1. Introduction
Here I hypothesize that the Solar System is either a large scale
C (10-Carbon isotope),
Be (10-Beryllium isotope) atom or a localized superposition of such atoms in a relatively special state (regarding scaled pressure/temperature) and provide evidence for the equivalence of large (U
) scale systems with standard (U
) scale systems through the analysis of the Solar System in the context of Complete Relativity[
1] (CR).
I hypothesize that formation of planetary systems in general starts with the inflation of gravitational maxima from standard scale atoms (or lower scale equivalents), likely in the events of annihilation at relative event horizons (gravitational maxima) of larger scale.
I propose that, in this process, the electro-magnetic component of the general force has been exchanged with the neutral gravitational component resulting in the dominance of gravity over electro-magnetic force at this scale.
However, I also propose that such exchange may be natural on standard scale - atoms are cycling between polarized and neutral states. In case of U systems, the system likely starts inflation from U electro-magnetic with gravitation becoming dominant afterwards. At the end of the lifecycle gravitational maxima collapse (deflate) to U again, now exchanging gravity for electromagnetic force. It is the opposite for U systems inflating from U scale - inflation starts gravitational but ends up in electro-magnetic equilibrium.
In any case, obviously, the hypothesized equivalence between the Solar System (or any planetary system, in general) and an atom should be taken relative.
Implications of discrete vertical energy levels [and CR in general] on nature are large and particularly affect the understanding of life. Existence of these levels is required for conservation of relativity but one consequence is relativization of components of living beings (eg. living tissue, blood, etc.) between scales - they operate on different timescales and generally have different composition. In example, standard blood (blood of U scale), scaled to U scale will not be the same substance simply containing zillion extra standard blood cells, rather, to an U scale observer it will appear much different. Indeed, what I will consider the blood of a planet is commonly interpreted as magma. Thus, the planets can be living beings and here I will analyse Earth not only as a particle but as an evolving, albeit extremely introverted, living being.
2. Constants
Table 1 shows commonly used constants in the paper.
The values of planetary constants are taken from NASA Planetary Fact Sheet[
2].
3. Definitions
Definitions of terms and expressions that may be used in the paper. Note that these may be different than standard or common definitions in everyday use.
Some terms in use in this paper have been defined in CR and reader should be familiar with these (and CR in general) if the aim is to understand this paper properly.
3.1. Elementary polarization
Elementary particles, relative to a universe of a particular scale, are generally polarized.
Physical interpretation (manifestation) of polarization is dependable on environment, but any elementary particle can be interpreted as a more or less evolved graviton (as defined in CR).
In case its electro-magnetic component is dominant, the particle is electrically polarized (charged) and represents a relative electric monopole.
However, electric component is generally a sum of multiple constituent charge quanta, typically 2 quanta of identical charge and 1 quantum of opposite (anti) charge, which are strongly entangled (there are no absolute monopoles). Spin momentum of charge is quantized, by a relative constant (ℏ) - a quantum of momentum, which is a consequence of harmonic oscillation of waveforms of energy in some reference frames (scales).
Suppose the spin momentum of each component is equal to 1/2
ℏ in value, and spins of two dominant charges are perpendicular to each other (having a [fixed] phase difference of
/2 degrees). Two dominant charges now have a total magnetic spin momentum:
Total spin momentum of the particle is thus:
If the S
(anti) charge momentum is perpendicular to S
, the value of total spin momentum is:
Due to fixed
/2 phase and equal value, influence of components of S
on the orientation [of the momentum projection] cancel (the two components may be interpreted as fermions in the same quantum orbital, so their projections cannot both be oriented in the same direction), and the orientation of the projection of the momentum S on the axis of quantization will depend solely on the orientation of momentum S
.
With the applied magnetic field, projection of the momentum on the
magnetic axis (eg. z) will thus be oriented either
up or
down:
This is a typical spin momentum of standard charges such as electrons and protons.
Figure 1a) shows charge in a collapsed state (as a particle) with acquired (coupled) real mass m, charge radii r
, r
(corresponding to momenta S
and S
, respectively) and radius of imaginary mass r
, here having a momentum aligned with S.
Its momentum is quantized by ℏ, electric charge by e and gravitational force by . The private space of such particle may be, depending on a reference frame, characterized either by properly scaled gradients or averages, of electric permittivity () and magnetic permeability () - or pressure and density.
With a decrease in environmental pressure (em/gravitational field interactions) a quantum may split into smaller quanta (which remain strongly entangled), spreading as far as possible (the range is finite and determined by the mass of smaller quanta - or environmental pressure on that scale), with a wave-like distribution of potential.
Figure 2 illustrates such relatively unbound,
free charge. Total momentum is the sum of individual momenta (and equal to original momentum of the particle in case of isotropic effect). With the splitting, the quantum of energy will decouple from real mass m unless the splitting is synchronized with the dilution or explosion of mass m where individual quanta of m are of appropriate scale and momenta to couple with individual quanta of img mass.
Figure 3a) shows one interpretation of strength of forces of a wave with distance from centre (black = gravitational force, blue and red = electric force). Now each component (maximum) of a wave, starting from outer ones, can be excited independently, can change spin, merge with adjacent maxima and form moon charges.
This allows the charge to interact (interfere) with itself in certain reference frames.
However, if components are strongly entangled in a particular reference frame, entanglement will be conserved with any interaction - the waveform may simply collapse (localize) into, what may be interpreted as, corpuscular form.
Figure 3b) shows how the
private space of the same particle can be modified by interaction with another particle - essentially, the electric force has been exchanged for gravitational force. Such interaction may also collapse the wave into a particle with moon charges, where the number of moons depends on the equilibrium point of interaction (difference in energy of interacting particles).
Note that it is possible for the effect to be strongly localized - local space may be modified to attenuate one force and strengthen the other, while particles outside that space may not feel such [degree of] change.
Apart from the spin momentum, particles generally have an orbital angular momentum, and may be vertically and horizontally excited. Vertical excitation will be changing the nature of their dominant expression (ie. from electro-magnetic to gravitational) and scale of energy, while horizontal excitation will be evolving them through various forms (species) and energies.
On one vertical energy level their form may be generally wavelike, while on the other they might exhibit a corpuscular form. Energy levels are discrete, but transition between them can be relatively instantaneous or continuous (interpretation depends on a reference frame), as required by complete relativity. Both interpretations can, and generally do, exist independently in reality. This is enabled through entanglement and coupling of energy between scales. Each form of energy thus has two components - real and imaginary (img) mass (charge). It can be said that energy exists on various scales simultaneously, but interpretation is scale-dependent (generally, one form may be visible in dominantly electro-magnetic, other in gravitational spectra).
Quantization of energy, by the postulates of CR, also must be relative. In reference frames where it exists, it may generally be correlated with the wavelike nature of energy at particular scale and described through [spherical] harmonics, as in quantum mechanics (QM). Localization (measurement) in some reference frames can be interpreted as transformation of wavelike form of energy into corpuscular form, however, this transformation is never absolute and better interpretation may be wave confinement. Spin momentum is generally an orbital momentum with a non-zero mass radius, although in some reference frames it may be approximated and treated as a point momentum.

3.1.1. Equilibrium and nature of forces
Equilibrium state of 3 components of charge is maintained through angular momenta. Due to rotation of local space, general force is a centripetal force and in stable orbitals equal to centrifugal force.
In case of a completely neutral (gravitational) force:
This is established when angular velocity of the orbiting body and angular velocity of space (effective graviton, or gravitational field tube) become equal:
If the body increases velocity (v > v), centrifugal force becomes greater than gravitational force and now acts as a fictitious repulsive force.
For v < v, gravitational force is higher than centrifugal force, and the body feels attractive force.
Nature (polarization) of the force can thus be changed with a change in radii (expansion/collapse) of gravitational maxima.
This allows for electro-magnetic force to be a fictitious force - a result of radii change of gravitational maxima due to absorption and emission of energy.
Even if orbital changes are not electro-magnetic in nature, such changes imply radial polarization of reference frames, thus a reference frame can be polarized even if its mass is purely gravitational, and this will be reflected in a relativistic () factor.
However, there are no absolutely pure gravitational reference frames and changes in stable orbits may generally happen with the exchange of gravitational for electro-magnetic potential.
In that case, gravitational polarization becomes electric polarization.
3.2. Weak and strong evolution
Rates of evolution or flow of energy cannot be absolutely constant. As noted before, energy on one scale is generally entangled with energy on other scales (which can be interpreted as simultaneous existence on multiple scales) and time dilation exists between these scales. A particular state on one scale (characterized by relatively discrete jumps between energy levels) can be interpreted as the attractor for the other scale (characterized by continuous transition between equilibria). With attraction generally being exponentially correlated with distance (in space/time) one can assume that between two equilibria evolution proceeds at a relatively constant rate but near the points of equilibria the rate grows and decays exponentially.
The period of relatively constant rate of evolution may be referred to as [the period of] weak evolution, while periods of accelerated evolution may be referred to as [periods of] strong evolution.
3.3. Primary atom radius
Generally, radius of an atom is assumed to be equal to the radius of its outermost electron orbit.
However, other particles can be bound to atomic nuclei. Here, I hypothesize that neutrinos and anti-neutrinos are standardly bound to nuclei, generally occupying separate energy levels but may also be bound to other particles (eg. forming an electron/neutrino pair).
Primary radius of the atom is then equal to the orbital radius of its outermost primary component.
At minimum, it is equal to the general (outermost electron orbit) radius of the atom. However, at equilibrium - with all primary neutrinos present, it may be over twice that radius.
Here, a bound particle is considered primary if it is a component of the system equilibrium state (this is further discussed in chapter Initial structure hypothesis).
3.4. MAU
MAU or Mars relative Astronomical Unit is a unit of distance. 1 MAU is equal to the distance of the outermost positive charge from the atom nucleus centre.
On U scale C/Be atom equivalent, 1 MAU is equal to the distance of Mars from the Sun.
3.5. Weak nuclear decay
Weak nuclear decay transforms a neutron into a proton or vice versa. If these are parts of an atom, this is nuclear transmutation - transformation of one atom of an element into an atom of another element.
With scale invariance of gravitational fields, neutrinos and anti-neutrinos can be, like electrons, bound to atomic nuclei (and, as other fermions, grouped into pairs). In equilibrium, the number of bound electron (e) neutrinos and electron anti-neutrinos within the [primary] radius of the atom correspond to the number of protons and neutrons, respectively. These are, together with nuclei and electrons, primary components of the atom.
Decay process involves annihilation of neutrinos and anti-neutrinos and stability of elements will depend on their number, ratio and mass (excitation state).
3.5.1. decay
Transformation of a neutron to a proton, with emission of excess energy:
Here, bound non-primary (or captured) e neutrino and bound primary e anti-neutrino annihilate to produce, depending on energy, either an electron/positron (e
/e
) pair, or up/anti-up quark pair:
In case of electron/positron production, positron further partially annihilates with the down quark (here, both are composite particles), producing neutrino/anti-neutrino pair and up quark:
Neutrino bounds to the atom [as a primary component], while anti-neutrino and electron are ejected in a spin paired state (boson), before separating again:
In case of up/anti-up quark production in the first step, the up quark is absorbed, while anti-up quark pairs with the down quark before ejection:
Outside of atom, the pairing is unstable (short-lived), except at extreme conditions.
Note that, in this case, to conserve equilibrium conditions, one of bound non-primary e neutrinos must reduce its orbit to become a primary component.
decay is the effective transformation of a down quark to an up quark of the atom nucleus.
3.5.2. decay
Transformation of a proton to a neutron, with emission of excess energy:
Here, bound primary e neutrino and bound non-primary e anti-neutrino annihilate to produce either an electron/positron (e
/e
) pair, or down/anti-down quark pair:
In case of electron/positron production, electron further partially annihilates with the up quark (here, both are composite particles), producing neutrino/anti-neutrino pair and a down quark:
The anti-neutrino bounds to the atom [as a primary component], while neutrino and positron are ejected in a spin paired state (boson), before separating again:
In case of down/anti-down quark production in the first step, the down quark is absorbed, while anti-down quark pairs with the up quark before ejection:
Note that, in this case, to conserve equilibrium conditions, one of bound non-primary e anti-neutrinos must reduce its orbit to become a primary component.
decay is the effective transformation of an up quark to a down quark of the atom nucleus.
3.5.3. Inverse decay
Transformation of a proton to a neutron by electron anti-neutrino scattering. Generally, this interaction will occur when the atom is not in equilibrium, more specifically - the number of bound e neutrinos is lower than the number of protons.
In this process, e anti-neutrino annihilates with a bound non-primary e neutrino, initiating a
decay with electron/positron product:
However, since the number of bound primary e neutrinos was initially lower than the number of protons, now even the created neutrino is bound (as a non-primary component) rather than ejected with a positron:
3.5.4. Electron capture
Transformation of a proton to a neutron by electron capture.
Bound electrons induce the creation of positrons from the atom nucleus, filling its outer energy levels. In low energy conditions this may not be possible and one of the innermost electrons may be captured to fill the vacant level. However, the electron in this level is highly unstable, it is attracted to the outer proton core where it partially annihilates with the up quark, proceeding further as
decay:
The anti-neutrino bounds to the atom as a primary component, while neutrino gets ejected:
4. Initial structure hypothesis
In planetary systems, outer planets (gas planets in case of Solar System) are [groups of] electrons, while inner planets (terrestrial, in the Solar System) are [groups of] positrons whose gravitational maxima have been extracted from the system nucleus to balance the electrons.
A planet can be in 1e or 2e configuration (state), while the star is a superposition of nuclei partons (quarks). Inner and outer primary dwarf planets in a planetary system are bound anti-neutrinos and neutrinos, respectively.
Primary components of the Solar System are shown in
Figure 4.
The current Solar System seems to have 10 nucleons, it may be the equivalent of a C atom, Be atom or a B atom, but the most likely may be a superposition (relative transition between two of these configurations), this will be explored in the following chapters.
Figure 5a) shows the configuration of a
C atom (stable on standard scale, possibly unstable on U
), on the left is the configuration of positrons, on the right is the configuration of electrons.
In this interpretation, energy levels are mirrored between positive and negative charges (relative to the [relative] event horizon in between).
Figure 5b) shows a possible configuration of a
C atom at time of inflation (configuration unstable on standard scale, relatively stable on U
scale).


The spin momentum here (represented by up and down arrows) is a magnetic momentum. Mass and charge can have different spin momenta and can be on different orbitals or energy levels. In the Solar System, bound particles have been localized (forming planets and dwarf planets, with coupled real mass) and this affects the interpretation. It may then appear that in some cases Pauli exclusion principle (two fermions coupled in the same orbital cannot have equal spin orientation) is violated, however, localization of large scale gravitons is localization of energy levels as well and Pauli exclusion principle should be respected within the planet (two gravitons within the planet may appear to share the same orbital about the Sun but they are on different orbitals within the planet - once delocalized, they would be on different orbitals about the Sun). Singlet, doublet and triplet states, all may be possible in localized energy levels.
Electric charge here is subdued (gravity dominates) and magnetic fields can be induced fields rather than associated with intrinsic magnetic momentum. Also, time is slower on this scale and real mass coupled to gravitons transitions continuously between energy levels, so planets can appear to be in transition between states (which is unobservable in standard scale atoms). Some initial states may have been unstable at time of inflation (C is unstable on standard scale) and this may appear fossilized due to slow evolution (continuous transition) of real mass (Venus and Uranus may be candidates for such states). Nevertheless, initial symmetry/inversion between inner and outer particles should be relatively conserved.
4.1. General deduction of quantum structure
Here is an example how the element and exact isotope species can be determined from the number and types of planets.
The observed (star, planets) and hypothesized (dwarf planets) components of TOI-178 system are shown in
Figure 6.
With the assumption of maximum 2 electrons (positrons) per planet, the TOI-178 system has these restrictions on the number of particles:
2 inner planets limit the number of positrons to 2 - 4,
4 outer planets limit the number of electrons to 4 - 8.
Since the intersection of the two groups contains only one solution (4), the TOI-178 system must be a Beryllium atom.
If the number of inner planets corresponds to number of neutrons, this must be a Be isotope.
This can be confirmed by comparing the mass of the TOI-178 system [star] with the mass of the Sun. Assuming that the Solar System is
C (or
Be), the determined mass of TOI-178 (0.647
M
[
5]) agrees well with the hypothesis.
However, the measured mass is still somewhat larger than expected - this will be resolved later.
The number of bound [primary] anti-neutrinos should also correspond to number of neutrons, while the number of bound [primary] neutrinos should correspond to the number of protons.
4.2. Singlet, doublet and triplet states in planets
In QM, it is assumed that two particles in a singlet state share the orbital. However, per CR, superposition cannot be absolute and the two particles can have somewhat different orbital radii. On standard scale this difference may be unresolvable, but on large scale (U) it can be. The difference may oscillate about 0, but interpretation involving fine energy level splitting may also be valid.
In any case, in 2e states there should be two major gravitons. In terrestrial planets one of these should be associated with the mantle, the other with the core. If these are in a singlet state, in equilibrium, there should be no differential motion between the core and the mantle. Again, however, per CR, the difference cannot be absolute 0, it must oscillate about the 0. Per the hypothesis, Earth is in such configuration. Indeed, the rotations of Earth’s core and mantle are synchronized but oscillation has been detected as well[
6].

Two gravitons are likely necessary for core/mantle differentiation (at least on shorter timescales of formation, and in case of lower initial densities of available real mass for planetary formation - in which case, the planet may not even form without the presence of a large scale graviton and its associated dark matter), but this differentiation probably exists even in 1e states due to [occasional, periodic?] coupling with neutrinos. If such coupling is temporary, differential motion between the core and the mantle should be higher after decoupling (as decoupling involves spin change) and the difference should be proportional to graviton mass (img mass), inversely proportional to real mass. If friction between mantle and core is low, the differential motion may be effectively fossilized at the time of decoupling. Indeed, pronounced differential motion in Mercury and Venus explains their [unexpected] low obliquity to orbit (differential motion has a stabilizing effect). Note that both, Mercury and Venus, should be, according to hypothesis, in 1e states. This suggests they are, or were at some point, coupled with neutrinos.
Doublet and triplet states may be possible as well. Particularly interesting is the doublet state. Differentiated core may indicate a doublet state where inner and outer core have anti-aligned spins and no differential motion in equilibrium, but then there should exist a large difference between mantle and core rotation.
However, there are other, probably more likely, interpretations. One of them is splitting of energy levels, the other is oscillation between energy levels.
Differentiation of the mantle into layers, for example, would then be relatively synchronized with the oscillation of a graviton between energy levels (which themselves may be the result of splitting of the primary mantle level). And the causality here is relative, in some cases the cause for differentiation or creation of discontinuities (two adjacent layers don’t have to be of different chemical composition) may be the graviton, in others real mass. What drives energy level changes depends primarily on mass difference between img (graviton) mass and real mass. Dominant force may vary with time, in the early days of formation, the graviton is probably the dominant driver. In any case, most appropriate term here is synchronization, rather than causality. One is simply transitioning continuously, the other in discrete jumps. Note that this mechanism of evolution allows for higher plasticity in planetary characteristics, eg. core differentiation and solidification in a planet may be a transient and periodic phenomenon, allowing for periodic re-establishment of a magnetic field. In equilibrium however, disturbance by external force (eg. asteroid impacts) is likely required for energy level changes.
4.2.1. Correlation with planetary atmospheres
Assuming large scale gravitons of terrestrial planets like Earth have mass on the order of 10 kg (as established in later chapters), equal scaling gives mass of large scale anti-neutrino gravitons on the order of 10 kg - 10 kg. These gravitons are generally coupling to bodies of real mass on the order of 10 - 10 kg (inner dwarf planets). Interestingly, this is on the order of mass of Venusian atmosphere. If Venus is coupled to a neutrino than this graviton could act as an gravitational attractor in Venusian atmosphere (assuming the graviton radius is on that level). This could then help sustain life in Venusian atmosphere and may have a role in the long-term stability of its extreme super-rotation. Note that the graviton doesn’t have to be present all the time - it could be periodically inflated (delocalized) to this radius (assuming the neutrino is coupled to the planet, otherwise, the process should include both inflation and deflation - assuming neutrino is initially coupled to an inner dwarf planet in the asteroid belt). The presence of atmosphere in a planet then may generally indicate a [periodic] presence of neutrino gravitons. Another interesting case is the atmosphere of Mars, its mass is on the order of 10 kg - hypothesized mass of a naked neutrino graviton. Mercury has no significant atmosphere (its mass is less than 10 kg). All this suggests that Venus, Earth and Mars are all [periodically?] coupled to neutrinos (which may imply triplet states in case of Earth and Mars), while Mercury is not. With 3 neutrinos coupled to planets, and assuming a 6p4n state of the Solar System, only 1 neutrino should be coupled to inner dwarfs. And that’s probably the active one - Ceres. The mass of Earth’s atmosphere is on the order of 10 kg and the Earth is probably transitioning from one extreme to the other (eg. Mars -> Venus). Interestingly, the mass of Earth’s atmosphere varies annually on the order of 10 kg (mass of a naked neutrino graviton). Could this variation indicate the presence of coupling? And do states on Venus and Mars represent fossilized end-states or are these two at the end/beginning of a cycle? If that is the case, and all these cycles are relatively synchronized, the Earth should be at the end of an atmospheric cycle as well, which would suggest relatively imminent rapid changes in Earth’s atmosphere.
4.3. Stability of atoms
Stability of isotopes of standard atoms depends on the number of neutrons. The model of the atom presented here, however, suggests that primary [anti-]neutrinos may be more directly involved in this stability. Periodic coupling of particles with neutrinos could ensure spin (obliquity) and orbital stability (eg. by resetting eccentricity/resonance). According to the previous chapter, Mercury is not coupled to a neutrino. Its high orbital eccentricity goes in favour of this interpretation. Indeed, even in conventional models, Mercury’s orbit is relatively unstable[
7]. If decay process involves emission of primary [anti-]neutrinos, temporary absorption of the primary [anti-]neutrino by a nearby atom could explain half-life of elements. When absorbed, the primary neutrino resets the system stability. That way, on average, half of isotopes would decay after each fixed period (half-life), regardless of the initial amount of atoms.

