Helv. Phys. Acta 1941, 14, 322–323. [Google Scholar]
- Feynman, R. The Theory of Positrons. Phys. Rev. 1949, 76, 749–757. [Google Scholar] [CrossRef]
- Landau, L. Lifshic, E. The Classical Theory of Fields. 4th ed., 2 (Course of Theoretical Physics Series), Butterworth-Heinemann, 1980. 37a. Landau, L. Lifshic, E. Mechanics. 3-rd ed. 1 (Course of Theoretical Physics Series) Pergamon press , 1976.
- Dirac, P. A. M. Quantised singularities in the electromagnetic field. Proc. Roy. Soc. Lond. 1931, A133, 60–72. [Google Scholar]
- Milton, K.A. Theoretical and experimental status of magnetic Monopoles. Review article. e-print https://arxiv.org/abs/hep-ex/0602040 2006.
- van de Vis, R. N.; Sfakianakis, E. I. et, al. Nonlinear Dynamics of Preheating after Multifield Inflation with Nonminimal Couplings. Phys. Rev. Lett. 2019, 123, 171–301. [Google Scholar]
- Guth, A. H. The Inflationary Universe: A Possible Solution To The Horizon And Flatness Problems. Phys. Rev. D 1981, 23, 347–355. [Google Scholar] [CrossRef]
- 42 . Linde, A. 42. Linde, A. Inflationary Cosmology after Planck 2013. e-print https://arxiv.org/abs/1402.0526 2014.
- Von Seeliger, H. Über das Newton’sche Gravitationsgesetz. Astronomische, Nachrichten 1895, 137, 129–132. [Google Scholar] [CrossRef]
- Hatch, R. R. A new theory of Gravity: overcoming problems with general relativity. Physics Essays 2007, 20, 83–100. [Google Scholar] [CrossRef]
- Okun, L.B.; Selivanov, K.G.; Telegdi, V. L. Гравитация фoтoны часы (in Russian) Uspehi Physicheckich Nauk 1999, 169, 1141–1147.
- Pound, R. Rebka, G. Apparent weight of photons. Phys. Rev. Lett. 1960, 4, 337–341. [Google Scholar] [CrossRef]
- Pound, R.; Snider, J. Effect of Gravity on Nuclear Resonance. Phys. Rev. Lett 1964, 13, 539–540. [Google Scholar] [CrossRef]
- Shevchenko, S.V.; Tokarevsky, V.V. On the photon spectrums of some monochromatic beams in Earth gravitation field. e-print https://arxiv.org/vc/arxiv/papers/0707/0707.4657v2.pdf 2007.
- H. Yukawa, “On the Interaction of Elementary Particles”. Proc. Phys-Math Soc. Jpn (PTP) 1935, 17, 48. [Google Scholar]
- К. Н Мухин, “Экспериментальная ядерная физика” Книга 2 “Физика элементарных частиц” (in Russian) М. Энергoиздат (1993).
- H. Gao and M. Vanderhaeghen, “The proton charge radius”. Rev. Mod. Phys. 2022, 94, 015002. [Google Scholar] [CrossRef]
- H. Atac, M. Constantinou, Z.-E. Meziani, M. Paolone, N. Sparveris, “Charge radii of the nucleon from its avor dependent dirac form factors”. The European Physical Journal A 2021, 57, 65. [Google Scholar] [CrossRef]
- Boyle, L.; Finn, K.; Turok, N. CPT-Symmetric Universe. Phys. Rev. Lett. 2018, 121, 251–301. [Google Scholar]
- Volovik, G.E. Comment to the CPT-symmetric Universe: Two possible extensions. e-print , 2018. https://arxiv.org/abs/1902.07584 19.
- Singal, A.K. Solar system peculiar motion from the Hubble diagram of quasars and testing the Cosmological Principle., 2019 e-print https://arxiv.org/abs/2107.09390.
- Shevchenko, S.V.; Tokarevsky, V.V. The informational physical model and fundamental problems in physic. Presentation on Conference Gravitational Physics and Astronomy 2022 , Cairo, Dec 4 – 9, 2022.
| 1 | Here and further “absolutely fundamental” relates to phenomena/notions that exist and are valid on whole “Information” Set, when (“simply”) “fundamental” relates to phenomena/notions that are fundamental in Matter and “consciousness on Earth”, including human consciousness; and in the mainstream philosophy, natural and social sciences. |
| 2 | In earlier papers with this model “G-marked FLE” is called “us-FLE” |







Disclaimer/Publisher’s Note: The statements, opinions and data contained in all publications are solely those of the individual author(s) and contributor(s) and not of MDPI and/or the editor(s). MDPI and/or the editor(s) disclaim responsibility for any injury to people or property resulting from any ideas, methods, instructions or products referred to in the content. |
© 2024 by the authors. Licensee MDPI, Basel, Switzerland. This article is an open access article distributed under the terms and conditions of the Creative Commons Attribution (CC BY) license (http://creativecommons.org/licenses/by/4.0/).