Stability of decay rates of elements then depends on stability of [periodic] couplings with primary [anti-]neutrinos. Energy level/spin changes of large scale gravitons, due to entanglement with U gravitons, may then indirectly and temporarily disturb decay rates of standard elements in the associated gravitational well. I believe this indeed happens periodically in any planetary system.
5. Quantum nature
Solar System appears to be a Carbon-10 atom equivalent in the current state. Due to relatively extreme conditions some of its components are at the lowest energy level - multiple nucleons have condensed into a single nucleus, orbitals are two dimensional (collapsed from spherical cloud structure), highly aligned (same plane), and momentum carriers are [scaled] point like structures (they are strongly localized).
Scale invariance of physical laws (as hypothesized in CR) requires that non-dimensional ratios - those of radii, masses and velocities (energies in general) in two systems of the same species (carbon in this case) in the same state but of different scale are equal.
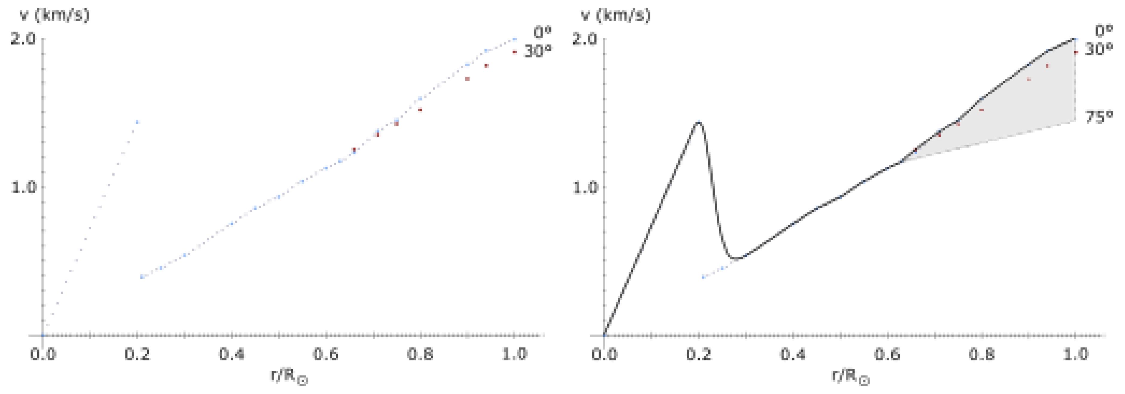
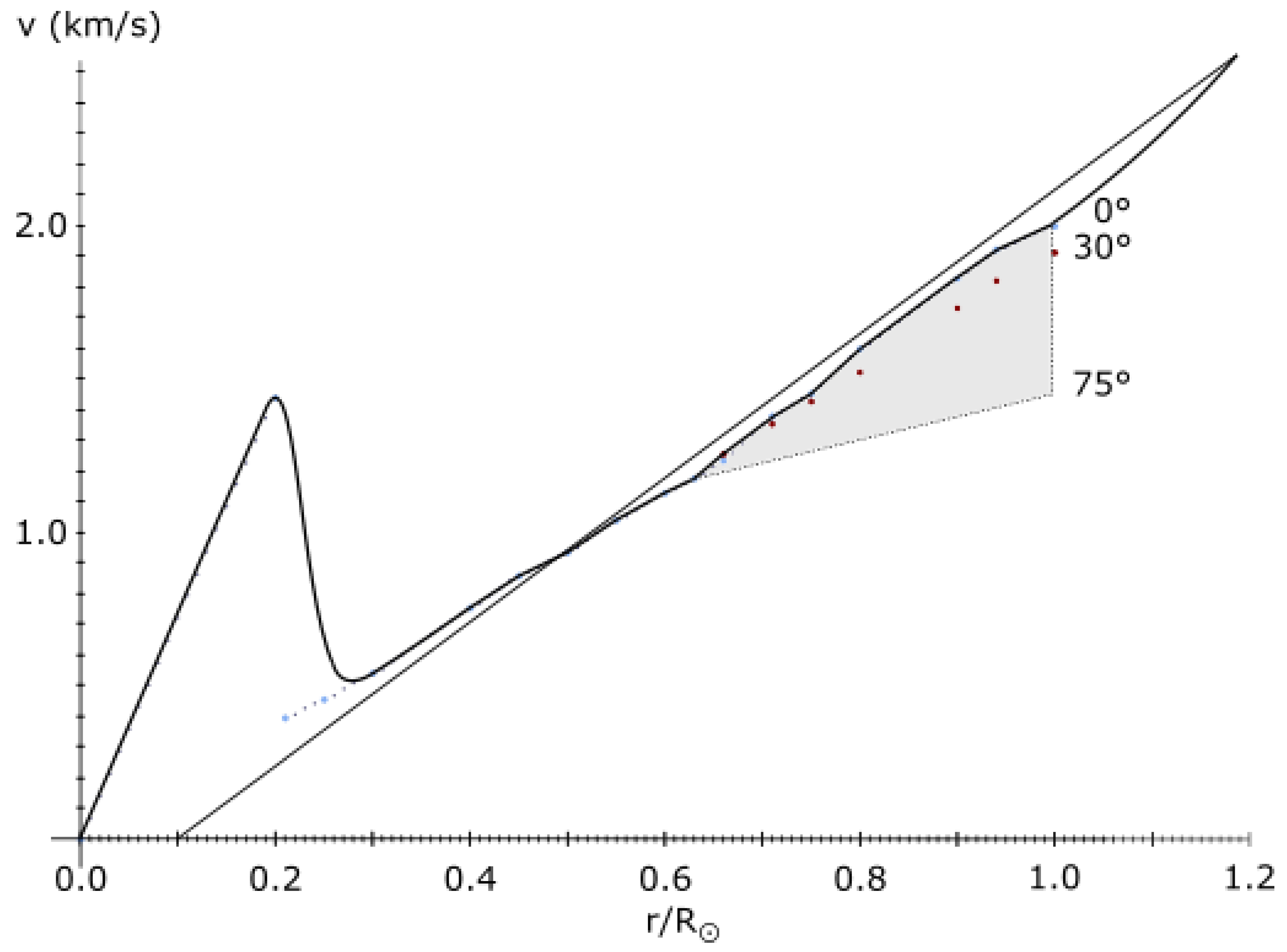
Radius of the outermost electron in a standard
C atom can then be obtained from Neptune spin and orbital radius:
This gives [localized] electron radius R = 3.834298096 * 10 m. Note that radii of particles inside the atom can be different than outside of atom (radii depend on localization energy). Generally, radii are affected by kinetic energy and oscillate with mass.
Sun core radius from
C nucleus radius and outermost electron radius:
The above gives Sun core radius of 173894.6069 km, or 1/4 of the apparent Sun radius, in agreement with experimentally obtained values of Sun core size. More precisely, this is the Sun outer core [discontinuity] radius and also [approximately] U classical electron radius.
Proton radius approximation:
The factor P/N = 6/4 = 3/2 is the ratio of protons to neutrons in Carbon-10 (C) atom, factor 10 is the number of nucleons (P+N).
The above gives 0.722296 * 10
m = 0.722296 fm for the proton radius, close to experimentally obtained value of 0.8414(19) fm (2018 CODATA[
8]).
The same result can be obtained using spin radii:
A precise value can be obtained by taking into account the influence of quarks instead of P/N (this will be elaborated later):
which gives 0.8426785306 fm, a value in agreement with the CODATA value.
Radius of the proton cannot be absolutely constant, due to hypothesized entanglement between vertical scales, apart from required oscillation, it should probably be shrinking as the universe expands.
The above shows mass ratios agree not only to the order of magnitude but are actually very close in value. The excess energy is:
and it must be the locally accumulated relativistic energy of the Solar System (discrepancy arises due to non-invariant reference frames in the mass measurement - the mass of the standard
C atom is measured from an external frame, while the mass of the Solar System is derived from within the system and
improperly treated as rest mass).
Although the Solar System is at rest relative to us, relativistic energy (deviation from rest velocity) of the system relative to underlying space is always locally real and must be stored somewhere within the system. The likely capacitor is local space of the system and the energy is stored in the form of gravitational potential.
From this one can calculate the scaled speed of
light (information) for the U
scale (c
):
If v is interpreted as the cumulative velocity against the CMB (Constant Microwave Background) radiation, a sum of secondary velocity v
(velocity of the Solar System against CMB) and primary velocity v
(equal to velocity of the local galactic group against CMB), for v
= 368 km/s and v
= 628 km/s, one obtains:
Obtained c
is equal to one of possible values calculated in CR[
9], but will also be confirmed here later in a different calculation.





5.1. Validating rest mass and C/Be configuration
If the Sun is a large scale equivalent of an atom nucleus containing 10 nucleons, one can calculate the mass of a proton (hydrogen) equivalent on large (U
) scale:
M = standard proton mass = 1.67262192 * 10 kg
M = standard C nucleus mass = 1.663337576 * 10 kg
M = previously calculated Sun rest mass = 1.870062271 * 10 kg
And this is on the order of red dwarfs - smallest known stars, in agreement with the result.
One can then assume that no star in the observable universe should have a mass smaller than this at times of creation (after inflation).
Observations seem to be in good agreement with this. Until recently, the star with lowest known mass was considered to be the AB Doradus C, with a mass of 0.090±0.005 M
[
11] or 94.3±4.7 M
(Jupiter masses) - in complete agreement with the above. However, more recent evidence indicates that this may not be a star, rather a binary of two brown dwarfs[
12]. The current record holder is considered to be EBLM J0555-57Ab, with a mass of 85±4 M
(0.081±0.004 M
)[
13].
Of course, stars are losing mass over time. Assuming maximum age of universe of 13.8 * 10 years and knowing the rate of ageing (mass loss) of red dwarfs, one can calculate what mass would a red dwarf with initial mass of 0.095 M (99 M) have at this point. All of these stars should still be alive and on the main sequence (it is expected for stars of this mass to remain on main sequence for over 6 trillion years, with total burning lifetime of about 10 trillion years).
Assuming luminosity of 3.29 * 10
L
for a typical 0.095 M
red dwarf (luminosity based on 0.095 M
Scholz’s WISE J0720-0846A[
14]), mass at this point would be:
t = age of the universe = 4.3549488 * 10 s
m = standard proton mass = 1.67265 * 10 kg
E = energy per reaction = 4.32 * 10 J
P = power output = 3.29 * 10 * 3.8 * 10 J/s
N = fraction of mass used in fusion = 2/3
Mass loss through radiation is thus almost negligible, but one must also account for the loss of mass due to solar wind. Mass loss through solar wind for cooler stars is estimated to be higher than that of the Sun[
15], assuming mass loss rate 10 times higher for 0.1 M
dwarfs (which may be conservative), mass at this point should be:
M
= Sun mass loss rate = 2.5 * 10
M
/yr[
16] = 7.922022 * 10
M
/s
Considering that red dwarfs with lower mass have been observed (assuming they are indeed red dwarfs), the result suggests that either the assumed mass loss rate is indeed conservative (but not much) or the universe may be a bit older. However, the excellent agreement of the result with AB Doradus C suggests otherwise - perhaps AB Doradus C is not a binary after all rather a proper red dwarf, while smaller ones - like EBLM J0555-57Ab, may be binaries, or should be classified as brown dwarfs?
5.1.1. Remnant hypothesis
Brown dwarfs may generally be remnants of dead stars (instead of protostar material), just as asteroids and comets may generally be remnants of dead planets and moons. If stars generally have multiple gravitational maxima (as I do hypothesize), once these maxima decouple from the body of matter (real mass), it should not be surprising if dead aggregates of matter are, due to significant angular momenta, kept separated - forming binary systems (in most cases). One of the binaries should represent the remnant of the star’s core while the other should be the remnant of outer layers. Distribution of mass between them should generally be asymmetric.
Moment of inertia puts constraints on density distribution inside bodies. Based on this, it is estimated that Sun’s core contains about half of the mass of the Sun. It is also considered that Sun’s core radius is 0.2 - 0.25 R (Sun’s radius) but exact distribution of mass here is unknown. I argue that Sun’s core is not bigger than 0.2 R and most of the mass conventionally attributed to the core is in the region near 0.25 R. The core then has a significantly lower mass than assumed. In a later chapter, I have calculated that Sun’s core mass is several times that of Jupiter. At the end of its life, the Sun leftovers are probably going to form a binary system of a white dwarf (remnant of non-core mass) and a brown dwarf less than 10 times the mass of Jupiter (core remnant, which might still be alive and act like a gas planet, as decoupling of gravitational maxima is relatively synchronized, not absolutely).
I assume that, with decreasing star mass, the outer mass is decreasing while core mass is increasing (due to generally smaller angular momentum of smaller stars). Remnants of red dwarfs should then be brown dwarfs, where one should be about 80-85 times Jupiter mass (0.075 - 0.081 M) while the other (core remnant) would be on the order of 10 times Jupiter mass. Distance between these binaries and their masses would then be generally proportional to the original size of the star.
The study indicating AB Doradus C is a binary, does provide masses conforming to this ratio, 0.072±0.013 M
and 0.013±0.001 M
[
12].
Is AB Doradus C an ageing red dwarf revealing presence of multiple gravitational maxima or indeed its remnant - which would imply its death was violent or that it represents a remnant from an older universe?
In any case, decoupling of gravitational maxima from bodies of matter is generally a change of energy level so it occurs with spin inversion, explaining lower rotation periods of dwarfs compared to bigger (original) bodies.
If remnant core mass is increasing while outer mass is decreasing (with decreasing original star mass), remnant binaries with roughly equal mass should be possible. According to above, their masses should be about 40 times Jupiter mass.
However, original system can also be a binary system with stars having similar masses. Therefore, equally massive binary remnants with masses smaller than 40 M (perhaps with a wider orbit as well) are also possible. With differently sized original companions, different remnant companions are possible.
This can then explain the recently discovered abundance of Jupiter-mass binary objects in the Trapezium cluster[
17] - something highly unexpected with conventional theories on formation of planetary systems.
These objects were probably not planets ejected from original systems (as some suggest but struggle to explain), rather, they represent in situ remnants of stars. However, it should be clear that at least some of these could also have been created with the inflation of unbound (free) [pairs of] standard particles (or more precisely, their gravitational maxima) - like muon electrons.
5.1.2. Dark shade of glue
A body coupled to a large scale (U) graviton (gravitational maximum) is a body coupled to a dark matter halo and dark matter filaments of smaller scale (U gravitons) as well. Once the U graviton decouples from the body this glue of U scale holding matter together should also start to dissolve - flattening the space (U gravitons are entangled with the parent U graviton). The body of matter can still remain clumped (held together by electro-magnetic forces or gravity of still smaller scale) but will lose energy faster than the body coupled to a large scale maximum and will tend to spread out (unless recycled by new coupling) due to increased vulnerability to cosmic disturbances.

One must distinguish then a [still] living remnant from a dead remnant. In example, the outer part of the Sun might not collapse to form a conventional (long-lived) white dwarf, rather disintegrate and spread as a nebula. However, if the core remnant is still alive and massive enough, the material could form a shell around it (but will eventually sink to the centre as it should be composed of heavier elements than the core). Common white dwarfs could actually be such objects. In that case, a white dwarf with a carbon envelope should be relatively young (older ones should be surrounded by helium and hydrogen, with carbon in the core). Note that, in such scenario, the gravitational well of the [U] core graviton becomes over-capacitated - decreasing its lifespan (increasing probability for premature death).
A good analogy to dark matter holding ordinary matter (real mass) together can be found in hyphae of living fungi holding soil together (preventing erosion). A good analogy to an over-capacitated core is an overweight person.
If asteroids are remnants of dead bodies, the particles they’re composed of should not be held together by a dark matter halo and probably not by dark matter filaments as well (unless very young or entangled with another graviton of U scale). If then a theory of gravity does not distinguish between different scales of gravity, or - in other words, does not distinguish between living (graviton entangled) and dead celestial bodies, applying its laws to one of these can result in anomalies in certain cases (due to misinterpretation of phenomena or understatement/overstatement of certain quantities - like mass/density and mass loss).

In, here assumed, interpretation of graviton-body (soul-body) coupling there is no mass shielding so the total mass of the system is the sum of ordinary and dark matter mass. Thus, the force one usually attributes to ordinary mass should generally be attributed to the sum of both masses. With that neglected, bodies lacking dark matter (such as certain asteroids) may be observed anomalously accelerating (as their coupling to gravity is limited).
Indeed, such anomalies associated with asteroids have been observed recently (eg. ’Oumuamua, DART[
18]).
If the hypothesis is correct, with more visitors more anomalies should be observed. But more local surprises[
19] cannot be excluded as well.
As weakening of intermolecular bonds (weakening of localized G) can precede U graviton collapse, such weakening detected on Earth could be interpreted as a precursor to large scale weakening - collapse (de-localization) of the Earth’s U gravitational maximum.
This weakening should cause Earth to expand a bit (first partially then globally). And this will (due to effectively reduced boiling point) cause some degassing. These gases are likely to be primarily greenhouse gases, at least those that will remain in the atmosphere (lighter gases may escape). Primary candidate is methane (CH), which relatively quickly decays into CO (perhaps even faster with reduced intermolecular bonding). This then can explain enriched CO atmosphere of Venus and dominance of CO in Martian atmosphere.
Again, due to relativity in causality, degassing can start before the expansion - for a different reason (eg. current degassing is correlated with climate change). I believe all major extinctions and correlated climate changes are also correlated with temporary graviton collapses. Nature isn’t picky when it comes to causes and precursors for certain effect. Therefore, the effectively induced actions leading to certain effect can be, over time, diverse, even anthropogenic.
Increase in seismic activity (including volcanism) can also be correlated with the changes in inter-molecular bonding. Not only that, but precursors of collapse may have a wave-like distribution with increasing frequency over time. Allowing certain predictability of seismic activity[
20].
5.1.3. Plastic density
It was noted previously that applying conventional theories to asteroids can yield anomalies. Particularly interesting ones are anomalous masses or densities, like the one in 33 Polyhymnia and similar bodies. Polyhymnia is a spherical body in the main asteroid belt with a 54 km diameter and estimated density of 75.28±9.21 g/cm
[
21]. This extreme density cannot be explained by known elements so it is considered unphysical and most likely a result of measurement errors (which is certainly possible as determination of mass of bodies like Polyhymnia is extremely hard). However, Polyhymnia is not the only asteroid with anomalous density and I believe these cases deserve further investigation. Assuming these are not highly compressed remnants (of cores of giant planets), these could represent [almost naked] large scale gravitons. The shape here is important. Polyhymnia is a very good candidate due to its spherical form (a form of a graviton in ground state) which would be, otherwise, unexpected for such small body.
Interestingly, the study of Carry on density of asteroids[
21] suggests clumping of bodies of very variable densities on the same order of mass, 10
- 10
kg (including Polyhymnia), while, as it will be shown in later chapters, I have determined that Earth’s [large scale] graviton mass is on the order of 10
kg.
Since gravitons aren’t supposed to have highly variable masses (their masses should be relatively quantized, coupled real mass should be more variable, as well as their size), one explanation for the clumping could be that most of these bodies are coupled to a graviton of the same species (eg. 10 kg or 10 kg). These bodies thus, apart from the dark matter associated with the graviton, are not composed out of heavy exotic elements (which would require existence of islands of stability in the periodic table of elements) - rather, the img component of total mass dominates, while their real mass (standard matter) could be much lower and much less dense. Most of these bodies could simply be dusty or icy gravitons (low mass/density of standard matter, high gravitational mass) and I would like to see at least one of these bodies further investigated, especially Polyhymnia.
Alternatively, some of these bodies might be remnants of giant planets. This is also unexpected by conventional theories, however, I have predicted [re]cycling of planetary systems (explored in later chapters). Therefore, Polyhymnia could be a remnant of a core of a Jupiter-like planet as well. In that case, it should be older than the current Solar System. Its aphelion might then be a relative fossil of a semi-major axis of a Jupiter-like planet in the previous cycle. On the other hand, if it is a relatively naked graviton, it could represent a placeholder for a Jupiter-like planet’s core in the next cycle (I assume Jupiter-like bodies contain multiple gravitational maxima - at least two, core graviton is only one of them).
5.1.4. Distinguishing living from dead bodies
Living bodies are active bodies and require energy to sustain that activity and prevent decay. Components of a living body are mutually entangled, exchange energy/information and are themselves habitable for life of smaller scale. In case of planetary systems, a habitable planet is generally a living planet (although it can remain habitable for considerable time even after death). Celestial bodies can give and receive energy through standard radiation (electro-magnetic, gravitational, particle emission), tidal interactions, impacts and large scale gravitational waves (assuming these exist, as hypothesized in CR). This energy can be conserved in the form of heat and radioactivity. One can assume then that living bodies which are most of the time far away from sources of energy prioritize energy accumulation over radiation. Living bodies farther away from sources of radiation will prioritize tidal interactions and other energy sources. Most likely candidates for living bodies are thus energetic bodies (but possibly not in the extreme, although extremophiles likely exist on any scale and planetary extremophiles could even contain relatively isolated more habitable areas) entangled with other living bodies.
The intensity of tidal heating is proportional to the square of the orbital eccentricity[
22], being zero in a circular orbit and reaching a maximum in a parabolic orbit, and inversely proportional to the size of the orbit. One might consider a simple case of tidal heating between two bodies, but this is generally an n-body problem and may include many entangled bodies.
In case of celestial bodies, gravitational entanglement is a primary entanglement, in terms of energy exchange, with orbital resonance being the secondary component.
In an example, one might consider large bodies of the main asteroid belt - Vesta, Pallas, Ceres and Hygiea. Of these, Ceres is a dwarf planet, others are probably remnants of dwarf planets.
When considering entanglements, these can be positive (sustaining life/habitability) and negative (destroying life/habitability) so both number and type of entanglements must be considered.
Assuming Ceres is alive and others are remnants of once living dwarfs, the number of positive entanglements, accumulating and accumulated energy should be proportional to the probability of life in these bodies. Being relatively far from sources of significant radiation, these are probably not the primary sources of energy here, neither are tidal interactions (resonances) with other bodies due to great distances (mainly from the Sun and Jupiter). However, since I hypothesize periodic perturbations in the Solar System (chapter The cycles) coupled with changes in energy levels of large scale gravitons, it’s useful to analyse orbital eccentricities and resonances as these should be correlated with these changes.
Ceres seems to [still] be an active world so where does the energy come from if radiation and tidal heating can be ruled out? It is also too small to still be powered by primordial residual heat (energy accumulated during formation, whether gravitational or in the form of radioactive isotopes). The answer probably is in the residual energy, but not one accumulated during formation, rather relatively periodically - probably with the ends/beginnings of, later hypothesized, 2nd order cycles (periods of ≈26 million years). Changes in energy levels of large scale gravitons, hypothesized to occur at these times, can produce significant energy - in multiple ways. Temporary orbital disturbance can produce significant tidal energy while gravitational disturbance of local space can even induce radioactivity. Assuming eccentricity is maximized at these times and with eccentricity decreasing with accumulation of tidal energy, one can also assume that at the end of the cycle, eccentricity should be at its minimum. Having lowest eccentricity of the four bodies, Ceres may have accumulated most energy but this low eccentricity might also signal the end of the cycle when its activity may also be at its minimum.

Considering orbital period entanglements with planets, Ceres is also the one with least entanglements (resonances), whether active (between semi-major associated periods exclusively) or potential/passive ones (eg. between a period calculated for perihelion of one body and a period calculated for aphelion of the other body), as shown in
Table 2.
| |
Mercury |
Venus |
Earth |
Mars |
Jupiter |
Saturn |
Uranus |
Neptune |
| Vesta (a) |
a |
|
a |
a |
a |
|
p |
s |
| Vesta (p) |
s |
a |
a |
p |
a |
|
|
a |
| Vesta (s) |
s |
p |
|
s |
p |
|
|
a |
| Pallas (a) |
p |
|
|
a |
a |
|
|
|
| Pallas (p) |
s |
as |
a |
p |
|
|
as |
s |
| Pallas (s) |
p |
|
|
|
|
a |
p |
|
| Ceres (a) |
|
|
a |
|
|
|
|
s |
| Ceres (p) |
s |
|
as |
|
s |
a |
|
ap |
| Ceres (s) |
p |
|
|
|
|
a |
p |
|
| Hygiea (a) |
|
|
|
ap |
a |
a |
p |
p |
| Hygiea (p) |
|
|
|
|
|
a |
s |
p |
| Hygiea (s) |
|
as |
|
s |
p |
|
ps |
a |
a = aphelion
p = perihelion
s = semi-major axis
Table 2: Orbital period entanglements between main dwarfs and planetsZero active resonances in Ceres could also be interpreted as a signal that it has exhausted its energy sources and is living on reserves. If other three bodies are dead, their entanglements are probably negative - with no coupled large scale gravitons and associated dark matter, resonances are probably contributing to decay (decomposition) of these bodies, even though they are beyond Roche limits of entangled partners (note however, that the absence of dark matter and effective decrease of local G could be interpreted as increase in Roche limits) - by making them more sensitive to impacts. Possibly negative entanglement might have contributed to significant oblateness of Vesta and Pallas (result of impacts).


Hygiea was probably oblate as well, its current spherical form is probably the result of a re-accumulation process following an impact, as others have hypothesized already[
24]. Impact may have resulted in significant mass loss of Hygiea (its mass is one order of magnitude lower than the mass of Ceres), however, it cannot be excluded that Hygiea has been recently reanimated (coupled with a large scale graviton) and is acquiring mass through impacts in the process of body development. Recently established hydrostatic equilibrium could go in favour of this interpretation.
Resonance in temporal periods may be important for energy exchange, but what about spatial resonances?
These may be important for information exchange which is certainly more important for living bodies than for the dead ones. And here, using orbital circumference instead of a period, Ceres has the maximal number of entanglements while Hygiea has minimal.
Although correlation of orbital momenta with communication should not be surprising, it is unlikely for orbital (or spin) angular momentum to be used for communication itself.
Regardless of its nature (conscious/non-conscious) on this scale, communication within the planetary system is most likely to occur through variable electro-magnetic fields and charged particles. Communication between planetary systems may occur through absorption and emission of large scale gravitational waves (during energy level changes of large scale gravitons).
However, dead bodies could remain on the same orbit for significant time (eg. Ceres and Pallas have equal semi-major axes but Pallas is here assumed to be dead), thus, considering orbitals alone is certainly not enough to distinguish between living and dead bodies. Presence of a variable magnetic field on the other hand is probably a good indicator of life in planets and dwarf planets but this field may not be present on the surface for the whole lifespan of such bodies (I believe magnetic fields are generally present near the core of these bodies and only strengthen and extend beyond the surface during development).
Considering that the semi-majors of Pallas and Ceres are equal, possibly more important for communication is the entanglement involving only perihelia and aphelia. Here Ceres is again on top, however, Pallas is just behind. If one further assumes that entangled properties must be anti-aligned (eg. perihelion/aphelion entanglement) Ceres is a more convincing winner. Hygiea remains in the last place.
Shape of bodies is another thing to be considered. With current conditions on U scale, [large scale components of] living bodies on this scale should be elliptical (spherical) or torus(ring)-like. Considering all this, Ceres is most likely to be [still] alive.

Another component to be considered is the amount of dark matter. If the amount of dark matter in a body is greater than standard matter by orders of magnitude, the body should probably be interpreted as a relatively naked soul, and a relatively non-living or dormant system on its own. Note that souls (gravitons) can oscillate in scale/mass. Oscillation correlated with tidal interactions should be interpreted as continuous oscillation about the mean value of an energy level. However, at times of strong evolution, with the absorption/emission of large scale gravitational waves, U gravitons can change energy levels (in discrete jumps) and this then becomes another way for celestial bodies to acquire energy - transition between energy levels can produce heat through gravitational disturbance and effect on radioactivity. Both, temporary accelerated decay and inverse-decay of elements are possible (through influence on [coupling of] primary neutrinos/anti-neutrinos). Thus, energy level transitions could be interpreted as charging or discharging events. Note, however that, even if graviton transitions may be relatively discrete, discharging can proceed continuously on smaller scale (different scales of energy are relatively entangled and this relativity here is manifested in time dilation). Relative periodicity should probably exist in the transitions. As noted before, extreme eccentricities (low/high) could also signal the ends/beginnings of cycles. Here, minimal eccentricity may be proportional to the scale of bodies although its non-dimensionality suggests otherwise. In case of Jupiter, its low orbital eccentricity could signal the end of a, later hypothesized, 1st order cycle of the Solar System.
Are sudden changes of eccentricity of orbital bodies possible? Yes, but it all depends on the ratios between img and real mass and how fast do changes in graviton energy levels change the corresponding dark matter mass distribution. Assuming dark matter responds relatively instantaneously, energy [disturbance] carriers affecting real mass travel at the speed of standard light.
If, for example, Sun’s img mass is significantly greater than real mass, a change in energy levels of its constituent large scale gravitons will very quickly and significantly affect other bodies in the Solar System. If this is a temporary change (part of oscillation) it can be interpreted as a reset of orbital eccentricities to maximum values. As for the Sun, this would be manifested in sudden but temporary changes in radius and luminosity. Changes of this kind are probably relatively synchronized with energy level changes in living orbiting bodies as well (which probably generally happen more frequently). However, if img mass in these bodies is significantly lower than real mass (as hypothesized for terrestrial planets), the effect of local energy level changes on the body (size, activity) will not be as great although it should be noticeable (even over shorter timescales, and probably should be correlated with both extinctions and proliferation of life).
All living celestial bodies are then probably oscillating in radius/mass, although in varying amounts and over varying timescales (oscillation in stars and gas giants should be more pronounced than in terrestrial planets, for example).
5.1.5. Dwarf planets as localized neutrinos
If outer planets are mostly localized excited electrons (muon/tau), dwarf planets in the main asteroid belt should probably be localized muon/tau anti-neutrinos. Assuming Ceres represents a typical living muon anti-neutrino (although tau may be more appropriate), the mass of the standard (U
) muon anti-neutrino (or neutrino) then is:
M = Ceres’ mass = 9.38392 * 10 kg
M = Neptune mass = 1.02413 * 10 kg
M = standard muon mass = 1.883531627 * 10 kg
Assuming mass ratios between leptons and their neutrino partners are equal between all three pairs, standard electron neutrino mass is:
M = standard electron mass = 9.10938356 * 10 kg
Indeed, experiments done so far, confirm this is the [order of] mass of localized electron neutrinos[
25].
From this then, one can obtain the mass of a large scale (U) electron or a positron, it is about 0.5 * 10 kg, on the order of mass of terrestrial planets. Mercury and Mars are in a very good agreement with this mass. Masses of Venus and Earth are about 10 times higher and probably represent somewhat heavier particles, they are in excellent agreement with the masses of down quarks (the mass of the standard down quark is about 10 times the mass of the standard electron) or pairs of up quarks.
If Neptune and Uranus represent muon [electrons], Jupiter seems to represent a tau [electron]. Assuming 6% of Jupiter mass represents kinetic energy (as elaborated later), Jupiter’s rest mass is 1777 * 10 kg, this translates to a standard tau [electron] mass of about 1777 MeV/c, exactly as determined experimentally.
Coincidence? Hardly.
5.1.6. Alternative configuration
Mercury has somewhat lower mass than 0.511 * 10 kg, while Mars have somewhat higher mass than 0.511 * 10 kg (expected mass for a positron equivalent). This may be a consequence of horizontal mass oscillation (oscillation within the order of magnitude), however, other interpretations may be more likely. Mercury could be a dead planet at this point and it may have been originally coupled with Mars. Original Mars’ mass would then be about 2 x 0.511 * 10 kg. This would then imply that Mars is now in 1e state and the whole Solar System is in an unstable state, for which 10-Be configuration of states may be a more appropriate interpretation.
Jupiter and Saturn would then probably belong to the same shell (1s), Uranus and Neptune to another shell (2s). Mars is in -1s, transitioning from 2e to 1e, while Venus and Earth belong to -2s. Negative sign here indicates symmetry, eg. 1s and -1s states are symmetric relative to the main asteroid belt (fossilized event horizon).
5.1.7. Mass oscillation, symmetry and superposition
If Solar System’s maximal planetary mass (Jupiter) represents tau [electron] while minimal planetary mass (Mercury) represents electron (positron), the two states represent eigenstates of electron (positron) mass oscillation as well. If logarithmic superposition of two masses is considered as the reference mass frame, the lower eigenstate mass can be considered negative (a relative Dirac’s hole), the higher positive. Superposition is then the lowest energy state of the system (pair), where both particles have equal masses and 0 relative mass. This should then be the most likely state, and masses of exoplanets should clump about the mass of the superposition, or half the mass of superposition if it is not strongly localized (shouldn’t be in case of pairing of inner and outer planets, but may be in case of pairing of particles in 2e states).
Mass of the superposition is:
M = Mercury mass = 0.330 * 10 kg
M = Jupiter mass = 1898.190 * 10 kg
One half of this (representing single planet in 1e) is 1.25 * 10 kg = 2.095 M.
Interestingly, this is not only in agreement with the transition point between terrestrial and Neptunian (ice) worlds (2.0±0.7 M
[
26]) but the two masses indeed represent the clumping points of exoplanetary masses.
Masses of detected and confirmed exoplanets, up to 1 Jupiter mass, are shown in
Figure 7.
Evidently, not only are masses clumping about the superposition, but the two peaks corresponding to calculated masses are evident as well.
Other peaks are interesting as well. The peak at 317.8 M (Earth masses) is exactly equal to Jupiter’s mass. This is conventionally unexpected, but not surprising if Jupiter is the tau [electron] equivalent. The peak at 158.9 M can be explained by down quark oscillation, assuming standard down quark mass of 4.588 MeV/c (4.588 * 10 kg on U scale), and oscillation equivalent to lepton oscillation (conserved ratios between mass eigenstates), the 158.9 M would represent a muon down quark equivalent. Note that the mass of Saturn can be explained similarly. Assuming standard up quark mass of 2.7475 MeV/c (2.7475 * 10 kg on U scale), the muon up quark equivalent mass is 568.32 * 10 kg (equal to Saturn’s mass, which here probably represents muon up quark antimatter equivalent).
Note that standard muon electron mass is 105.7 MeV/c, which should then be 105.7 * 10 kg on U scale, explaining mass of Neptune (which is only slightly lower, at 102 * 10 kg). Uranus probably also represents a muon electron, albeit possibly dead (leftover real mass) or in transition.
5.2. EH operator validation
If the carbon atom at appropriate density/pressure is the Solar System equivalent, carbon photon is the carbon atom of lower scale (vertical energy level).
One can thus calculate the [average] mass of photons or photon scale particles, eg. electron half-photon:
However, obtained half-photon mass above assumes linear progression of discrete states of scale invariance (vertical symmetry, distance in scale from U to both U and U is equal), which is against the postulates of CR - although this can be the mass of a half-photon in another time (another cycle state).
Thus, CR predicts asymmetric invariance with exponential progression of discrete vertical states. Using this prediction, the masses of standard photon [scale] electron equivalent (half-photon) and carbon graviton have been calculated already in CR (yielding 9.10938356 * 10 kg for the [electron] half-photon mass, 1.663337576 * 10 kg for the half-graviton mass), but the values can also be obtained using EH operator.
Using EH factor 6/4 on the orders of magnitude of mass distances:
gives M
= 3.910613743 * 10
kg for the mass of graviton in current cycle state, and m
= 6.06011796 * 10
kg for the mass of Neptune in current cycle state. Neptune mass is obviously not in agreement with current total Neptune mass (unless one considers scaling of the gravitational constant G), however, total mass is the sum of real and img mass and this could be interpreted either as real or img mass component of total mass (see next chapter, where one mass component of Neptune is calculated to be approximately on the order of 10
).
Mass of a half-photon can now be obtained from M
:
Note that, in current state the ratio of magnitude distances from electron to graviton and from electron to U
electron (Neptune) is:
So, for the inverse state (4p6n):
Respecting conditions for the EH inverse, the following values are obtained: mass M = 3.910613743 * 10 kg of [C outermost] electron equivalent in U.4p6n (= M in U.6p4n ≈ graviton neutrino mass), M = 9.10938356 * 10 kg for the mass of Neptune equivalent in U.4p6n (= M in U.6p4n), M = 3.719162593 * 10 kg for the mass of graviton in U.4p6n, m = 4.18129939 * 10 kg for the mass of Neptune in U.4p6n (= m in U.6p4n ≈ electron neutrino mass).
5.3. Outermost angular momenta and c confirmation
With angular momentum conserved between the Solar System equivalent at U
scale (here assumed to be a
C atom at equivalent scaled density/pressure) and the Solar System, one may attempt to calculate angular velocity of the outermost electron in that equivalent. From this then, with c
equal to standard speed of
light (c), c
can be obtained. Conservation of angular momentum gives:
M = Neptune total mass = 1.02413 * 10 kg
v = Neptune orbital velocity = 5430 m/s
r = Solar system charge radius = Neptune orbital radius = 4495.06 * 10 m
M
= U
scale Neptune equivalent total mass = 9.109182827 * 10
kg (see
Table 1)
v = U.Neptune equivalent orbital velocity
r = C charge radius = 70 * 10 m
The above gives the outermost electron velocity in case of conversion of both mass and orbital radius into angular velocity, for a point energy in constant vacuum density. The result is, of course, unrealistic due to disregard for relativistic effects.
Mass M must have been relativistic before the [real] speed limit was reached (vertical energy level changed) and it became stabilized as mass M.
Thus, in order to get the orbital velocity just before the [vertical] energy level change, mass on one scale must be equalized with relativistic mass on another (M
= M
), this gives:
With real mass not participating in inflation (maxima inflate naked), this velocity is effectively the velocity of space, making it potentially valid even in the context of General Relativity (GR).
Using conservation of energy and non-relativistic standard graviton mass (rest mass), one can now obtain the velocity of the outermost electron in the standard (
C) equivalent of the Solar System:
R
= U
.Neptune radius = 3.834298096 * 10
m (see
Table 1)
This gives v = 5.585837356 * 10 m/s, for the velocity of the outermost electron of a standard C atom [in Solar System equivalent state].
To confirm validity of the result one can calculate this velocity differently. Introducing the term total velocity (v) as the sum of electron’s spin and angular velocity.
Per CR postulates, every spin momentum must be an orbital momentum. If one assumes that, once captured by the atom, the outermost electron self-orbital (spin) momentum becomes the nucleus-orbital momentum, in ground state (with quantum number l = 0) thus, total momentum of the electron is:
Using m = M
≈ M
and r = r
, this gives v
= 8.269308487 * 10
m/s. Once localized, this momentum in the atom is further divided between orbital and spin momentum. With the ratio between spin and orbital velocities equal to Neptune spin/orbital velocity, one obtains electron orbital velocity:
s
= Neptune spin velocity = 2660 m/s
v = Neptune orbital velocity = 5430 m/s
Two results for the velocity are in good agreement. Small difference can be attributed to uncertainty in vacuum energy density - a value of 9.79 * 10 kg/m would yield the correct value.
From this one can now obtain the speed of
light on U
scale:
The result is in agreement with c previously obtained from relativistic energy of the Solar System (2.93 * 10 m/s).
5.4. The extent of validity of c
The speed c (2.93 * 10 m/s) has been calculated as the relevant quantization constant and speed limit for particles of Sun’s scale in local space. But what is the extent of that space?
Any private space should be entangled with a specific gravitational maximum. The Sun should be orbiting this maximum. Therefore, its centre is likely to be the galactic centre, while its radius can be inferred from motion of stars - stars orbiting close to this maximum should orbit at average velocities close to c.
According to measurements, stars with such velocities are concentrated at the galactic centre, near the supermassive black hole Sagittarius A* (Sgr A*). It appears that there are no stars in Milky Way orbiting at velocities ≥ c
. In example, as of August 2019, the fastest star orbiting Sgr A* is S62[
30].
For the enclosed mass M of 4.15 * 10
M
[
31], its Keplerian orbital velocity at determined semi-major (r = 740.067 AU = 1.10714 * 10
m) is:
G = standard gravitational constant = 6.674 * 10 m/kgs
This is a strong evidence for c
being the maximum velocity for all stars in Milky Way. The radius of the associated gravitational maximum should thus be the radius of the event horizon for these stars. For mass M of 4.15 * 10
M
, this radius (semi-major) is:
Note, however, that speed limits are inherently linked to gravitons and depend on their scale. As shown in CR (see chapter Discrete states of invariance - Lorentz factor - Determination of c - Applying speed limits), different limits may apply to two bodies of apparently similar mass - depending on the scale of graviton[s] coupled to this mass.
A living star, for example, is considered to represent a collective of U scale matter (standard atoms) coupled to a graviton of U scale. As such, this body should respect the speed limit c. However, if the coupling (entanglement) is lost, the body of U matter (dead star) is now limited by c and can exceed c.
In effect, with the conservation of linear momentum and assuming no mass-shielding exists in coupling, dead stars may reach a velocity of 2 x c after decoupling (and may not typically exceed that velocity, although theoretically possible).
5.4.1. Explaining galactic structure
The collapsing spin-alternating gravitational maximum can explain extremes in angular velocities of a galaxy and bright (ignited) regions. It can also explain the young counter-rotating disk(s) of massive stars close to galactic centre[
33].
Not only that, it can explain the structure of a galaxy, assuming it is a large scale quantum system:
the gravitational maximum is oscillating between discrete energy levels,
there are energy levels it is more likely to occupy than others (explaining discontinuities in density),
stability of states is different for different galaxies and may differ between levels (stability is inversely proportional to eccentricity of arms),
an energy level may split into two.
As the maximum is spiralling between states it is affecting momenta of gravitational maxima of smaller scale (eg. those forming stars and planets).
The number of spiral arms is then proportional either to the age of the galaxy, or to the number of oscillating gravitational maxima.
Oscillation of this large scale energy should affect [and thus imply oscillation of] smaller scale energy (possibly explaining at least one order of general oscillation of stars, as hypothesized in chapter The cycles).
Nature of supermassive black holes
While black holes can be remnants of massive stars, some black holes may not be remnants (at least not remnants of U scale stars) rather producers of stars. This is likely true for supermassive black holes in galactic centres. Assuming these were originally much larger (the associated U gravitons were on a higher energy level), the mass lost with the energy level change could be the mass that fuelled creation of stars. If radiation in the form of photons was the major constituent of energy in early universe, the high energy photons colliding (annihilating) at relative event horizons (gravitons or gravitational maxima) of these black holes could have produced highly energetic pairs of gravitons of larger scale where one was expelled outwards and the other inwards. Inflation of these maxima then resulted in formation of stars and, with similar energy level changes of stars (deflation of their U gravitons), planets. If standard light atoms (fuel for stars) were also created in photon annihilation at event horizons and, with most of these horizons equally polarized (expelling matter outwards, anti-matter inwards), this could resolve the issue of [at least some] missing anti-matter.

Note that produced and accreted orbiting fuel (hydrogen) could be, guided through magnetic field lines, delivered relatively directly to forming stars. This would imply high initial electro-magnetic polarization of gravitational maxima and would explain high two-dimensionality of galactic and planetary planes. However, the high initial [large scale] electro-magnetic polarization was obviously generally not conserved in stars (or U bodies in general) - it has been (with inflation) converted to gravity through coupling (relative superposition) of opposite charges.
5.4.2. History in barycentres
What is interesting about the obtained galactic graviton radius (with Keplerian velocity equal to c
) of 428.838 AU (0.002079 pc) is that this is also roughly the barycentre location between the Sun and the assumed mass of the supermassive black hole Sagittarius A* (4.15 * 10
M
). Studies show that stars
close to Sagittarius A* (SgrA*) actually orbit the mass centred about the same[
34] distance[
35] (0.00205 pc) from the nominal radio position of SgrA*. I wouldn’t call this a coincidence. This suggests that the Milky Way’s supermassive black hole SgrA* seems to be located about 428 AU from the dark mass centre.
One interpretation is that the SgrA* is the result of spin localization (collapse) of the gravitational maximum from about 428 AU radius to about 0.1 AU (Schwarzschild radius). The 428 AU could then now be the orbital radius of SgrA* itself. However, I still believe there are at least two galactic maxima, where the other could have a radius equal to 428 AU and a mass of about 9.7 * 10 M in the form of a dark matter halo (assuming that most of 4.15 * 10 M is indeed concentrated in SgrA*). The SgrA* could then be interpreted as the core of this body.
Another interesting, and relatively analogous, case is the barycentre between the Sun and Jupiter. Its distance from Sun’s centre is:
r
= Jupiter-Sun distance = 778.479 * 10
km
M = Sun mass = 1.988500 * 10 kg
M = Jupiter mass = 1898.13 * 10 kg
This is close to the Sun’s surface radius of 695700 km. In a later chapter, I have calculated that the Sun’s initial radius was 0.94 R, or 6% lower than the current radius (due to acquired kinetic energy), which has increased slowly to current value with energy radiation. I have also calculated that the Sun should have spent most of acquired energy by now as fusion fuel (its current radius is equal to its rest radius - radius it had before acquisition of additional energy). Sun’s mass has increased by 6% (of current value) with kinetic energy, but what about Jupiter? Assuming it existed at this point (it probably did, other planets probably did not) its mass would have probably increased by 6% (of current value) as well. The barycentre between the current Sun mass and 6% lower Jupiter mass gives a value of 697888 km - basically equal to 1 R. For a short time then (changes across the system cannot be absolutely simultaneous) the barycentre may have been exactly at the Sun’s surface. I wouldn’t interpret this as coincidence either.
I believe then that the primordial radius of one of the Sun’s gravitational maxima was equal to 1 R, but may have collapsed closer to the core with mass acquisition during Sun’s formation.
The 6% difference in creation
I hypothesize that planetary systems start as binaries - whether their gravitational maxima were inflated from smaller scale or deflated from larger scale. This is a consequence of condensation, where nucleus and inner components of the atom are condensed into a single body, while outer components (ie. electrons) are condensed into a separate body. This may happen in an annihilation event - as in the moment of annihilation where velocities cancel the effective local temperature is close to absolute 0, resulting in condensation.
The Solar System thus inflated as two bodies, which now represent Sun and Jupiter. This is why acquired kinetic energy is concentrated in these bodies. However, shortly after inflation the superposition of gravitons (gravitational maxima) has decomposed into multiple components. The primordial Sun superposition thus
gave birth to terrestrial planets while Jupiter superposition
gave birth to Saturn, [which gave birth to] Uranus and Neptune. Evidence for this entanglement exists in these bodies. As it will be shown later, major discontinuities in the Sun correlate with orbital radii of terrestrial planets. Similarly, discontinuities in Jupiter correlate with radii of other outer planets. Discontinuity in Jupiter at 0.84 R
(58725 km) matches almost exactly the radius of Saturn[
36] (58232 km), while discontinuity at 0.68 R
is the sum of Uranus and Neptune radii (Saturn’s core may be of the same size as well[
37]).
However, even though gravitational maxima were initially in superposition, does the kinetic energy affect only the outermost (greatest) maxima or all of them? And, did they all keep this energy or did it concentrate into separate bodies (perhaps closer to the Sun)?
Table 3 shows calculated 6% excess mass for outer planets.
Table 2.
Possible kinetic mass components of outer planets
Table 2.
Possible kinetic mass components of outer planets
| planet |
mass (10 kg) |
6% of mass, if kept (10 kg) |
6% of mass, if lost (10 kg) |
| Jupiter |
1898.190 |
113.8914 |
121.161 |
| Saturn |
568.340 |
34.1004 |
36.277 |
| Uranus |
86.813 |
5.20878 |
5.541 |
| Neptune |
102.413 |
6.14478 |
6.537 |
Assuming Jupiter and Saturn kept the mass, but Uranus and Neptune lost it, they may have lost it to terrestrial planets as the total lost mass is roughly equal to the sum of terrestrial masses (12 * 10 kg). However, even if that is the case, the terrestrial planets must have already had some mass (on the order of 10 kg). Thus, the lost mass could probably account for the moons of outer planets as well. However, it may be more likely for the lost mass to be in Kupier belt objects. Note that decomposition of the primordial Sun and Jupiter can be interpreted as de-localization of energy. I believe that gravitational maxima of terrestrial planets had radii roughly equal to current orbital radii before they were localized again, this time into separate bodies, orbiting the original body (the Sun). Similarly, acquired kinetic energies of Neptune and Uranus delocalized and then collapsed into other particles. This scenario of formation of a planetary system implies most bodies in it are more or less entangled.
What happens when the Sun spends the acquired fuel (6% mass) through nuclear fusion? I hypothesize that the event marks the end of a 1st order cycle of the Solar System. This is further explored in later chapters.
The above, however, treats all planets equally, as if they all have one major gravitational maximum. Assuming Jupiter and Saturn are in 2e configuration, as hypothesized, they should have two major maxima.
Assuming 6% of one maximum has been
lost (collapsed to form a separate body or bodies), with 6% of the other kept (absorbed), rest mass of Jupiter must be:
Similarly, rest mass of Saturn must be 532.063 * 10 kg, or, with both quanta kept, 500.139 * 10 kg.
But, assuming the mass is lost, where is it? Interestingly, one quantum of Saturn’s lost mass (36.277 * 10
kg ≈ 6.1 M
) could account for, elsewhere hypothesized planet Nine - whose most recently estimated mass is about 6.2 M
[
38] (Earth masses). Similarly, Uranus’ lost mass could account for another, elsewhere hypothesized, planetary mass object in the Kuiper belt[
39].
Also interesting is the fact that total lost mass is in agreement with the conventional consensus predicting that Kuiper belt must have originally contained 30-50 M
of material[
40].
This may not be a coincidence, this material would be the real mass coupling to lost (discarded) dark matter mass and if two masses are equal the wells would be at full capacity. Most of this real mass is, however, missing - which is not the problem for the Solar System formation hypothesis presented here.
6. Initial setup and regular disturbances
As noted before, Solar System is likely the product of inflation (likely through annihilation) of smaller scale particles or/and deflation [through annihilation] of particles of larger scale.
Suppose that at the moment of annihilation the carbon atom was briefly ionized and its mass and charge were condensed into the core when it started inflating. With the electrons inflating along, eventually, due to attraction, the core charge would separate from mass again.
The energy provided for transition between adjacent energy levels is generally higher than required, thus, the flattened carbon atom probably initially expanded to multiple times its current radius, then compressed to current size, reaching the stable state of the energy level.
The atom nucleus in the process expanded up to the main asteroid belt, then compressed, leaving behind orbiting gravitons which collapsed (localized) to form terrestrial planets. The collapses were recorded in the Sun, forming discontinuities. With the inflation of scale, electro-magnetic potential was exchanged for (or annihilated to) gravitational potential.
In the transition from charged two-dimensional ring to three-dimensional sphere, equatorial spin momentum has been fragmenting and [due to spin decoupling] spreading to (forming) polar regions.
Latitude variable rotation may have been initially established as the product of conservation of momentum in such redistribution of mass, even if it now may be sustained differently.
Besides the long lived energy level changes, short lived (temporary) inflation/deflation of gravitational maxima will occur with the absorption/emission of [properly scaled] gravitational waves, which may be electrically polarized (electro-magnetic).
Such disturbances will generally occur at regular intervals, with periods generally increasing proportionally to the scale of the system and the scale of disturbance. On the scale of stellar systems, common minimum periods are on the order of millions of years (although smaller periodic disturbances of the system should exist too, these may be of different nature).
Large scale events are always preceded and superseded by smaller scale events so accelerated evolution may proceed for years on smaller scales before the actual disruption on larger scale occurs.
One may now attempt to calculate how much such disturbances last on the large (cataclysmic) scale.
With no change in energy level, orbital areal velocity of bodies, per Kepler’s 2nd law, must remain constant and there should be no change in constitutional mass either.
Assuming img mass is greater than real mass, with the temporary collapse of a gravitational maximum of the Sun, escape velocity is extremely reduced and orbiting neutral real mass will be increasing orbital radii (although solid mass will generally preserve volume due to smaller scale electro-magnetic and neutral gravitational forces).
In order for this to be a temporary disturbance (no loss of structural entanglement), collapse must not exceed a specific time period - orbital period of the constituting mass of the system. This then implies that semi-major axes (and thus orbital periods) of orbiting bodies are not affected by the disturbances, only orbital eccentricities are increased.
Applying the same to the Sun’s constitutional mass, approximating gravitational maximum as a point maximum (linear ejection of mass from centre) and assuming Sun’s constitutional mass barycentre at the [inner] core radius at the time of collapse of the Sun’s maximum, maximal allowed ejection distance r at the time the gravitational well is fully restored is:
R = Sun radius = 695700 km
r = inner core radius = 1/5 R = 139140 km
Maximum time between the collapse and full restoration of the well is then:
where f
(1644 nHz[
42]) is the rotation frequency of the Solar core.
In the context of CR, evolution of systems generally does not proceed at uniformly constant rates, it is generally a process with cyclic strong (cataclysmic) changes and a slow (weak) continuous evolution through the cycle.
As I came to realize this I went outside, in despair still burdened by the thought. It was 2 past midnight, I lied on concrete, still entangled with the summer day.. Looking upon the heavens, once again for signs of confirmation I was not expecting to find - "a comet would suffice", I’ve told my self inside. Not a minute away, there it was, a comet passing right in that patch of the sky I’ve been absorbing with the eyes.
Enlightened by the dark, a thought emerged from my self.. Up until recent times my life seemed like a movie scripted by dice thrown by chance, but now, now I did not believe in things anymore, I simply knew..
This life ain’t a fairytale based on true events, but reality based on a fairytale...
7. The cycles
Changes in energy of the Solar System cannot be exempt from general oscillation and remain uniform over its lifetime.
For the Solar System, I hypothesize the following 3 periods (some evidence for which will be provided in this paper, some in follow-up papers) for the first three orders of general oscillation:
These are cycles of existence of the Solar System and its bodies.
Only the 1st and the 2nd order cycles may result in horizontal energy level changes of large scale gravitons, but all these disturbances are probably sourced in gravitational stresses and have strong effect on the evolution of the system (and all life within), which is temporarily accelerated at the end of each cycle.

The 1st order period could be interpreted as lifespan (or lifecycle) of the Solar System as a whole. At time of death, gravitational maxima of the Sun [and likely all planets] collapse in scale (and probably into superposition or, more likely, binary superpositions) exchanging local momenta for galactic orbital angular momenta. Eventually, this system will couple with real mass and inflate again, possibly even into the same species (C/Be in this case). It may even couple with the same real mass again (recycling it) if it doesn’t change the galactic energy level (orbital radius), in which case the collapse may be interpreted as temporary loss of consciousness (this recurring coupling should be manifested as reignition of the star after the explosion/expansion of plasma during collapse). The finite orbital speed of gravitons then puts constraints on the periods of time between the collapse and reignition. If these gravitons would orbit at the standard speed of light, reignition of a star at the distance of 25800 light years from galactic centre would occur after about 162106 years. However, assuming these gravitons orbit at the speed c (U.c) reignition occurs after about 16.6 million years (note that possibility for coupling is quantized by this period, if 1st re-coupling fails another try can occur after another 16.6 million years, although probability for re-coupling probably decreases exponentially with time). Assuming img mass of a planetary system is significantly greater than real mass, decoupling will cause significant drift (from the original orbit) and spreading of leftover real mass. This then decreases the probability of re-coupling (reignition) but possibly not much as the original orbit of naked gravitons is probably eccentric. In fact, it is possible that decoupling occurs once the tidal energy is dissipated and the orbit is circularized (not necessarily due to circularization, rather synchronized with it). Gravitons may have innate tendency toward specific eccentric orbits (possibly even specific inclination). Circularization, then, would be increasing tension in coupling and since this tension is maximal in a circular orbit, that is also the state of greatest probability for [natural] decoupling (death, or temporary loss of consciousness in case of reignition) which may also be interpreted as breakdown of entanglement with particular real mass. Orbital momenta of naked gravitons should, however, be understood as relative - as decoupled gravitons of planetary systems could be inflating (rather than deflating) in scale so the orbital radius of the original system becomes the radius of the graviton (which now can be interpreted as a wave, or a non-localized graviton, in some reference frames). Regardless of interpretation, period between collapse and reignition should be on the same order of magnitude (smaller by 6 million years at most in case of speed c) and probably the same in value as well (which would imply that the system is inflating/deflating and rotating/orbiting at the same time).

The system of naked gravitons may also inflate or deflate through annihilation or fusion with another system, and then start evolving as new lifeform of another generation or new species, acquiring real mass in vicinity.
In any case, death and new conception are relatively synchronized, and, for these species death is likely not the same as death on our scale. In these species, discarded real mass may be fully reused by another soul - with no significant decay and decomposition of the mass involved (regarding the individual components of the system, this seems more likely for planets but not as likely for stars as planets are not expected to expand fast with the graviton collapse).
The 2nd order period could be interpreted as the lifespan (lifecycle) of Sun’s core and Jupiter, and possibly all outer planets. Based on current evidence, these collapses should be temporary regardless of nature (death or loss of consciousness). Naturally, even if the large bodies of real mass of gas giants are not disturbed much, the collapses should cause orbital disturbances, and are likely to induce bombardment of terrestrial planets with asteroids.
These should thus be correlated with large extinctions on these planets.
The 3rd order period could be interpreted as lifespan (lifecycle) of Earth and possibly all inner (terrestrial) planets (at least in the order of magnitude). Based on evidence, this collapse too is temporary.
Collapse of Earth’s maximum should be synchronized with accelerated evolution of life on its surface. Evidence exists for accelerated human evolution 1.4 - 1.6 Ma[
46]. Thus, another such event (effective time compression) should be happening right about now if the 3rd order period is 1.512 My.
All of these periods are time averaged, deviations will exist, but larger periods should be relatively quantized by smaller periods.
Ongoing extinction on Earth may be correlated with the end of a 3rd order period, however, everything suggests this is also the end of a 2nd order period. And, considering the age of Earth and the Solar System, we may be at the end of a 1st order period too. Thus, major cataclysmic changes should be relatively imminent. While I am convinced that the ongoing 6th major extinction on Earth is synchronized with the end of the current 2nd order cycle, the end of the 1st order cycle may be more synchronized with the end of an additional 2nd order cycle, some 26 million years away.
Currently accepted age of Earth and the Solar System, based on uniform evolution and absolute decay rates of elements, is probably wrong. Per CR postulates, decay rates of elements cannot be constant over all time, they must change, either directly with changes in pressure and density of space (eg. at times of graviton collapses), or effectively - eg. with cosmic ray bombardment.
The rates may be relatively constant during weak evolution, however, at the end of a cycle that is synchronized with graviton collapse (eg. the 2nd order cycle) the rates should be significantly, even if temporarily, disturbed (eg. accelerating decay). Full collapse is probably not even required. Most likely, the rates are disturbed with the end of a cycle of any order, only the magnitude of disturbance is proportional to the cycle magnitude (period). The magnitude of disturbances will be calculated later.
It is probably safe to assume that the type of induced decay (beta decay or inverse beta decay) depends whether graviton energy level is being increased or decreased. If the graviton is oscillating between energy levels, then, in some cases, assumption of constant decay rates (although incorrect) will not produce anomalous results. However, if energy levels are exclusively increasing (as it is probably the case with planets in development) or decreasing with each jump (probably the case near death) the assumption of absolutely constant decay rates will produce incorrect results.
7.1. Smaller periods
Assuming the ratio between 3rd and 4th order periods is equal to the ratio between 1st and 2nd order periods, and the ratio between 4th and 5th order periods is equal to the ratio between 2nd and 3rd, the following periods are obtained for the 4th and 5th order:
While 4th order disturbances could be cataclysmic they (and their effects) should be relatively short-lived and may not generally produce global effects on Earth.
The analysis of recent magnetic excursions and supervolcanic eruptions shows excellent agreement with the proposed 4th order period, as shown in
Table 4, for the last 9 cycles.
Agreement with hypothesized associated events is remarkable, however, if the proper date for Laschamp is 41.2 ka and assuming Gothenburg magnetic excursion (13.75 - 12.35 ka[
56]) is also a part of this cycling, it is possible that the 4th order period of 9221.4 years occasionally (or regularly?) breaks into two equal periods (2nd harmonic) - which could, apart from these two, also
explain the 14-12 ka Lake Michigan/Erie excursion, enhanced
Be deposition in Antarctic ice ≈60 ka[
53] and the Younger Dryas cooling/extinctions ≈12900 years ago[
57].
In case of 2nd harmonics, the alternative interpretation is superposition (in the form of arithmetic average) - eg. arithmetic average of calculated 36885.6 and 46107.0 years is 41.5 ky (note that this corresponds to one of the Milankovitch cycles - obliquity cycle). Similarly, the 2nd harmonic, or the superposition of 18442.8 and 27664.2 gives 23.1 ky (average of another Milankovitch cycle - apsidal precession[
58]), all in agreement with orbital periodicities found in Vostok ice cores[
59]. In fact, all the periodicities derived from Vostok cores (100 ky, 41 ky, 23 ky and 19 ky) can be correlated with the main 4th order period (9221.4 y) or the 2nd harmonic.
The presence of harmonics probably should not be surprising given how common is resonance in celestial mechanics. Evidence exists for the 2nd harmonic (≈13 million years) of the 2nd order period (25.92 million years) too[
60].
Of course, as there are no absolute constants in CR, these periods should be oscillating and evolving, even if weakly. Also, temporary disturbances of oscillation cannot be excluded, as well as the possibility for some harmonics to only be present occasionally (eg. close to events of strong evolution). For these reasons, the hypothesized periods should probably be understood primarily as relatively constant average intervals between associated events at times these are occurring.
However, possible deviation is proportional to period length (but should be of smaller magnitude), and remarkable agreement of the 4th order period with correlated events suggests deviation for the 4th order period may be generally small, up to a couple of decades at most.
Particularly interesting is then the
Be enrichment about 9197 years ago[
47] (9125 b.p.), which would give year 2046 for the next excursion, assuming there’s no deviation.

7.1.1. Excursion mechanics
Long-lived magnetic reversals do not show periodicity, however, according to the above, there is periodicity in magnetic excursions (which can include short-lived reversals as well - like in case of Laschamp, but generally only include reduced magnetic field strength and pole wandering).
Like larger periodicities, the 4th order periodicity is most likely to be correlated with orbital mechanics. If that is so, magnetic excursions are likely synchronized with impacts (others have already proposed impacts as the cause[
67]). These impacts and excursions are then correlated with climate changes.
If the end of a smaller cycle is synchronized with the end of a larger cycle, the impacts should be greater. In addition to asteroid impacts, the event should be relatively synchronized with rising mantle plumes, increased volcanism, seismicity and bigger rapid climate changes that would fragment the atmosphere, part heating, part cooling - with the collapse of the Atlantic Meridional Overturning Circulation (AMOC).
A magnetic excursion or reversal would generally cause an increase in solar/cosmic radiation, however, again, it’s probably more appropriate to say that increase in radiation is synchronized with the magnetic field collapse. Thus, instead of increase in radiation being caused by reduced magnetic field strength, the increased radiation may be due to a violent solar storm - solar mass ejection directed toward Earth (which would further suppress the magnetic field, and which would then potentially result in collapse).
In contrast to Earth, magnetic reversals in the Sun do show periodicity. It may very well be that magnetic excursions on Earth are periodic due to periodicity of mass ejections from the Sun toward Earth. It wouldn’t surprise me if there are also asteroids near Earth at time of these ejections, whose impacts on Earth may be correlated with the same. In a later chapter I show that most likely years of pending asteroid impacts in the current event could be predictable. According to these calculations, first possibility is about the year 2029, then 2040, 2048, etc.
Interestingly, the calculations also predict Tunguska and Chelyabinsk events, however, although they may be associated with the current magnetic collapse, I am not convinced that these are the last. Although very energetic, Tunguska event apparently did not include a direct impact, while Chelyabinsk event was of relatively low power, certainly not of such power that it could be interpreted as the [relative] cause of magnetic collapse. Even if causality is relative and the effect can precede the presumed cause, the cause should still match the effect and these two do not match the large scale event.
8. Effects of mass and gravitational stresses on Keplerian motion
Orbits of bodies in gravitationally bound systems are generally expected to obey the following equation (orbital law):
G = gravitational constant
where v and r are orbital (Keplerian) velocity and radius, respectively, while M is the mass contained within the radius r.
In planetary systems, most of the mass M is contained within the star, while in galaxies, greatest mass concentration is in the central supermassive black holes (with no outer dark matter taken into account).
However, in both systems, there are orbits at which the equation is apparently not satisfied - v is either higher or lower than expected for observed mass M.
In galaxies, it is assumed that the discrepancy is caused by exotic gravitational mass - dark matter.
In planetary systems, spin of bodies does not obey the equation, but this is considered natural and largely ignored.
In CR, gravitational force of bodies with a distinct gravitational well may be largely provided by the gravitational maxima so [ordinary] matter content (real mass) may be low.
Thus, a potential equivalent dark matter problem may exist in stars, planets, dwarf planets and larger moons (asteroids and comets, at least those smaller and irregular, are composites of smaller scale wells [held together in most part by electro-magnetic force] so their spin momentum should not be Keplerian, even if their orbit about a body with a distinct maximum should).
The solution for terrestrial bodies lies in the loss of entanglement between space and matter orbitals due to interaction (collision) with other bodies, during formation of the body of matter.
Due to interaction of the atmosphere with a solid body beneath (or its origin), neither the gases of the atmosphere (or trapped particles from outer space interacting with the atmosphere) may obey the orbital law.
This suggests that even below a gas cloud rotating about a distinct maximum at non-Keplerian velocity there should be a solid core, at least in case of a neutral gas, however, angular component of velocity may be converted to radial and then to temperature.
If that gas is in the form of plasma (as in the case of Sun), it is more likely to be entangled with the charge component of a maximum (general force), which then should be the source of its non-Keplerian motion.
However, stability of a gravitational maximum is proportional to its mass and inversely proportional to gravitational stress.
That gravitational stress affects the number of sunspots has already been shown[
69], and here I propose that a sunspot pair is the result of a collapse of a quantum of a neutral gravitational maximum (which may generally be a superposition of multiple large scale gravitons) into a pair of [electrically] oppositely charged and relatively unstable smaller maxima.
A neutral component of a naked gravitational maximum is gravitational energy that may be referred to as dark matter, while visible or ordinary matter is real mass attracted to the gravitational well of such maximum. The velocity curves of the Sun and the Milky Way galaxy likely have the same solution - in the form of gravitational maxima and relativity of their nature due to exchange between polarized and non-polarized potentials of general force.
Rotation frequencies of the Sun (from the core up) and rotational velocities of several spiral galaxies are shown in
Figure 8.
On the left,
Figure 9 shows the rotational velocities of the Sun based on rotation frequencies from two independent studies, one for the core (r < 0.2R
) and other from the core up (black dots are interpolated values, red dots show velocities at 30
latitude).
On the right,
Figure 9 shows the complete velocity curve (with interpolated
connection between two curves) and dispersion of velocities (shaded area) due to differential rotation in the convective zone.
What is obvious from the figures is that Sun rotates like a composition of two solid or rigid bodies (diverging only in the polar regions of the convective zone), consistent with condensation of U scale down and up quarks (energy levels) into two ground states (+1s/-1s).
Evidently, velocity curve of the Sun is similar to a typical velocity curve of a spiral galaxy - in both cases there is an initial sharp increase in velocity in the core, followed by a decline, with each next increase in velocity being less steep than the previous one. Note that latitude dependent differential rotation may also be common at specific places in galaxies too.
If the spin momentum of the Sun is effectively immune to [large scale] collisions (even if the core would be solid, everything approaching the Sun is vaporized before reaching the surface), the only disturbance of Keplerian orbits must come from incomplete conversion of electro-magnetic potential and increase of temperature.
Assuming that orbital velocity is decreasing (from Keplerian velocity) proportionally to electro-magnetic potential, as hypothesized, orbital velocity of plasma should keep increasing with radius until it becomes equal to Keplerian velocity, beyond which point there should be no accumulation of charge and the radial component of the solar wind should dominate.
Using approximation of the velocity/radius dependence based on the velocity curve of the Sun (up to 130000 km from surface[
72]), and equalizing with orbital law:
one obtains the orbit of such discontinuity:
First results from the Parker solar probe indicate a significant rotational velocity of the solar wind around 40 R, peaking at the closest approach. The results indeed indicate a high probability of a maximum velocity around 33 R in case a rigid rotation of the solar wind is maintained up to that point.
Note that, even without rigid rotation, the discontinuity should occur near the point where velocity becomes Keplerian, otherwise, higher velocity would indicate dark matter presence - another maximum.
If the same is applied to the core of the Sun, the velocity at 0.2 R
should be equal to Keplerian velocity. Here, however, this velocity is the sum of Keplerian velocity of the surface maximum and a core maximum. For a surface maximum at R
:
s, s
∈ {-1, 1}
where M is the mass of the core maximum, s is the spin polarization of gravity of the core maximum and s is the spin polarization of gravity of the surface maximum.
Equalizing this velocity with measured velocity at the core discontinuity:
and setting spin polarization positive for counter-clockwise rotation [of the surface maximum], gives s = -1 and gravitational mass of the core roughly 3/2 the Jupiter mass:
which gives mean core density of:
implying the primary gravitational mass of the Sun is above the core. Difference in mass between the core and outer layers is roughly equal to the mass difference between inner and outer planets.
For the ratios to be equal, core mass must be 3 times higher, which suggests that space has been stretched (compressed, relative to core) from 0.286 R
(1.43 * 0.2 R
) to 0.2 R
. Modifying the equation for Keplerian velocity accordingly would give the initial mass (8.90211033 * 10
kg):
This stretching of space is evident in
Figure 10 in the sharp increase of velocity from 0.286 R
to 0.2 R
. To conserve momentum, this increase in velocities in the inner half had to decrease velocities in the outer half of the Sun, up to 1.18686 R
.
The two maxima are entangled - collapse of the inner maximum would cause expansion of the outer one, while the collapse of the outer one would cause contraction of the inner one.
Somewhere in the vacuum region of the Sun or below it, conditions may even be suitable for standard life. Note that radius of the core is almost 22 times Earth radius, if density is not isotropic, smaller bodies (moons) might be orbiting inside. Considering momentum of the Solar System barycentre, density should not be isotropic.
9. Symmetry/inversion between inner and outer planets
Obviously, inner planets differ from outer planets in terms of energy, size and composition, but the hypothesis of equivalence with (or inflation from) atomic constituents also requires certain symmetry between the two groups of planets - it is predicted that they are oppositely charged and should be spin entangled (or at least were initially).
The orientation of planetary magnetic fields goes in favour of the hypothesis - in one group of planets magnetic north is aligned with mass spin momentum vector, in other it is anti-aligned. Not only that, 3rd inner planet (Venus) relative to the main asteroid belt (event horizon) and 3rd outer planet (Uranus) from the belt seem to have inverted spins relative to other planets in the group. The fact that inversion occurs in the same place within the group (3rd planet relative to the asteroid belt) is further strengthening the hypothesis.
But, as it will be shown later, symmetry, relative to the asteroid belt, exists elsewhere too.
9.1. Ordered structure
Planetary systems may be grouped into classes depending on architecture. These classes are:
Ordered - where planetary masses tend to increase with distance form the star,
Anti-ordered - where planetary masses tend to decrease with distance,
Mixed - where masses show broad increasing and decreasing variations,
Similar - masses of all planets are similar to each other (like peas in a pod).
Assuming now that planetary systems did form by the inflation of annihilating gravitons one can make certain predictions on class distribution.
Annihilation of a particle/anti-particle pair will generally produce (inflate) another two particles with opposite momenta. Now assume relatively simultaneous annihilation of many such graviton pairs where gravitons are components of larger systems (ie. larger particles) so this is annihilation of matter/anti-matter systems and inflation of new matter/anti-matter systems.
The expected outcome is thus clumping of matter (eg. observable universe) on one side and anti-matter on the other side.
Such inflation scenario together with mass oscillation makes it possible for Ordered and Anti-ordered classes to be much more represented than expected by conventional models of planetary formation. Each side could even have a preference for one class over the other.
Indeed, studies show that about 37% of observed planetary systems belong to Ordered class, while simulations based on conventional models typically produce about 1.5%[
73]. No Anti-ordered systems have been observed (although some observation bias could exist - some systems may still contain undetected planets). Additionally, simulations predict 0% planets in habitable zones of Ordered systems, while in reality about 7% of these contain at least one planet in the habitable zone (The Solar System, in example, has 3).
Conventional models are obviously missing something, while observations go in favour of my hypotheses.
Another interesting structures going in favour of these hypotheses are binary systems. It is common for atoms of the same element to couple and form molecules, sharing electrons in a covalent bond.
Assuming such system of gravitons (with or without coupled real mass) is inflated, with acquired real mass it would form a binary planetary system with stars sharing planets in between. Molecular bond, however, could be broken in the process and stars may be separated by great distances. It would not be surprising then to find binary systems of
identical twins even greatly separated. Indeed, studies show that
identical twins are common and are commonly separated by hundreds or thousands of AU[
74]. This is hard to explain by conventional star formation theories - at such distances masses are expected to be random.
10. Quantization of momentum
Previous works based on Titius-Bode law have shown that planetary orbits are quantized[
75]:
More recently it has been shown that distances and orbital periods are consistent with quantized scaling[
76] (stable orbits are in harmonic resonances), rather than logarithmic spacing - from the Sun reference frame.
If orbital radii are quantized, orbital (Keplerian) velocities are quantized.
Here, it will be shown that angular momentum is quantized (from a proper reference frame), as well as surface gravity.
Orbital and spin angular momenta are correlated.
Gravitational maxima (event horizons) are, in an ideal case (no electro-magnetic polarization), sphere surfaces with a well defined radius. Mass spin radius and spin velocity of a body (particle) are radius and spin velocity of its gravitational maximum.
Surface gravity of a planet depends on real mass content (defining surface radius) of the well and mass of the maximum. Assuming ratio of used capacity to full capacity for real mass between the planets is roughly the same and assuming ratio of mass of a gravitational maximum to [the square of] its radius is equal between particles on the same energy level, surface gravities of planets will be correlated.
If velocities and radii are quantized, and if momentum is quantized, gravitational mass must be quantized too.
If gravitational mass and radius of a maximum are quantized, its surface gravity must be quantized.
For outer planets, radius of the maximum is here hypothesized to be equal to what is currently defined as the surface radius (1 bar pressure level).
When quantized, orbital angular momentum satisfies the following equation in Bohr interpretation:
where
ℏ is a constant, n is a positive integer number and m, v, r are components of orbital angular momentum - mass, velocity and radius, respectively.
Using total mass of the planet for m will not reveal quantization. In example, using Neptune’s mass of 1.02413 * 10
kg and setting n to 5:
one obtains the scaled
ℏ (Planck’s) constant for outer planets:
While the result is certainly interesting, the same ℏ will not produce quantized momenta for other planets (it needs to be scaled).
The mass which should produce quantized angular momenta is, as previously established (equation Q1.4), img (or initial real) part of total mass.
However, if surface gravity is correlated with spin momentum, it must be correlated with orbital momentum too, and one may obtain the following equation for surface gravity (derived later, in chapter
G relativity and sensitivity):
where
ℏ is equal to the obtained
ℏ above, M
and g
are Neptune’s mass and surface gravity, respectively.
In
Table 5, required total mass is the total mass (gravitational energy) required to satisfy the quantization by the QM Bohr interpretation (showing how far it can be from reality) based on obtained
ℏ relative to Neptune, calc. gravity is calculated surface gravitational acceleration, while acc. is the surface acceleration taking rotation into account.
Protons and electrons are parts of two different universes (as difference in scale suggests), so one should use a different ℏ constant for terrestrial planets (proton partons).
The angular momentum of Mercury (m = M = 3.3011 * 10
kg):
gives the scaled
ℏ constant for inner planets:
Surface gravity for inner planets, using obtained
ℏ, Mercury mass M
and gravity g
:
In
Table 6, showing calculated surface gravity for inner planets, required total mass is the total mass based on
ℏ relative to Mercury, while the
mirror is an outer planet candidate for [magnetic] spin entanglement.
Quantization can also be shown without using mass (directly), through the volumetric space-time momentum (gravitational momentum):
With h obtained from above, substituting mass with gravity, the equation for gravity becomes:
where g
is the gravity of Neptune, or, in case of terrestrial planets, the gravity of Mercury, and it yields the same results.
While the second equation will yield the correct results for gravity, the equation gvr = nh will not, showing the inverse coupling of gravity to momentum:
This gives, for outer planets:
for inner planets:
Now, one can couple mass with gravity:
and obtain relation to Sun’s gravity:
where g
is the gravity of the Sun at orbital radius r.
The above obtained
constants are based on total mass, for img mass, the quantum of gravitational force (
) may be treated as invariant between inner and outer planets (with properly defined
surface gravity g):
If surface gravity and spin radius are both quantized, then mass must be quantized too:
g = gravitational acceleration
M = mass
r = radius
and, with all three orbital components quantized (m, v, r), the orbital angular momentum would now be quantized if mass would be the same for all inner/outer planets.
However, masses between planets in some cases differ by multiple orders of magnitude so the img mass (large scale graviton mass) probably varies as well. But at least one solution for that exists - vertical mass oscillation of particles (equivalent to standard lepton mass oscillation, between generations).
Interestingly, similar planets (Venus/Earth, Uranus/Neptune) in this interpretation share the energy level (n). With Uranus/Neptune being outermost planets, and with expected symmetry, this suggests that the original orbit of Mercury (or, its graviton) was either between Earth and Mars or it was coupled to Mars (as already proposed in chapter Quantum nature).
Note that the following probably should be satisfied (with oscillations in superposition):
where m
, m
are masses of standard proton and electron, respectively. The factor N/P is the ratio of neutrons to protons in the Solar System atom. The relative high excitation of Mars (n = 10) and low excitation of Jupiter (n = 1) can then be correlated with a 6p4n (
C) state.
Some examples of planetary configurations for various states is shown in
Table 7.
Another evidence of entanglement between standard systems and planetary systems.
The correlation of the Solar System with carbon is interesting, as it suggests that the base element for life may be strongly correlated with system configuration. In that case, life in non-carbon planetary systems may not be carbon-based (which would in most cases probably imply changes in magic numbers for atoms as well) or may be less abundant due to lower abundance of carbon.
10.1. Proper quantization in QM
If one wants to compare the Solar System with a room temperature equivalent of a carbon atom in the context of QM, one must account for the effects of exchange of em potential with neutral gravitational potential, mass condensation and lepton oscillation.
In that case, img mass component of the total initial momentum (Q1.3, Q1.4), which is equal (relatively, but difference is negligible) between bound electrons, is the correct mass to be used in comparison.
Total initial momentum is the angular momentum, it is quantized and for all electrons in ground state should be equal to:
However, generally, total momentum is the sum of orbital and spin components.
Each quantum sub-shell may contain up to 2 electrons. If these are in condensed form, their momenta are strongly coupled, they will
behave as a single body, and the proper equation for the magnitude of total angular momentum per sub-shell is:
R = spin radius
T = spin rotation period
where s is the total [magnetic] spin of electrons in a sub-shell.
Since the value of m here is constant, its value is irrelevant to prove QM equivalent quantization. For the sake of argument, let it be equal to 7 * 10 kg (although it’s probably much bigger in case of outer planets).
In the 6p4n (C) interpretation, Jupiter has to represent 2 particles (2e configuration) so it is appropriate to derive ℏ from its momentum.
Assuming n = 1 (as expected) for Jupiter, l must be equal to 0, with s equal to 1, the
ℏ is:
Derived values of l and s (and obtained
ℏ using these values) for all the outer planets are shown in
Table 8.
The obtained value of ℏ for Uranus shows remarkable agreement with Neptune. The ℏ values for Saturn and Jupiter still agree well with Neptune’s ℏ (up to the second decimal), but increase in value with increase in spin radius is obvious. Likely reason for this is oscillation of spin velocity (radius) as noticed previously in quantization of gravitational momentum. Note that this is equivalent to ℏ oscillation, if one is to conserve discrete quantum numbers.
However, the orbital radius oscillates too. Note that orbital velocity is almost equal to spin velocity for planets in 2e configuration (Jupiter and Saturn). Setting orbital velocity equal to equatorial spin velocity and decreasing spin velocity proportionally yields much better results for Jupiter:
v
= 12571 m/s
and, similarly, for Saturn:
v
= 9871 m/s
One may attempt to do the same with positive charges (terrestrial planets), however, here, determination of spin radius is more challenging and spin rotation period is not primordial.
Instead of using matter (real mass) velocity, better results should be obtainable using primordial space (Keplerian) velocity at R
:
G = G = standard gravitational constant = 6.674 * 10 m/kgs
One possible configuration is shown in
Table 9 (with l and s of Earth/Mercury mirroring Saturn/Jupiter, Venus/Mars mirroring Uranus/Neptune, and spin velocity of Mercury set to its perihelion velocity).
Note that roughly the same ℏ for Earth can be obtained by setting l to 1, s to -1/2, and spin velocity equal to Keplerian velocity at surface (the value of s should probably be generally negative for terrestrial planets, as suggested by smaller spin radii/mass compared to outer planets).
However, proper spin radius equivalent to the spin radius of outer planets can be calculated.
From Q1.2 - Q1.5 follows that the current mass of a planet is the result of conservation of momentum (and velocity in it) during collapse of the orbital (
non-localized) maximum to a spin maximum:
With m
equal to 7 * 10
kg and with the assumption that r
is, for all terrestrial planets, equal to current orbital radius, spin radius is:
Here, spin radius should correspond to charge radius. However, obtained radii for Mercury and Mars appear to be too large, indicating that either the collapse did not occur at r or there were additional collapses.
However, here the actual value of m is important and another interpretation is possible - the initial assumption of great symmetry may be wrong. While outer planets correspond to electrons of an atom, the inner planets correspond to parts extracted from the nucleus and these may not all be positrons and not even leptons (rather quarks). In that case, chosen m, while it gives good results for Venus and Earth, is not appropriate for Mercury and Mars - it should be smaller.
Assuming m smaller by the ratio of mass between Earth and Mercury, one obtains a charge radius for Mercury of 679 km and 1373 km for Mars, which seem to be appropriate.

10.1.1. Formation of moons
In the previous determination of spin radii, the configuration (2e vs 1e) was not taken into account. However, even in case of 1e configuration, particles are [at least occasionally] likely paired with primary neutrinos and thus effectively in 2e configuration (the difference is in smaller m for neutrinos). All terrestrial planets should thus have 2 major gravitational maxima (which may be further split into smaller maxima). Therefore, obtained spin radii should be understood as superposition or average between the two (as such, it probably represents a gravitational minimum and possibly a charge radius as well).
All terrestrial planets are thus formed from two bodies. In case of coupling with neutrinos, the other body must have had a mass of a dwarf planet. By the hypothesis, Earth is not paired with a neutrino, and should have thus formed through the collision with a body of mass on the order of mass of terrestrial planets. Conventional theories assume that this body (Theia) had a mass about that of Mars. All these collisions must have produced satellites (moons), however, in case of collisions with dwarf planets (neutrinos) these moons are likely to be shorter lived.
The creation of Earth and the Moon probably proceeded as follows. The two maxima were initially in a superposition which had a radius roughly equal to current orbital radius of Earth. One maximum collapsed to radius roughly equal to current Earth inner core radius while the other collapsed to radius of about 3 times the current Earth radius. As it started acquiring additional mass, it collapsed again to the radius of current Earth’s mantle and, together with the core [maximum], now forms Earth. With the collapse, a smaller quantum of energy (gravitational maximum of smaller mass) was emitted away (and is still receding from the system) to form the Moon.
Assuming naked core maximum radius r equal to 1206115 m, with mantle mass 3 times the core mass, the radius of the naked mantle maximum (before coupling and eventual additional splitting) should be 2) r = 3411408 m. With coupling the two radii increase (in terrestrial planets naked gravitons generally have significantly lower mass than coupled real mass making them more sensitive to deformation), the core maximum increases to 2) r = 1705704 m.
The mantle maximum increases proportionally, to 2) r = 4824459 m (note that the Earth/Moon mass barycentre, currently equal to 4637220 m, may be receding toward this value). I assume that this maximum had additionally split into multiple maxima, correlated with mantle discontinuities and mantle differentiation.
Knowing Theia’s mass, using equation for spin radius obtained from Q2.2, one can obtain initial orbital radius of the Moon (formation radius). Assuming mass of Theia equal to Mars’ mass, the Moon’s formation radius is:
m
= 7 * 10
kg
M = 6.42 * 10 kg
r = 149.6 * 10 m
This is lower than the Roche limit (≈18000 km) for current densities/radii of Earth and the Moon. Thus, either these were somewhat different at the time of Moon formation or the newly formed Moon lost some mass through tidal interactions (which then may have formed a relatively short-lived second moon).
Another possibility is that Theia had a bit lower mass than assumed (≤5.79 * 10 kg).

If all terrestrial planets have moons with significant mass for some periods during evolution they also should have magnetic fields on the surface during these periods. With the rate of evolution inversely proportional to mass (as it will be shown later) it is then probably safe to assume that most of them also evolve surface habitability during these periods of time (although complex lifeforms may be limited to the habitable zone). Just like the formation of moons and the magnetic field, the habitability then effectively becomes a coded event as well. In favour of this hypothesis goes the, conventionally hard to explain, roughly equal obliquity to orbit between Earth and Mars (which is here coded as well - in the quantized inclination of naked large scale gravitons). Lack of such obliquity in Mercury and Venus can be explained with coupling to neutrinos which then results in differential motions between planet’s core and mantle. This, coupled with tidal interaction with the Sun tends to relatively quickly erase the fossilized obliquity after the moons are lost. Note that Mars’ obliquity is fossilized obliquity and as such (with no large moon present) it is unstable. However, I hypothesize that moons are periodically reformed (periodicity being probably equal to hypothesized periodicity of Solar System 2nd order cycles) and the current high value of Mars’ obliquity could indicate a relatively imminent moon formation (causality/synchronization here is significantly relative so the obliquity can precede moon formation). The mass of Phobos and Deimos could be then recycled in this event.

10.2. Quantization of radii and gravity
While, from Q2.1 and Q2.2, orbital radius is:
Here, square root of k is another quantum momentum magnitude [sum], shown in
Table 11.
From Q2.3 and Q2.4 follows that surface gravity is quantized:
where g
, equal to 43.43 m/s
, is the quantum of gravity.
From Q2.3 and with total mass equal to:
follows that spin radius r
is quantized too:
Combined with Q2.4 and Q2.5:
For inner planets, the constants are different:
and possible quantization parameters, along with the calculated spin radius, are shown in
Table 12.
Note that the above parameters for Mars’ orbital radius give a perihelion rather than a semi-major axis, suggesting that it (and generally, planets with large eccentricity) may be in a superposition of two quantum states.
Results for spin radius are obviously wrong, most likely reason for this is the bad h constant as it is based on gravity at surface radius, which, for inner planets, is not defined as the radius of a gravitational maximum.
However, correlation with dipole offsets is still present. Calculated spin radius of Earth/Mercury is almost exactly 10 times the experimentally obtained dipole offset of Mercury (414.7 km).
If the assumption of charge radius being 10 times lower than calculated spin radius for terrestrial planets is valid, somewhat larger current offset for Earth (484.7 km from centre) must be the result of oscillation (superposition) and faster rotation.
Using the radius of the [inner] gravitational maximum for Earth (1206115 m), one obtains [the proper?] h
constant for charge radius calculation of inner planets:
v = Earth’s orbital velocity = 29780 m/s
r = Earth’s orbital radius = 149.6 * 10 m
g = gravity of the maximum with GM equal to current total GM = 274 m/s
n = 3
Results obtained using this constant are shown in
Table 13.
These are now much closer to dipole offsets. Difference should be attributed to oscillation.
Models of the dipole location of Earth indeed show oscillation, in the last 10000 years it has oscillated from the maximum of 414.7 km (equal to the dipole offset of Mercury) in the western hemisphere to the maximum of 554.7 km in the eastern hemisphere[
79].
Dipole offset in current models is thus a superposition (arithmetic mean) of these two maxima (484.7 km).
The agreement of 414.7 km maximum with the dipole offset of Mercury suggests that either:
the influence of rotation on the offset is negligible,
rotation stops once the maximum is reached,
induced currents are created at the expense of primary charge, effectively transferring the charge radius from inner core to outer core.
Possibly, this is the effect of conservation of momentum, where spin of the primary charge is reduced at the expense of core rotation.
10.3. Lepton oscillation model
In the previous chapter it was hypothesized that the discrepancy between the QM model of the atom and the Solar System can be resolved by lepton oscillation.
This can be solely mass oscillation, which requires external energy, or the oscillation of general force flavour which does not require much external energy as mass is inflated with the exchange of polarized (electro-magnetic) potential for a neutral gravitational potential (it does need stimulation though, most likely by resonance - synchronization).
However, while general force flavour has certainly been changed to [dominantly] neutral with the change in vertical energy level, difference in mass between the outer planets is too large compared to the difference in electro-magnetic energy to be explained by general force oscillation alone.
If the Solar System has been inflated, as hypothesized, from a smaller scale atom (or superposition of atoms) or equivalent (eg. photons), then likely there was enough energy for superposition of electron mass eigenstates. Taking into account that these electrons are also neutralized, superposition becomes even more likely (charged leptons repel) due to lower energy requirements.
However, the excess energy left after the vertical energy level increase (inflation) might not be the only source of superposition. Most energy in the vertical energy level change is spent on inflation - not flavour oscillation, so even without inflation, the flavour oscillation energy can be provided by the nucleus or absorption of properly scaled gravitational waves.
With no absolute constants allowed and implied oscillation of relative constants, oscillation in the energy of space is predicted by CR.
With no oscillation, in the Solar System, the inner planets would all be in positron equivalent states, while outer planets would be scaled electrons.


10.3.1. The relative creation
Applying neutralization and lepton oscillation to the model of inflation (vertical energy level change), one can now attempt to reconstruct the history of the Solar System development.
With inflation, the [absolute] distance between particles is increasing. Assuming the system started in polarized state, neutralization will be decreasing [relative] distance between equally charged particles.
Based on wave-like appliance of energy, the inflation may have proceeded in this order:
Nucleus started inflating.
Jupiter 2e configuration started inflating. Even though 2e composites may have been separated initially, large energy of this configuration enabled the fusion of 2 electrons. With the inflation of Jupiter, 2e positron configuration was inflating (within the inflating nucleus). However, this configuration did not have enough energy for fusion and the positrons were left separated enough to form Mars (1e) and Mercury (1e).
Saturn 2e configuration started inflating (inside Jupiter at this point). This one had less energy that Jupiter 2e, but still enough for fusion, while the positrons again, did not - however, the energy was bigger than in the first positron pair, resulting in the creation of Venus (1e) and Gaia (1e, Earth embryo).
Another 2e configuration started inflating (inside Saturn). This one had even less energy than Saturn 2e, and, this time, not enough for fusion, so 2e separated into Uranus (1e) and Neptune (1e). A [relatively] simultaneous 2e inflation resulted in fusion of 1e with Mars (this component, however, which may be referred to as Vulcan has decoupled from Mars by now), and fusion of the other 1e with Gaia, creating Earth.

The initial inflation, of course, did not inflate gravitons of planets to their current radii, rather roughly to their current orbital radii. The initial Sun surface [maximum] radius was thus roughly equal to current Mars’ orbital radius. But this radius on this energy level is unstable and it was quickly deflated to the stable one - roughly equal to current Sun surface radius.
Relatively simultaneous with its deflation the gravitons of future terrestrial planets also started deflating to stable levels.
Similar is the case with outer planets, except in this case, all of them were effectively a part of Jupiter. The discontinuity inside Jupiter with radius equal to Saturn’s radius has two interpretations, both probably true. Discontinuity represents a stable energy level but can also be interpreted as fossilized Saturn’s graviton radius while it was within Jupiter.
Comparing energies of planets, lepton oscillation and the [attempt of] energy balancing is obvious.
Assuming that scaled mass of a standard electron (0.511 MeV/c) is equal to 0.511 * 10 kg, scaled muon (105.658 MeV/c) is 105.658 * 10 kg, while scaled tau particle (1776.86 MeV/c) has a mass of 1776.86 * 10 kg, rough correlation with masses of Mercury/Mars, Neptune/Uranus and Jupiter is obvious.
The tau/muon/electron mass ratios are present within the inner and outer planets:
but also in relation to the Sun:
which suggests that the whole system is in superposition of particles of different generations.

Evolving event horizon (c) model
In this model, particles are entangled with different event horizons (still, mostly concentrated between inner and outer charges) impacting their relativistic energies differently.
In
Table 14, standard particle candidates are shown for each planet. Rest masses are relative to the possible event horizon of creation, specified in parentheses. Note that original rest mass may be bigger or smaller than relativistic mass, depending on the conditions in the annihilation (creation) event.
Most likely particle candidates, according to this model, are marked green.
Rest mass in
Table 14 was calculated using proper relativistic factor (Omega factor in CR):
c
<> 0
q = sidereal polarization of the reference frame
s = polarization of mass relative to the reference frame
where c = c is the rest velocity of the reference frame (event horizon [fossil]).
Evidently, using most likely particle candidates on the hypothesized particle configuration, the electric charges are in balance, as shown in
Table 15.
The configuration gives total 4e charge for inner planets and 4e for outer planets (symmetry).
The fact that charge configuration agrees well with the hypothesis of 6 charges on each side (Carbon configuration) but the mass for the same particle species agrees well with 4 total particles on each side (Beryllium configuration) suggests C/Be oscillation.
Thus, the Solar System may be interpreted as a hybrid, a superposition of 2 atoms, C and Be.
Is this hybridization unique to the inflation through annihilation of smaller scale atoms, or this is a normal state even in atoms of standard scale?
In CR, of course, the process is scale invariant and cannot be unique to one scale only, even if one cannot set up a proper reference frame to observe it.
The stability of atoms is achieved through neutral energy provided by neutrons and neutrinos. It is thus likely that all atoms are oscillating between polarized and non-polarized states.
Note that, with charge extracted, proton core too becomes neutral.
It appears that [outer event horizons of] proton cores favour giving energy to electrons, while neutrons favour positrons (correlated with spin anti-alignment). Asymmetry in neutralization energy between bound positrons and electrons is thus caused in mass difference between protons and neutrons (note that magnetic fields of outer planets are much less subdued than those of inner planets).
With an excess of protons, too much energy on the outer side can cause the ejection of bound positrons and neutrinos, converting protons to neutrons.
With an excess of neutrons, too much energy on the inner side can be enough to fuse bound positrons with the nucleus [core], converting neutrons to protons.
Standard model
In this model, planets are simply correlated with appropriate quarks/leptons of the atom.
Assuming Earth represents 2 x up quarks, total charge is in balance, as shown in
Table 17.
Obviously all masses can be correlated with standard particles (deviation can be attributed to mass oscillation, relativistic energies and possibly non-equilibrium states at the moment of inflation).
Alternatives?
I have shown in CR, how 2/3 of electron charge can be exchanged for mass, converting electron to a down quark[
82] (1/3 e) - where most of the mass goes to a force carrier graviton, giving atomic range for the resulting gravity. If inner anti-down quarks here are a result of exchange of positron charge for mass and this had to be reflected in outer particles, perhaps Saturn and possibly Jupiter represent a pair of muons which have both exchanged charge for mass.
Generalizing the equation (1.4) from CR, the resulting mass after exchange is:
M = mass of the particle after exchange
n = fraction of charge exchanged
q = initial charge
= vacuum electric permittivity = 8.85418782 * 10 F/m
m = initial mass [MeV/c]
G = gravitational constant = 6.674 * 10 m/kgs
C = 1 MeV/c
This, for the exchange of 1/3 charge of a single muon (q = 1 e = 1.60217733 * 10 C, m = 105.658 MeV/c, n = 1/3) gives a 253.3 MeV/c particle. In 2e configuration this would then yield a mass of ≈ 2 x 253.3 = 506.6 MeV/c, close to Saturn’s 568.34 MeV/c.
Similarly, 2/3 of muon charge exchanged for mass gives 1013 MeV/c, which in 2e configuration becomes ≈ 2026 MeV/c, close to Jupiter’s 1898 MeV/c.
With these exchanges, total charge on the outer side is:
which, again, suggests that the Solar System is both, a carbon and a beryllium atom at the same time - there are 6 outer charges (as in carbon) but -4 total charge (as in beryllium).
10.3.2. Evaluation of invariance
Correlation between planetary masses and standard particles revealed in the previous chapter is remarkable, not only because ratios of particle masses are equal on both scales, but numeric values seem to be equal between kilograms on one scale and electron volts on another - differing only in the order of magnitude.
This reveals interesting relation between electric charge and speed of
light:
where K on the Solar system scale (U
) is 1 * 10
Cs
/m
.
Since planetary masses are derived from GM products, integer value of K must be the consequence of dependence of the gravitational constant G on the speed of light c.
Both values, gravitational constant G and c, have been determined from standard scale (U
) experiments, thus:
Mass M of a planet is then determined through gravitational interaction between two bodies, equalizing centripetal force with gravitational force:
where r is the distance [from centre] to the orbiting body [centre], and v is its orbital velocity, and, in case of planets, also the fossil of the
rest velocity of the gravitational field line (orbital maximum) before the collapse into a spin (satellite) maximum.
Equalizing centripetal force with electro-magnetic force:
Now equalizing M (gravitational mass) and m (charge mass):
10.4. ℏ constant weakness
Obvious dependency on the order of mass magnitude makes ℏ a weak "constant", but at the same time explains why planetary orbits appear discrete while the orbits of small satellites seem unlimited. Obviously all masses m > 0 must have a quantized momentum but ℏ is relative.
11. G relativity, equivalence with dark matter
If dark matter is interpreted as a component of space associated with a particular graviton, the gravitational constant G becomes variable - proportional to dark matter.
The G is also dimensional and as such, with no change in metric, not generally invariant to scale. Interesting are then the differences between discrete vertical energy levels. If one is using the same G for measurements on standard scale and for measurements of planetary masses, it seems that at least one of the mass interpretations must be wrong. However, there are two ways for the G to be preserved. One of them is mass shielding, the other is conversion of dark matter to real mass (ie. annihilation). Assuming the G of the planetary scale graviton is much higher than the standard G, the dominant gravity source in the empty well is dark matter. However, this is changing as the well gets filled with real mass. With the well at full capacity gravity is dominated by standard real mass and the value of standard G can be interpreted as the correct value on this scale as well.
In the previous chapter, it was determined that surface gravity in planets is correlated with momentum, the equation comes from the following.
Orbital angular momentum (Bohr interpretation):
multiplied with [surface] gravity is:
Fixing g on the right side (eg. M = mass of Neptune, g
= gravity of Neptune), multiplying with R
/R
:
Fixing R in the numerator (eg. R
= radius of Neptune) and equalizing with Newton gravity:
Gravitational
constant is:
v = orbital velocity
r = orbital radius
R = radius of the planet (spin radius)
Here, v, r and n are variable. One might then consider ℏ a relatively strong constant, but g and R are weak.
It has been shown that g alternates between two values (one taking rotation into account and one without it). The following can be concluded:
all planets have mutually entangled properties,
past/future state of g/R is fossilized (memorized) in rotation period,
gravitational constant G of a gravitational well depends on its own place in a larger gravitational well.
Note that G of a planetary gravitational well is here derived form its orbital momentum in a larger well, rather than its spin momentum.
Planets are orbiting stars, but their bodies are also orbiting their souls (gravitational maxima). Mantle of a planet can be interpreted as a moon to its core, just like a moon can be interpreted as a collapsed gravitational maximum (event horizon) of a planet. In that system, mantle/moon is the planet and a planetary core is the star.
In case the planet is not fully developed (has active moons - in case of inner planets, or doesn’t have active moons - in case of outer planets), mantle layers are [relative equivalents of] asteroid belts and moons are [relative equivalents of] the planets charged oppositely to the outer core of the planet.
Thus, there are gravitational constants relative to that system (note that every spin momentum is orbital momentum - even though the surface and the centre are entangled, propagation of changes is not instant).
Current value of the standard gravitational constant (6.674 * 10 m/kgs) was commonly measured on Earth’s surface and is relative to an absolute reference frame. In interpretations where G is not scale invariant, proper G for gravitational maxima of inner planets can be obtained from surface gravity and real mass m.
Assuming gravitational potential is the same for a naked and coupled graviton (difference is in the dominant source of gravity - dark matter/real mass), the initial G (or, G of the naked graviton) can be obtained from initial real mass:
Assuming speed of matter (real mass) is significantly lower than the Keplerian speed of the maximum (generally valid for matter of solid bodies):
m = initial real mass of the body
r = radius of the gravitational maximum
T = weighted average period of rotation of real mass
R = surface radius
from (G1.1) and (G1.2) follows:
with M calculated, one can now obtain G through (G1.1):
Note that this can also be written as:
substituting middle term for g
:
v
= matter (real mass) rotation speed at the gravitational maximum r
This relation is now equivalent to the obtained relation for G from orbital momenta.
Note that for Earth, with r
= 1206115 m (≈ inner core radius) and T = T
= 24h = 86400 s:
which would match exactly the gravity of the inner core [maximum] with mass M equal to calculated real mass of Earth (from G1.2, m = 6.95 * 10
kg):
G = G = standard G = 6.674 * 10 m/kgs)
Now, for the naked maximum, energy is concentrated at r
and g
is then, with conserved gravitational potential, equal to 274 m/s
(equal to Sun’s surface gravity!), giving initial G of:
Note that initial real mass (current img mass) can also be calculated from equations given in CR:
with:
real mass is:
v
= current velocity of real mass at r
T = current rotation period of real mass = 86400 s
r = radius of the naked gravitational maximum = 1206115 m
c = Keplerian angular velocity of the naked gravitational maximum
m = initial img mass ≈ M = 5.9723 * 10 kg
Initial real mass can also be interpreted as a quantum of mass that would trigger graviton collapse/expansion to another orbital energy level, or ionization of the system.
11.1. Correlation with extinctions
As found previously in CR and here, changes in local (spin) energy level of a maximum (or graviton, in general) will fossilize the level as a discontinuity in the celestial body.
For Earth, the required quantum of energy (relativistic mass) for orbital energy level change (ionization) has been calculated in the previous chapter to be equal to 6.95 * 10 kg.
This is a very interesting number considering asteroid impacts are correlated with major massive extinctions.
In example, estimates for the mass of the impactor responsible for the Chicxulub crater range from 1.0 * 10
kg to 4.6 * 10
kg[
84].
To trigger a change in orbital energy level, required locally relativistic velocity of such impactor, assuming its rest mass is equal to 4 * 10
kg, is:
m = impactor mass = 4 * 10
kg
m = required relativistic mass = 6.95 * 10 kg
c = Keplerian angular velocity of the maximum = 18178.98 m/s
Interestingly, this is within the range of typical velocities of Earth’s orbit crossing asteroids (12.6 - 40.7 km/s[
85]) and comets (16 - 73 km/s[
85]). In fact, it seems quite likely that the Chicxulub impactor had the required energy to trigger the change.
However, this approach is flawed - apparently, most asteroids and comets would have enough energy to trigger the change regardless of rest mass. If asteroids and comets have accumulated relativistic energy, it must be the energy relative to Solar System space, not Earth’s space.
Assuming the speed limit is the Keplerian velocity of the Sun’s outer maximum:
G = 6.674 * 10 mkgs
M = 1.988500 * 10 kg
R = 695735 km
required impact velocity becomes:
This is the average velocity of the solar wind.
Now this raises a couple of interesting questions:
is it possible for a coronal mass ejection (CME) to accelerate the asteroid or a comet to required impact velocity?,
does CME itself represents accumulated relativistic energy in this case (eg. through implantation[
86]), at least in part?,
is a rocky/icy impactor even required - perhaps the CME itself can produce the crater?
is mass the sole requirement for energy level changes?
The 3rd seems unlikely, especially if there is no temporary collapse of Earth’s magnetic field. However, magnetic field reversals could be coupled with strong CME’s, and research shows that CME’s can produce significant land erosion and ejecta with no protective magnetic field present[
87]. Geology can probably rule out this possibility due to a difference in end products between different impacts.
The CME would certainly accelerate an asteroid on its path away from the Sun. If massive impacts are correlated with energy level changes of large scale gravitons, it is possible that it is not solely the amount of energy that matters, but what kind of energy too - electro-magnetic or gravitational?
On standard scale the electro-magnetic energy of photons is the dominant energy triggering energy level changes, on the scale of planets, dominant energy should be gravitational.
However, both energies should be involved as electro-magnetic energy is not absolutely absent, it’s certainly not negligible in case of Earth. On the other hand, one type of energy can be converted to the other at time of impact.
Energy level changes of Earth’s graviton mass radius and charge radius might not be well synchronized relative to standard scale. Thus, collapse of the magnetic field (collapse of charge energy level) could precede the inflation of a graviton mass radius.
Evidence suggests there may have been multiple impactors at different locations at the time of the Cretaceous-Paleogene (K-Pg) boundary formation. A potential impact crater significantly larger than Chicxulub formed at the same time has been identified[
88], suggesting significantly bigger impact energy.
However, the Earth is still active (alive) - Earth’s maximum (graviton) is likely still present within Earth. If there was no orbital ionization, were there local (spin) energy level changes?
Assuming energy requirement scales with orbital radii, the required energy for local changes can be calculated:
R = r = Earth’s graviton radius = 1206115 m
r = Earth’s orbital radius = 149.6 * 10 m
M = 6.95 * 10 kg
The Chicxulub impactor apparently had the required energy for such changes.
If similar energies are involved in all major massive extinctions, discontinuities within the Earth should be correlated with major extinctions. This is indeed confirmed in another chapter (Earth as a living organ(ism) > Future development, neurogenesis > Correlation with mantle layers).
There are potential impactors of similar size crossing Earth’s orbit, eg. 1866 Sisyphus.
However, there are multiple energy levels and energy difference between some could be lower than calculated M.
As changes in energy levels are correlated with Earth’s formation and evolution, the energy requirements are probably generally decreasing with time.
Note that energy levels have orders. So far two orders have been calculated, but the 3rd order too could have a significant impact on the planet, assuming equal scaling:
Apparently, we are currently experiencing a major massive extinction on Earth. If these are relatively synchronized with impacts, perhaps one should not be surprised if the 99942 Apophis asteroid (with estimated mass of 4 * 10
kg[
89]) is accelerated and deflected toward Earth at its close approach in 2029.
It might not be the CME [alone] that is coupled with such impactors, rather a large scale graviton ejected from the Sun (eg. one of those hypothesized to form sunspots). This could make coupling much easier. If the graviton is ejected as a wave and has energy similar to, or compatible with, that of the asteroid, it will likely collapse and couple with the asteroid at the encounter. The graviton will impart momentum on the asteroid, affecting its orbit.
It cannot be excluded that the Moon too has a role in these events. Moon graviton collapse followed by wave-like inflation, asteroid coupling and Earth absorption is an alternative interpretation.
It is possible that one (eg. the Moon) is involved in electro-magnetic energy level changes, other (eg. the Sun) in gravitational.
11.2. Evidence for a constant change of G
The amount of variability in G will depend on the context. Large variability is expected when G is taken relatively to a particular discrete vertical energy level, assuming no change in metric.
However, even with G considered invariant it should not be considered absolutely invariant (across all of space and time). In equilibrium conditions it should generally oscillate about some mean value (which itself may change or oscillate over space/time) - the only question is the magnitude of changes, which, however, in equilibrium, may be relatively small within a particular scale.
According to CR, gravity commonly exchanges with electro-magnetic force. Therefore, G should generally increase at the expense of the Coulomb constant, although changes in space/time cannot be instant and some phase shift at distance will exist.
In a bound configuration such as a Solar System, change in G of local space will be reflected in (or synchronized with) changes of orbital momentum.
Taking mass and distance into account, major influence on G on Earth is the interaction with the Sun (multiple orders of magnitude larger than the Moon and planets).
The G constant should thus oscillate, with the 1st order oscillation due to Earth’s elliptical orbit of the Sun.
The formation hypothesis implies entanglement of the Earth’s orbit with energy levels (commonly represented by discontinuities) in the Sun. Perihelion and aphelion can be correlated then with two discontinuities in the Sun, and changes in local G will be proportional to changes in velocity relative to naked Keplerian velocities at these discontinuities. The two discontinuities are those at 2/3 R and 1/2 R.
With a change in distance from the Sun, spin velocity of the Earth’s maximum is changing relative to the rest frame of the two discontinuities - its radius is expanding and contracting, directly affecting the local G constant.
Mean change of G is thus a superposition of influence of two discontinuities. For the perihelion:
Change of G for the aphelion:
Giving the total:
v = orbital velocity of Earth at semi-major axis = 29784.485 m/s
v = orbital velocity of Earth at perihelion = 30037.537 m/s
v = orbital velocity of Earth at aphelion = 29538.694 m/s
c = space (Keplerian) angular velocity of the 1/2 R Sun discontinuity = 151.266563 * 10 m/s
c = space (Keplerian) angular velocity of the 2/3 R Sun discontinuity = 230.556106 * 10 m/s
For a mean G of 6.673899 * 10 m/kgs and G = 1.00024, the amplitude of oscillation is 1.60173576 * 10 m/kgs.
Measurements of G on Earth indeed show sinusoidal oscillation, although in previous analysis it has been correlated with the 5.9y (5.899±0.062 y) period oscillation component of Earth’s length of day (LOD)[
90].
However, calculated amplitude of yearly oscillation (1.60173576 * 10 m/kgs) agrees completely with the amplitude obtained from measurements (1.619±0.103 * 10 m/kgs).
Figure 11 shows yearly oscillation (blue) superimposed on the 5.9 y oscillation from previous analysis (black). Red crosses are previously measured values of G, plotted with uncertainties (horizontal and vertical).
Yearly oscillation is obviously a better fit, but when linked to orbits of the Earth around the Sun (orbital data taken from NASA Horizons On-Line Ephemeris System[
91]) a phase shift of ≈0.6167 y (golden ratio?) is required for the best fit (as shown in
Figure 11).
Interestingly, as shown in
Figure 12, with the influence of the Sun removed, leaving only planetary gravitational interactions, best fit requires no phase shift.
11.3. Physical manifestation
CR predicts (implies) oscillation of constants but may generally not offer physical interpretation as these can be diverse. However, relatively physical interpretation must exist. In case of fields the source should be mass oscillation of carrier particles. Here, it would be the mass oscillation of quanta of space (gravitons).

The Earth is most strongly entangled with the Sun (at least gravitationally) but this entanglement oscillates between two energy levels (which can also be interpreted as a relative superposition of the two). This is correlated with changes in Earth’s orbital velocity/distance which are proportional to changes in radii of Earth’s gravitational maxima (large scale gravitons). This oscillation of radii is proportional to orbital oscillation of constituent quanta of local space resulting in oscillation in density of space (dark matter) at particular distance from the Earth’s centre (which can be interpreted as mass oscillation of constituent gravitons). This is then measured as oscillation of G.
12. Quantization of surface radii
Here are, somewhat empirically determined, equations for quantization of surface radii in the Solar System - may not be applicable to planetary systems in general (with no modification).
Neutral equatorial radius for outer planets:
Neutral equatorial radius for inner planets:
Since both r and M (gravity) are quantized, it follows that R is quantized too by the K constant - other factors (n, p, s, N) are integers.
The above may be understood as the invariant component of the radius during the cycle. Current radius includes a small correction due to oscillation in electric polarization (charge), value of which evolves weakly during the cycle state.
Current equatorial radius for outer planets:
Current equatorial radius for inner planets:
K = 4885811.341 m/kg
K = 2.385039177 * 10 m/kg
M = total mass
r = orbital radius
N = shell number
s = number of particles in a sub-shell
p = state of quantization
n = shell energy level
= angle between spin momenta of a particle pair occupying the shell (in case of a single particle - induced pair by splitting of the maximum)
Calculated radii for the state 6p4n are shown in Table 18, along with measured radii (rightmost column).
Note the quantization of . For inner planets, it is quantized by 90 (any deviation may be due to higher order oscillation).
For outer planets, the quantum is reduced to 1/5 of this value, 18, suggesting, perhaps that the equation for outer planets should be modified, or, instability in radii entanglement, assuming it exists.
Thus, to obtain 90 quantization, one only needs to multiply (quantized by 18) with 5, revealing how it may be entangled with that of the inner planets, as shown in Table 19.
Note that s above is interpreted as the number of particles in a sub-shell (Mercury, Earth, Jupiter and Saturn are in 2e states, Venus, Mars, Uranus and Neptune in 1e states).
Interestingly then, the anti-aligned entanglement seems to correspond to entanglement between equal states, while aligned radii entanglement corresponds to entanglement between different states.
12.1. Radius of the Sun and its correlation with proton radius
Assuming original composition of the Sun being 6 protons + 4 neutrons, 6 positrons worth of charge (inner planets) would have to be removed to balance the electrons (outer planets).
This makes the Sun neutral:
The Sun still consists of both positive and negative charges but their spin effects on radius cancel out. The radius is thus:
where R
is the sum radius of negative quarks and R
is the sum radius of positive quarks.
As shown in
Figure 13, without 6 +e charges, the Sun is a sum neutron consisting of 6 layers, 4 layers containing pairs of negative [down equivalent] quarks and 2 layers (inner and outer core) containing pairs of positive [up equivalent] quarks. Due to condensation, this is the equivalent of a single neutron so 8 negative quarks can be grouped into a single sub-shell as 2 negative quarks, while 4 positive quarks can be grouped into another sub-shell as a single positive quark (8/4 = 2/1).
Thus, the parameter s = 2, while s = 1.
The energy of these two sub-shells must be equal, so M = M = M.
For equal impact on radii, this must be satisfied:
Here p
corresponds to number of major (strong) gluons, p
to weak gluons, N continues increasing from Mercury (2) so N
= 3 and N
= 4:
Here, ratio r/r is equal to the ratio of orbital radii of the outermost electron (Neptune) and the outermost positron (Mars).
This gives R = 694271.2405 km.
Radius of the sum U
scale proton can be obtained by raising the quark factors of R to the power of 2. This is due to the fact that the removal of a negative down quark reduces the negative radius 9 (3
) times, while the addition of a positive up quark reduces the positive radius 3/2 times. Distance between charges increases (due to greater difference between them) so total radius is decreased by the sum of these factors.
Radius of the standard proton (U
scale) can now be obtained through this equation:
Where r is the Solar System charge radius (Neptune’s orbit), N is the number of nucleons in the Solar System, R is the standard proton radius and r is the standard Carbon-10 (Carbon-12) charge radius.
Using Sun radius R obtained above, this gives:
12.2. validation
Dominant magnetic field in outer planets may be generated by positive charge, in inner planets by negative.
In any case, calculated , as interpreted here, should represent the angle between magnetic dipoles, at least in equilibrium. There are a couple of unknowns though. Is this the primordial angle and is it conserved? In any case, the assumption is that the primordial magnetic field was much stronger and it is then when it could affect planet’s radius significantly.
12.2.1. Mercury
obtained for Mercury (roughly 180) corresponds to ↓↑ spin configuration. This is generally consistent with a low strength magnetic field.
12.2.2. Venus
for Venus (0) suggests a relatively strong magnetic field. Currently, however, except for the induced one by the interaction of the solar wind with Venus’ ionosphere, Venus does not have a strong internally generated magnetic field of its own. The are a couple of explanations for this state:
it is a result of advanced stage in exchange of electro-magnetic potential for gravitational potential,
Venus is in a transition between two states (magnetic reversal).
Both may be true. In any case, its magnetic field may be confined inside the planet.
12.2.3. Earth
Earth’s magnetic dipole is not axial, revealing a primal quadrupole configuration, as expected with 2e configuration. Considering the movement of north and south dip poles and attributing it to imminent collapse, in the primal configuration two major (inner and outer) dipoles may have been separated by 90, equal to calculated .
This configuration may have been fossilized in the inner core anisotropy, as shown in
Figure 14.
12.2.4. Mars
Obtained shows primal dipole configuration of Mars mirroring the Earth’s. The configuration may be verified once the magnetic field of Mars is restored to full capacity.
12.2.5. Jupiter
(0
) is consistent with ↑↑ configuration and may be consistent with observation, as shown in
Figure 15, on the left.
Another possibility is a
of 109
, which is obtained by setting N = 2 for Jupiter (instead of N = 1, see
Table 18), shown in
Figure 15 on the right.
12.2.6. Saturn
Saturn’s dipole field is aligned with the rotation axis and highly axisymmetric, while quadrupole and higher components are significantly weaker.
This is consistent with ↑↑ configuration suggested by (0).
12.2.7. Uranus
Dipole centre has a significant offset from the centre of the planet. Assuming primal core-dipole entanglement,
may be interpreted as the angle between the equator and dipole rotated by such angle that the [shortest] distance from dipole centre to equator (x) is equal to distance from planet surface to the intersection of the rotated axis and axis translated to centre, as shown in
Figure 16.
With an 58.6 tilt of the dipole from rotational axis and no inclination, the offset = x = 0.38192 R.
With an inclination of the dipole from rotational axis equal to 1.82
, the offset is equal to 0.353 R, in agreement with NASA/GSFC-O
model[
94].
12.2.8. Neptune
Similar to Uranus, the dipole offset from the centre is significant. Using the same method as in case of Uranus, one obtains the dipole shown in
Figure 17.
With an 46.9 tilt of the dipole from rotational axis, with no inclination, the offset is equal to 0.12193 R.
With an inclination of 63.2716
, the offset = y = 0.485 R (x = 0.244967695 R), equal to NASA/GSFC-O
model[
95] offset.
13. Earth, as a particle
For terrestrial planets, gravity should generally increase with depth, down to the inner gravitational maximum (although multiple maxima generally exist).
As noted before, interesting things arise if one assumes that initial graviton energy is equal to current total energy. In case of Earth, with graviton radius equal to current Earth’s inner core radius, its gravity would be equal to the Sun’s surface gravity (274 m/s). This is unlikely a coincidence. These radii (Sun’s surface, Earth’s inner core) probably represent energy levels, which are, at times occupied by the gravitons.
In the empty gravitational well, gravity down to this inner maximum is:
where T is the rotation period at radius r. In equilibrium, T at surface for a solid body is:
while real radius of the planet is:
Down to the inner core radius r
:
G = gravitational constant = 6.674 * 10 m/kgs
M = total gravitational mass of Earth = 5.9723 * 10 kg
ℏ = = 4.613325255 * 10 m/s
Below r
(1206115 m) gravity becomes:
At r
(relative event horizon):
At the event horizon gravity is independent of period and radius:
Below r the space-time gradient inverts and gravity is decreasing until it reaches minimum, afterwards possibly increasing again to next maximum, continuing the oscillation.

13.1. Gravity with acquired matter
A gravitational maximum (soul) will effectively curve space around it. In case of shielding interpretation, acquired matter will not affect the overall curvature of that space as long as gravity of the maximum is greater than gravity of acquired matter.
However, clumping or condensation of matter (non-homogeneous system) can produce measurable effects.
In, addition, a maximum may split into multiple maxima (which may even further collapse and localize to form smaller orbiting spin momenta).
Regardless of interpretation (shielding or no shielding), during Earth’s development (evolution), the gravitons have likely been oscillating between different energy levels, accumulating mass at different radii from the centre, leaving discontinuities behind.
Distribution of gravity inside Earth is thus likely relatively wavelike, being cancelled at least at some discontinuities (even if currently not globally), albeit with overall increasing density toward the core. This enables Earth’s mantle to have layers where pressures and temperatures are suitable for complex ecosystems.
The existence of vacuum
chambers and tunnels due to such distribution of gravity can explain the neutrino anomalies detected by ANITA[
99], which cannot be explained by conventional physics paired with current models of Earth’s interior[
100].
14. Earth, as a living organ(ism)
Earth is definitely showing signs of a self-regulated living organism on surface, at least between major extinctions. But even disruptions of that self-regulation can be explained either as a regular component of embryonic development process or as a presence of a disease. These interpretations are not mutually exclusive - both can be simultaneously valid, at least in some cases.
While it may be hard to identify the equivalent of genetic coding in such a large scale organism, it shouldn’t be discarded as a possibility due to lack of imagination, especially when there’s sound logic behind its existence and evidence in its favour.
In all living beings known to man, life is not limited to epidermis (outermost skin layer) - in fact, life there is generally least diverse and complex. Higher diversity and complexity on skin surface is generally limited to short periods during embryonic development. The fact that no complex life has been detected on a surface of any planet but Earth goes in favour of this hypothesis.
Existing models of Earth’s interior are mainly based on assumptions on planetary formation that do not involve soul/body coupling and which are certainly not backed by abundant and solid evidence. Quite contrary, there are many cases defying conventional formation theories. Interior models are also based on data from seismic profiling which has limited resolution and is very prone to interpretation bias[
101].
Bias exists in definition of life itself in modern science - apparently there is no solid consensus on required constitution of a living being. But even if there would be one, in current climate, it would hardly allow for Earth to be alive.
However, assuming extroversion and introversion of life can go to extremes, then everything would have to be alive, only differing in the ratio of mental to physical interaction (or amount of life in these domains or dimensions of reality). The remaining question is what can be considered a single unit (or organism) of life? For example, any piece of rock on Earth is a relatively living rock because it contains living components (eg. bacteria, but also molecules and atoms - which I also consider living beings, albeit extremely introverted) but it’s probably not conscious or living as an individual lifeform itself (in other words, the rock is simply a vessel carrying other organisms but not alive itself). On the other hand, animals like humans are also ecosystems composed of living beings but somehow also alive as distinct organisms themselves. Why? What does it take for the collective of organ[ism]s to become a new organism with its own distinct consciousness? A collective of bacteria organized into biofilms does act as a single organism. Is this then indeed a new conscious organism?

I find distinct consciousness to be the requirement for any collective to also represent a new living individual. But distinct individual consciousness obviously requires concentration of energy and if this is not energy composed out of standard atoms than it must be the energy of smaller scale. In my theories, consciousness thus requires coupling of a particle of one scale with a body of another scale. The soul (graviton of particular scale) is at the moment of coupling localized (from a waveform toward a corpuscular form) and the amount of consciousness is then proportional to the strength of localization. A biofilm then probably is a conscious organism on its own but probably not significantly conscious as this consciousness is not as focused as it is, for example, in a human individual. In fact, any kind of spontaneous self-organization must be relatively spontaneous and this then probably implies that it is always synchronized with soul-body coupling. And this coupling may be strong, or loose and periodic (resulting in pulses of consciousness or conscious individuality). Therefore, there exists a real probability that even a piece of rock occasionally becomes a living individual (even if just for a split second). And if this coupling intensifies it could develop and evolve into something much more.
The coupling of consciousness (or the soul) with a collective of matter (real mass) is how individual life starts and how it has evolved from a bunch of atoms and molecules into more complex organisms. In my hypotheses, the soul represents the goal of individual [quantum of] evolution, it is the effect (or template) the local collective starts converging to with coupling. There is thus a phase shift between the body and the soul - if the soul is more evolved the evolution of the collective is progressive, otherwise regressive. It is obvious that the rate of convergence to the effect is inversely proportional to the amount or focus of consciousness (as an organism reaches adult stage, its development eventually stops and at that point consciousness is maximal). As we age further, consciousness starts diluting again but, this time, instead of inducing development or convergence, it’s inducing divergence or decay, of collective support for individuality. It is well known that a genome is simply a book of recipes for the manufacture (expression) of components (proteins) but it doesn’t contain any recipe for the development of the organism from conception to adulthood. The development is effectively guided by the soul once it couples with the body (collective). Thus, as we grow, as our consciousness becomes more focused, it becomes harder for us to affect (through mental pathways) processes or the collective of our body - at least in a way that would greatly impact its function. However, it is probably possible at least for some individuals to dilute consciousness (eg. through meditation, dreams or hallucination) and, once again, guide the collective toward a particular effect.

So what about Earth, is it a piece of rock with low probability of strong or longer-lasting individuality or is it a, more or less, conscious individual? First of all, it’s definitely not just an ordinary, only enlarged, rock aggregate (or an asteroid). It has layers, it has atmosphere, liquid water and sources of energy. That still doesn’t make it alive, especially if it did develop according to conventional theories of planetary formation. However, in my theories, formation of a planet starts with inflation (or deflation) of a graviton and its coupling to a body of matter (real mass). It then must be conscious, but how much? I believe the Earth is in the last stages of embryonic development so its consciousness is somewhat localized but still mostly driving evolution of the collective toward the adulthood. Similar to biofilms on it, the whole collective of life on Earth is diversified and, when healthy, forms a self-regulating system where different species have different roles - even if some or most may not be aware of it (I know that I am guided, but I don’t think other people are not, they’re just not aware of it).

The entire Solar System is then also an individual organism, and, relative to that system, Sun and planets may be interpreted as organs (physically relatively passive, or extremely introverted, symbiotic organisms).
Obeying the principle of self-similarity, each living organ has an active core, replicating the role of the Sun in the Solar System to localized space-time.
As these are extremely introverted organisms, creatures of extroverted nature accustomed to absolutism may not recognize them as living beings, however, lack of complexity in physical momenta or ability is simply replaced with complexity in mental momenta and ability - which is reflected in momenta of smaller scale life-forms (or quanta of consciousness) residing inside their bodies. One of these life-forms are humans, who are, relative to Earth, likely its [precursor] neural proteins.
Deeper understanding of organisms of planetary scale (or larger) requires understanding of [discrete] scale-invariance of physical laws. One cannot expect that time for these beings (or communication between their constituent parts - eg. neuron equivalents) flows at the same rate as for organisms of smaller scale (eg. humans), nor that their tissue should look like our tissue (discrete states of invariance imply a difference).
14.1. Rough internal structure
With no apparent complex, stochastic or conscious large scale extroverted physical interactions (apart from electro-magnetic absorption and emission which may be interpreted as communication) present in planets, planets must be extremely introverted life-forms. In such organisms there’s simply no need for limbs and large scale complexity in organismal structure, it is the smaller constituent quanta of these structures that can be complex. And the behaviour of most will be complex (or relatively stochastic) if these are correlated with high introverted intelligence or consciousness of the being.
Most expressed organ of an organism such as Earth then must be the brain, likely organized into layers with possibly minimally expressed gyrification (although that may depend on the stage of development).
Even so, it has to have other organs [or organ equivalents] necessary for the function of that brain.
Most likely blood arteries are underground tubes, with blood being the flowing magma and water (nutrients).
Its blood veins are underground tubes filled with oil (compressed dead carbon matter).
Complex life and networks of interconnected diversity are not limited to surface (epidermis). In fact, surface is likely just a breeding ground for cultivation of precursor neuron cells and proteins of a planet. Most complex life is thus resident within mantle layers where it is protected and not so vulnerable to external influence.
The core of a planet probably has the role of a heart and geyser eruptions may provide one way to probe the heart rate when the surface is active.
14.2. Age, lifecycle and the 3rd order period
It has been hypothesized already that Earth lives in cycles (lifecycles), where the average period of the cycle is equal to the 3rd order period of general oscillation of the Solar System.
At the end of each lifecycle, the Earth’s major graviton decouples from the body of Earth, either temporarily or permanently - in which case it is replaced by another graviton. These de-couplings/re-couplings should continue at least until the end of a 1st order cycle, at which point the Earth may die and start disintegrating. Unless some [locally] non-coded disturbance occurs (causing premature death), the lifetime of Earth should be relatively quantized by the 3rd order period. Thus, coded lifetime or age is:
For n = 2840, and determined period of the 3rd order general oscillation of the Solar System (T
) equal to 1.512 * 10
years:
There are at least 3 ways to calculate the 3rd order period of existence cycle T [and thus, Earth’s lifecycle], all giving the same result:
14.2.1. Decay rate of Be
Current Solar System may be in a C, Be state or a superposition of these states. In any case, I believe entanglement exists between the Solar System and standard Be. I propose that half-life of Be is, on average, equal to the 3rd order period of the Solar System oscillation (in one interpretation, the half-life has been fossilized as the 3rd order period).
Several measurements of Be half-life have been performed.
In example, in 1987. it was measured to be 1.51±0.06 * 10
years[
103].
In 2009. it was measured to be 1.388±0.018 * 10
years[
104].
Even though half-life of U elements should be consistent during the existence cycle of the U system, it likely changes during the transition between cycles. Discrepancy in measurements of Be half-life (but also other signals, eg. ongoing major extinction) then suggest we are at the end of a cycle. For that reason, I do not consider the value from 2009. or any of the more recent values as the average value through the lifetime of the Solar System. As other evidence suggests, this value probably is 1.512 * 10 years.
14.2.2. Heart rate
The average heart rate of Earth can be calculated from the global average period between geyser eruptions:
For Earth heart rate = my rest heart rate (76 bpm) scaled:
Given the number of heartbeats EH
(1 * 10
, 4 * 10
) = 2 * 10
and scale invariance of heartbeats, the period is:
With such number of heart beats[
106] (between incarnations), the Earth would belong to, not only mammalian species, but relative homo species.
The 3rd order cycle of the Solar System (1.512 * 10 years) can thus be interpreted as evidence of inter-scales evolutionary entanglement - a man is in its path of evolution between the standard scale carbon atom and the Solar System (relative large scale carbon atom equivalent).
To species accustomed to the concept of birth and extroverted nature it might appear that Earth never fully develops.
This is most certainly not the case - life past the embryonic form for us always results in a change of environment, but this is only due to inadequacy of the uterus to ensure the continuity of progressive evolution, one which includes growth of the physical form.
Once extroverted intelligence evolves into, relatively more energy efficient, introverted intelligence, there is no need for physical growth or reason for most of conventional physical organs.
14.2.3. Speed of time
Space-time may be represented by two dimensions, one positively polarized (space), one negative (time), relative to a neutral one (event horizon in between).
These 3 dimensions are spatially separated and quantized, but they are entangled and may orbit the same body, such that orbital velocity of the event horizon is:
where v
and v
are orbital velocities of space and time dimensions, respectively. 3rd order space for Earth is 1-dimensional - the Earth is an inflated quantum of space/time orbiting the Sun. Dimensions of [3rd order] space and time of Earth have been further separated during inflation, but they remain entangled. Assuming that space dimension is [at] Earth’s orbital radius, the time dimension should be somewhere in the higher orbit.
Time dimension velocity is quantized by v
:
The values in square brackets, depending on the sign, give maximum and minimum values of v
during the cycle state. The average (mean) v
:
For inner planets, in state 6p4n:
Solar System may also be observed as a hydrogen-like atom, where space, time and event horizon dimensions have been split into 4 component vectors (levels).
The event horizon velocity (derived from v
and v
), given the orbital energy level vectors for inner (n
), outer (n
) planets and the oscillatory vector k:
where ⊕ is the sign operator:
The event horizon velocity (from v
only):
where
is the Kronecker delta function.
Table 20.
Orbital velocities of time and event horizon dimensions
Table 20.
Orbital velocities of time and event horizon dimensions
| n |
Planet |
i |
j |
v (km/s) |
v km/s (entanglement) |
(current value) |
v (entanglement) km/s |
(neutron correction) |
v (entanglement) km/s |
| 4 |
Mercury |
2 |
-1 |
47.36 |
5.47 (Neptune) |
-2 * 10 = -0.04 |
12.033 (Jupiter) |
+4.73 |
16.77 (Hygiea) |
| 3 |
Venus |
1 |
0 |
35.02 |
6.78 (Uranus) |
+2 * 10 = +0.02 |
16.63 (Hygiea) |
+1.275 |
17.9 (Ceres) |
| 2 |
Earth |
0 |
1 |
29.78 |
9.66 (Saturn) |
+2 * 10 = +0.02 |
19.55 (Vesta) |
-1.66 |
17.88 (Pallas) |
| 1 |
Mars |
-1 |
2 |
24.07 |
13.08 (Jupiter) |
-2 * 10 = -0.02 |
24.07 (Mars) |
-4.73 |
19.34 (Vesta) |
Table 21 shows space velocities for inner planets and calculated velocities of time and event horizon dimensions along with their correlation with bodies of the Solar System.
Evidently, the speed of time dimension decreases as the speed of space increases and orbits are quantized and entangled (as predicted by CR):
Orbital velocity of Earth’s space is 29.78 km/s. Average velocity of the event horizon for Earth is 2/3 of this velocity, while the average velocity of time dimension is 1/3 of this velocity:
Orbital radius of the time dimension is the space dimension of Saturn - Earth’s time dimension is entangled with the space dimension of Saturn (time dimension of Saturn is entangled with Earth space dimension).
Average event horizon is entangled with the current orbit of Vesta, the dwarf planet.
Deviation of v
from current Saturn orbit is equal to deviation of v
from current Vesta:
Speed of time for human bodies (c
) is equal to standard speed of light c, given the average life expectancy of 50 years (2*10
heartbeats with 76 bpm heart rate), the 3rd order period of Earth’s existence cycle is:
14.3. Body mass
If Earth is a living organism, predicting real mass of Earth in the same way as it is done with other organisms should give the result of the same order of magnitude (it likely won’t be of equal value as Earth is evolving, gaining and losing mass in the process).
Assuming that Earth is a relative mammal, given the 3rd order existence half-life (period) T
of 1.512 * 10
years, mass can be calculated from empirical relationship between mass and lifespan of mammalian species.
Given human adult mass m of 84 kg and lifespan T
of 50 years, mass of earth m
is:
Not equal to total mass of Earth, but a very interesting result. It is equal to previously calculated initial Earth real mass (current img mass) using non-invariant G, and also a quantum of energy required for orbital excitation of Earth’s graviton.
As calculated previously, the same mass is obtained using the CR equation for real mass:
where
Using T
= 23.9*60*60 = 86040 s, G = G
= 6.673899 * 10
m
/kgs
, r
= 1206115 m, m
≈ M = 5.9723 * 10
kg:
14.4. Future development, neurogenesis
Here I hypothesize that cultivation of life on the surface of a planet is a cultivation of precursor neuron cells and proteins (relative to the planet) which are, at the point of differentiation transferred to planet’s [brain] mantle layers in some form. Similar to accelerated (time compressed) evolution during human embryo-genesis, I hypothesize that effective time compression occurs during planetary evolution too - with the end of each cycle of general oscillation of the Solar System (Earth) and with amount of compression being inversely proportional to cycle order.
The points of differentiation and migration in neurogenesis are major mass extinction events (although limited transfer might occur in smaller extinctions too), which are thus only relative extinctions - life is not completely extinct, it undergoes rapid evolution and migrates away to mantle where it continues evolution.
I hypothesize that Earth’s brain has, like human brain, 6 major layers, and that complete formation of these layers requires 6 major mass extinctions during Phanerozoic.
At this point, there is no doubt that we are amidst an major extinction event, a 6th one.
Being part of neurogenesis, extinction events must be coded at some level and, at least roughly, periodic.
Extinction events have relative triggers. While in the past these may have been impactors and volcanism, current extinction seems to have an anthropogenic trigger.
Thus, one might conclude that current extinction is not part of neurogenesis, rather a part of unlimited cancer growth. However, tumors in humans are known to induce neurogenesis (it is one mechanism enabling migration - metastasis).
I find the induction questionable though - humans are not consciously triggering neurogenesis on Earth, it is thus more plausible for neurogenesis to be a reaction of the immune system to inhibit cancer growth. Extinctions coupled with neurogenesis go in favour of such hypothesis. In case of cancer in humans though, and at least during adult neurogenesis in humans, the immune system seems to fail to cure or exterminate the cancerous cells in most cases (in case of humans who are cancerous themselves for Earth, I believe).
The immune system of Earth though, should probably be more advanced, and I believe cancerous homo.beta[
107] will be subdued.
Judging by past major extinctions, and correlating with human neurogenesis, these events should be expected with the advancement of planetary neurogenesis:
increasing rate of volcanism and earthquakes (due to gyrification/formation of brain tissue, incl. fragmentation/cracking of the crust and flooding of the surface, curing cancer?),
asteroid/cometary impacts (providing energy, acting as specific event triggers - eg. graviton energy level changes, tissue formation with volcanism, curing cancer?),
water level changes (melting of polar ice to enable migration, flooding of surface with interior water, curing cancer?),
ocean pH reaching minimum (possibly triggering migration, curing cancer?).
Migration of cells and proteins from surface to mantle layers requires tunnels connecting these regions. Most likely, these tunnels exist on specific places and are recreated or reopened at time of migration. A likely place for such tunnel opening on surface is the south pole, but may exist on north pole of a planet too.
Cells and proteins are transferred with the flow of cerebrospinal fluid (CSF) - a salty ocean. In humans, CSF has a pH of 7.33, and, since pH is scale invariant the pH of Earth’s CSF should be roughly equal. The current acidification of Earth’s oceans will, therefore, probably continue until pH drops to this value, when migration should follow. Afterwards, new surface water may be delivered by asteroid impacts, but it is also possible that some or most of it returns from the mantle.
Based on correlation with atmospheric CO
, climate models predict the hypothesized pH minimum in year 2300 AD for an atmospheric concentration of CO
of 1900 ppmv[
108] (all fossil-fuel sources burned).
A precursor of 6 mantle layers has likely been created in events during Precambrian era, while population with neuron cells and final formation is occurring in Phanerozoic.
There have been 5 major extinctions in Phanerozoic, thus the next event should populate top layers and complete the formation of the final layer (I):
Formed layers of Earth’s brain are shown in
Figure 18. Comparing with other layers, it seems evident that layer I is yet to be completed (according to PREM like models, it’s a partially molten rock, unlike the deeper layers of upper mantle which are considered to be composed of solid rock) - green line illustrates one possibility of seismic velocities after formation (suggesting further melting of the upper part, solidification of the lower part of the layer).
Energy from the Sun provides incubation energy used for the maintenance of the Earth’s surface ecosystem and weak evolution, but additional energy is needed for the formation of brain layers of homo.omega.
This energy is delivered through asteroid (also could be interpreted as food) and possibly cometary (water/organic compounds) impacts.
Year 2300 AD for the event is very conservative though, as it is based on linear extrapolation, does not include rising water temperatures and reaction of the biosphere.
Acidification of water at these events must be, in significant part, driven by injections of gases (eg. sulfur dioxide) through oceanic ridges and vents or, with rising temperature, methane seeps (where methane gets converted to CO by bacteria) which would introduce significant departure from linear correlation of pH with atmospheric CO.
Mathematical analysis of past perturbations of Earth’s carbon cycle[
111] also predicts sooner triggering of the 6th major extinction event, before year 2100[
112] (based on most likely future emission scenarios, the critical mass of oceanic carbon uptake calculated by the study author will be reached before year 2066).
From
Figure 19 and more recent models[
114], it is evident that CO
concentration has a decreasing trend. And this is expected with increasing energy from the Sun (Sun was about 6% less luminous 500 million years ago) = less greenhouse gases needed to maintain the temperature required for cultivation.
Everything in nature oscillates (and fluctuates) so this decrease in amplitude should not be linear either, however some rough periodicity in extinctions must be present.
Statistically significant periodicity of extinctions[
115] (at least in the last 250 million years) has been noted before - 26, and more recently, 27 million years between extinctions[
116]. In any case, due to differences in extinction strength, multiple harmonics (or energy splitting of a single oscillator) are possible.
Using available data, one can construct models for atmospheric CO
concentration synchronized with the oceanic pH minimum of a particular major extinction, as shown in
Table 23.
Table 22.
CO pH minimum marker models
Table 22.
CO pH minimum marker models
| year [mya] |
a) CO [ppm] |
b) CO [ppm] |
c) CO [ppm] |
d) CO [ppm] |
e) CO [ppm] |
| 444 |
3800 |
200 |
2000 |
3800 |
2000 |
| 370 |
1000 |
2000 |
1000 |
1800 |
1200 |
| 252 |
800 |
900 |
800 |
800 |
800 |
| 201 |
1800 |
1800 |
1800 |
1800 |
600 |
| 66 |
250 |
250 |
250 |
300 |
500 |
| 0 |
450 |
700 |
750 |
800 |
450 |
Models are constructed in such a way to simulate oscillation of CO markers and compression of the amplitude with time, but they are also quantized - each marker is a multiple of 50 ppm CO quantum.
Some of the models are shown in
Figure 20, blue dots are major extinction events, red triangles are minor extinction events (the curve does not necessarily follow actual CO
levels between the extinctions, it is only used to illustrate oscillation of markers).
From these models, grouping of extinctions (suggesting oscillation of frequency) becomes more apparent. Major extinctions can be grouped into pairs separated by 126.5 (±8.5) million years, while paired extinctions are separated by roughly half that distance - 62.5 (±11.5) million years. Minor extinctions (420, 305, 145 and 34 mya) may be grouped in the same way - pairs separated by 160 million years, 113 (±2) million years separation of paired extinctions.
Model a) is the product of energy level splitting of a single oscillator, while b) is the product of 2 harmonic oscillators - one high energy (major) and one low energy (minor).
Points on the curve should not be interpreted as maximum atmospheric CO levels across the boundary, simply the points of migration or pH minimums.
While these particular models may be speculative, all Phanerozoic CO
models show decreasing CO
over time (this should be more evident when comparing boundaries of major extinction events) and recent research shows that maximum atmospheric CO
across the K-Pg boundary (last major extinction) was 875 ppm[
117].
Thus, the maximum atmospheric CO concentration during current extinction should be lower than 875 ppm, probably not higher than 800 ppm and not lower than 500 ppm (suggesting that a larger part of acidification will not be sourced in dissolved atmospheric CO).
Note that, apart from suitable pH, another requirement for migration is ice free Antarctica. Studies measuring paleoclimatic proxies show that Antarctic ice sheet disappears at some point between 500 - 800 ppm CO
concentration[
118] (the melting, however, is not perfectly synchronized with the CO
level, conventional belief is that it would take at least a couple of thousands of years for all ice to melt once the tipping point has been passed). Thus, it is quite likely that the rise of CO
beyond 800 ppm is indeed unnecessary (eg. some 3 million years ago Antarctica had much higher temperatures[
119] but the CO
levels were even somewhat lower than today).
Recent history of CO
concentration is shown in
Figure 21. Assuming that CO
has been, during that history, correlated with rate of evolution, one can extrapolate the relation for accelerated evolution of the current
extinction.
Extrapolating from
Figure 21, from year 1850 onward:
which, for the concentration of 800 ppmv gives year T = 2075.
While humans may eventually reduce their CO emissions significantly, the rate of evolution should keep accelerating according to equation and, regardless of atmospheric CO (which may still be increasing even with 0 human emissions), the required pH minimum will eventually be reached.
Asteroid impacts, previously correlated with Earth’s graviton energy level changes, should start before the migration, increasing in frequency and energy with time. Although required energy for changes may be lower than in previous major extinctions, it should still be significant.
Assuming interval between possible impacts is quantized proportionally to a 50 ppm CO increase (representing a quantum of energy), given the C1.1 equation, one can calculate potential years of impacts and correlate these with potential impactors, as shown in Table 24 for several concentrations.
Evidently, there are good candidates among extinction causing asteroids in NEO (near Earth orbit) for calculated dates.
As noted before (chapter The cycles), the energy level changing impact may be spread over time - split into multiple impacts with energy generally rising toward the peak.
There may be multiple impactors and/or a single impactor breaking into multiple smaller ones. In example, breaking of Apophis (homo induced?) could result in two impacts, one about 2029, another about 2066. In fact, some smaller impacts that can be correlated with this may have happened already (eg. Chelyabinsk meteor).
In any case, fission of extinction pulses is certainly possible and has probably happened in previous extinctions.
Such pulses might not only be plausible but necessary - first pulse would include asteroid impact(s) (possibly triggering additional ocean acidification and formation of the layer in the mantle), the other would provide new water/life, either by comets or asteroids. A third pulse in between might also be needed to trigger the (now acidified - CSF) ocean sink and, relatively, sterilize the surface (as noted before, all this is probably synchronized with magnetic field collapse, allowing surface sterilization by UV/gamma radiation).
It might seem that new water this time is not needed - as formation of mantle layers should be complete with this extinction (corresponding to Carbon nature of the Solar System) there is no need for cultivation of new progenitor cells on surface. However, it probably does happen as it would provide additional radiation protection and provide support for whatever life remains on, or near, surface.
This is evident on Mars - as layers below the surface formed, magnetic field receded leaving the surface sterilized. Delivered water froze and is now covered with dust. Thus, one can only expect to find residual and resilient bacteria within the crust of Mars.
Similar probably happened on Venus except water evaporated due to high surface temperature.
Nothing in nature is linear (although this approximation may be suitable during stages of weak evolution) and in these extreme events one can expect significant departures from linear relations (by multiple orders of magnitude) between phenomena.
Since these events are coupled with gravitational stresses of the Solar System one can expect temporary but significant increase in alpha and neutrino radiation (radiation flux induced by temporary collapse of a gravitational well associated with a large scale graviton - strongly affecting half-lives of isotopes).
The assumption of absolutely constant decay rates will not only produce incorrect ages but can result in misplacement of events on a geological timescale. Thus, inconsistencies in certain geological records can serve as indirect evidence to disruptions in decay rates.
Consider the neutrino pulse in
Figure 22 - under the assumption of constant decay rates, 3 different fossil records A, B, C may give following results:
assuming non-isotropic space-time perturbation, such that fossil record A decay is not affected by the event at t, the event at t (associated with fossil record B) might appear to have happened before the event at t (associated with fossil record A)
in case decay rates of both A and B are affected, the distance of t and t to t will be increased (time interval expansion)
Neutrino flux can also be decreased indicating shortening (rather than expansion) of time intervals, although in this context the increase of the flux is expected.
Due to accumulation, duration of fossilized events would apparently increase with time so older events would seem longer in duration compared to more recent events. This is exactly the case with current fossil evidence of past carbon cycle disruptions.
In such case, the current rate of CO injection is not different from those in previous major extinctions (the fact that it is anthropogenic makes no difference).
If one assumes that the average period between extinctions is equal to the 2nd order oscillation period of the Solar System, in case of ideal synchronization, it is quantized by the 3rd order period of existence (T
= 1.512 * 10
years). In such case, assuming the period must be roughly 26 or 27 million years, the proper period is:
This is in agreement with previously determined periodicity of impact cratering (25.8±0.6 * 10
years)[
116].
One can now assume that the CO
injection within the Cretaceous-Paleogene (K-Pg) boundary (66.5 - 65.5 mya) is equal to current injection (currently dominantly anthropogenic) and that increase of decay rate (effective compression of time, causing boundary to be significantly overestimated in duration) is induced within the boundary - with the start of boundary corresponding to t
and end to t
in
Figure 22.
Assuming CO
increased from 780 ppmv to 1440 ppmv (
CO
= 660 ppmv) in period 66.5 mya - 65.5 mya (
t
= 1 million years)[
131], compression of time
t
with each major extinction is:
where
t
is the period of 660 ppmv of anthropogenic CO
increase since year 1850 (assuming this is the start of the new boundary), calculated using (C1.1).
However, year 1850 as the start of the boundary is not convincing and recent research shows CO injection of 250 ppm, not 660 ppm, within the K-Pg boundary, though this does not affect compression (t) significantly (it makes it larger for a couple of decades at most).
Probably most likely start of a new boundary (end of Holocene) is year 2065 or 2066, which, with an increase of 250 ppm, gives year 2084 as the end, the same as in the previous assumption (1850 + 234 = 2084).
Gravitational collapses during strong evolution pulses with a period of T years (3rd order period) may last only t = 19.3 seconds, but collapses during stronger evolution pulses occurring with a period of T years (2nd order) last longer (possibly 7 days).
With each large extinction, outer gravitational maximum of the sun collapses.
I assume the gravitational disturbance reaches the orbit of Mars at the time the gravitational well is restored (this may be interpreted as the temporary change of energy level of the Sun’s outer maximum). Thus, with disturbance travelling at the speed of light, time of increased decay radiation is:
where r
is the distance of Mars to Sun.
Now one can calculate time compression with each cycle (pulse) of existence
t
and each extinction
t
:
Age of Earth is thus overestimated by:
giving the real age of Earth:
where
T
= 4.54±0.05 * 10
years.
If one assumes that T is the equivalent of 1 day of human embryo development, Earth is at the week 25 (GW25) of gestation period (right at the beginning, in case of corrected age).
The GW25 marks the end of embryonic neurogenesis in humans and thus agrees with the suggestion of final major extinction.
The current carbon cycle disruption (6th major extinction) will thus not span thousands ( 10000) of years as predicted by the assumption of constant decay, but at most 234 years - starting from year 1850 (10000 years of already passed Holocene extinction may be regarded as a precursor to the major event starting at year 1850).
Note that this year corresponds to 950 ppm, as predicted by (C1.1).
14.4.1. Magnetic field collapse
As noted before, the 6th major extinction will likely include a decline of the Earth’s magnetic field, either as a temporary excursion (partial or global collapse), part of a complete reversal, or even a longer-lasting or permanent retreat. The Earth’s magnetic field is currently declining at an accelerated rate, which, when coupled with the rapid movement of magnetic poles, indeed suggests imminent collapse. The previously determined correlation of the 4th order period of general oscillation of the Solar System with past excursions (see chapter 8 The cycles) also suggests that, at least, a magnetic excursion is near.
If that is so, when will the collapse, partial or not, occur?
With no further acceleration of the decline the collapse would occur sometime beyond year 2100. However, such scenario is unlikely - additional acceleration is expected for a collapse.
The collapse should also be relatively synchronized with other impactful events, which, as I hypothesize, are correlated with the rate of evolution - which is currently correlated with the rate of atmospheric CO increase. With the assumption of events occurring with every 50 ppm increase of CO, per the equation C1.1, one obtains the following years:
2029, 2040, 2048, 2055, 2061, 2066, ...
Thus, the magnetic collapse should not occur before year 2029 (or, 450 ppm CO) and most likely not after year 2066. I find it likely to occur sometime around 2048, however, it full collapse is imminent, it may be preceded by multiple partial and/or temporary collapses, perhaps even with first one occurring 2029±2.
14.4.2. Sea level changes
Neurogenesis requires transfer of differentiated progenitor cells to subterranean world, into designated mantle layers. Therefore, a passageway must exist somewhere, connecting the surface with underground tunnels leading to such places - unless one is created when needed, which I find unlikely.
Scaling the largest neuron cells to Earth size, such passageway must have a radius of at least ≈ 250 metres to allow sequential cell transfer. However, parallel transfer of multiple cells is certainly more plausible - a radius on the order of 10 m.
Thus, the only location where this could remain hidden (protected) and isolated when unused is Antarctica. Ice melting is required to expose this location but likely also to raise the sea level in order to pick up the proteins and cells on land area.
Rise in atmospheric greenhouse gases is unlikely to produce adequate rise in temperature required to melt all ice in the predicted short time-frame (≤2066). Thus, different mechanisms should be responsible to induce significant breaking and melting of ice sheets. In addition to greenhouse gases, volcanism/geothermal sources are likely. Melting can also be accelerated by asteroids, but also by advanced alien species from the deep.
However, if time indeed gets effectively compressed (with temporarily increased decay rates of elements), radioactivity itself could be melting the ice. Assuming that the increase of decay rates of hydrogen and oxygen in water molecules doesn’t produce significant effect (hydrogen probably shouldn’t be affected at all, and the effect may be negligible for all stable isotopes), required radioactivity (heat) may be produced by gases trapped in ice.
Note that significant amount of sea level rise has been already baked in with the increase of CO from pre-industrial 280 ppm to present levels (≈410 ppm). The estimates depend on study (some are analyses of recent glacial-interglacial fluctuation, others of individual past events with different CO ranges) and range from 10 - 40 metres. The relationship is not linear and may go roughly like this:
with CO in the range 200 - 400 ppm, sea level rise baked in is 26 m per 100 ppm of CO,
for 400 - 600 ppm, 13 m rise per 100 ppm CO,
600 - 800 ppm, 4.3 m rise per 100 ppm CO.
This would then result in 65.8 m total sea level rise, baked in with CO rising from 280 ppm to 800 ppm.
14.4.3. Analysis of past extinctions
Here, past extinctions are analysed for periodicity, with incorporated corrections by previously calculated time compression due to pulses of decay rate changes.
Periodicity is obtained using circular spectral analysis[
137] of a couple of datasets, which all give similar results.
Data is grouped into energy levels corresponding to the extinction magnitude (5 - major extinctions, 4 - minor extinctions, 3 - other extinctions, 2 and 1 - potential extinctions).
The method
In the circular model of periodicity a time line is wrapped around a circle, the circumference of which represents a trial period. For each occurrence, a unit vector from the origin is calculated. If periodic, the series will tend to form a cluster at one point on the circumference when the correct trial period is used. Here, angular location relative to 0 (present) gives the phase (t).
Ages of individual events (t
) are transformed to angles (a
, b
) for each trial period P:
where R is a mean vector magnitude (normalized measure of goodness of fit). The phase shift (t
) is calculated as follows:
Dataset 1
Extinction events in dataset 1, grouped into energy levels and calculated corrected ages for these events, respectively, are shown in
Table 27.
Maximal R was obtained for a period P = 25.92 My (million years), with a phase of 9.355 My.
On the left,
Figure 23 shows extinctions plotted against the obtained periodicity (dashed grey line), solid colored circles are extinction events with corrected ages, empty circles are extinctions with non-corrected ages. On the right,
Figure 23 shows the result of circular spectral analysis.
Dataset 2
Here, a larger dataset from a single source was used.
Maximal R reveals a period P = 26 My, with a phase of 8.617 My.
Extinctions and the result of spectral analysis are shown in
Figure 24.
Dataset 3
Previous datasets do not take into account possible splitting of energy levels. Here, an even larger dataset is presented which shows possible energy splitting and how this, when not accounted for, causes lower confidence in calculated P.
Here, for R = 0.413, obtained P = 22.493 My, phase 15.603 My.
Dataset 4
Here I hypothesize that deviations from P are the result of energy splitting into smaller events which when grouped properly would fit on P intervals.
The dataset is the same as dataset 3, except the hypothesized splittings (circled extinction pairs in
Figure 25) have been grouped into a single event, simply by using arithmetic mean age of the pair.
Table 29.
Extinction events dataset 4
Table 29.
Extinction events dataset 4
| energy level |
extinction events [mya] |
extinction events (t), age corrected [mya] |
| 5 |
66, 201.4, (251.9+259.8)/2 = 255.9, 372.2, 445.2 |
61.986, 190.308, 241.967, 352.461, 421.348 |
| 4 |
37.8, 145, 306.7, (419.2+423)/2 = 421.1, (514+541)/2 = 527.5 |
36.206, 136.774, 289.975, 398.619, 499.361 |
| 3 |
11.6, 93.9, (183.7+168.3)/2 = 176, 228.5, (272.3+295)/2 = 283.7, 427.4, (485.4+467.3)/2 = 476.4, 500.5 |
11.402, 88.465, 166.304, 215.987, 268.346, 403.82, 451.053, 473.782 |
| 2 |
113.1, (330.9+346.7)/2 = 339 |
107.344, 320.78 |
| 1 |
393.3 |
372.239 |
The R peaks at 0.807, corresponding to P = 25.89 My, very close to one obtained from dataset 1. Phase is 9.55 My.
Dataset 5
Here dataset 4 is modified with the assumption that splitting occurs in all events, thus, in addition to previously grouped events, the remaining non-grouped events have been grouped with adjacent boundaries.
Table 30.
Extinction events dataset 5
Table 30.
Extinction events dataset 5
| energy level |
extinction events [mya] |
extinction events (t), age corrected [mya] |
| 5 |
(61.6+66)/2 = 63.8, (199.4+201.4)/2 = 200.4, (251.9+259.8)/2 = 255.9, (372.2+382.7)/2 = 377.5, (443.8+445.2)/2 = 444.5 |
60.81, 189.333, 241.967, 356.687, 420.648 |
| 4 |
(33.9+38)/2 = 36, (139.4+145)/2 = 142.2, (306.7+314.6)/2 = 310.7, (419.2+423)/2 = 421.1, (514+541)/2 = 527.5 |
34.431, 134.998, 293.926, 398.619, 499.361 |
| 3 |
(11.6+13.8)/2 = 12.7, (89.8+93.9)/2 = 91.9, (183.7+168.3)/2 = 176, (228.5+237)/2 = 232.8, (272.3+295)/2 = 283.7, (427.4+430.5)/2 = 429, (485.4+467.3)/2 = 476.4, (497+500.5)/2 = 498.8 |
12.502, 86.49, 166.304, 220.213, 268.346, 405.395, 451.053, 472.107 |
| 2 |
(113.1+126.3)/2 = 119.7, (330.9+346.7)/2 = 339 |
112.87, 320.58 |
| 1 |
(387.7+393.3)/2 = 390.5 |
369.489 |
Figure 27.
Dataset 5 - spectral analysis
Figure 27.
Dataset 5 - spectral analysis
The R peaks at 0.75, corresponding to P = 25.84 My. Phase for this P is 9.78 My, however, here another peak at 12.875 My (R = 0.61) reveals a likely harmonic.
Dataset 6
Here, dataset contains only highest energy (major and minor) extinctions, from dataset 1.
Table 31.
Extinction events dataset 6
Table 31.
Extinction events dataset 6
| energy level |
extinction events [mya] |
extinction events (t), age corrected [mya] |
| 5 |
66, 201.3, 252.2, 365, 445 |
61.986, 190.208, 238.316, 345.385, 421.148 |
| 4 |
37.8, 145, 260, 305, 420 |
36.206, 136.774, 245.993, 288.3, 397.519 |
This dataset gives highest R maximum (0.837), a period P = 25.74 My, with a phase of 9.689 My.
Confidence
Note that equal weight was assumed for all extinctions in a particular dataset. Different weights can affect the confidence in the result (less if they are all harmonics). But even with that taken into account, there is high confidence in P ≈ 25.74 My - 25.89 My.
The result with highest confidence (25.74 My) is also the closest to calculated ideal quantization by the 3rd order period (1.512 * 10 My) - 25.705 My, further increasing confidence in such periodicity.
Note that the burning cycle of the Sun’s core is calculated (in the "Quantization of the Sun" chapter) to be equal to 25.746608 My, confirming the signal.
Neurogenesis in standard lifeforms on Earth during embryonic development does imply certain periodicity in the formation of brain layers and neuron migration.
High energy impact cratering and extinctions (migrations) in planetary neurogenesis should be no exception.
In fact, with such periodicity and the last high energy extinction 37.8 My in the past, next one would be overdue, roughly by the phase shift.
However, as noted before, major extinctions seem to be grouped in pairs and multiple oscillators should probably be considered. With paired extinctions separated by roughly 63±3 My (in uncorrected ages), major extinction in the present time would be on schedule. This peak can be observed in analysis. Indeed, repeating the analysis for dataset 5, but with only major events (using corrected ages) included, yields highest peak at 12.85 My (the 2nd harmonic of 25.7 My) and R = 0.973, with the 2nd highest peak being at 59.272 My (R = 0.923).
Thus, imminent extinction (or the ongoing extinction peak) as calculated using models based on C1.1 equation should not be surprising.
Supplement
Here is the code used to calculate correct ages of extinction events, perform the analysis and generate images.(Fig.: getext.php +)
14.4.4. Correlation with mantle layers
Grouping and correlation of extinction events with the formation of brain [mantle] layers also indicates that another major mass extinction should be near, at least in geological terms.
This correlation is shown in
Figure 28 - time between major extinction events of Phanerozoic is proportional to thickness of a corresponding mantle layer.
This is, effectively, a conversion of time separated discontinuities into events separated in space.
To quantify the correlation, periods of weak evolution and thicknesses of mantle layers have been normalized:
Results are shown in
Table 33. Here, corrected extinction ages are used, although non-corrected ages would yield similar results.
Table 32.
Comparison of weak evolution periods and mantle layers, sources: a, b
Table 32.
Comparison of weak evolution periods and mantle layers, sources: a, b
| i |
Period of weak evolution T [My] |
Normalized period of weak evolution T
|
Corresponding mantle layer thickness D [km] |
Normalized layer thickness D
|
| 5 |
421.348 - 352.461 = 68.887 |
0.163 |
780 - 660 = 120 |
0.176 |
| 4 |
352.461 - 238.041 = 114.42 |
0.272 |
660 - 520 = 140 |
0.206 |
| 3 |
238.041 - 190.308 = 47.733 |
0.113 |
520 - 410 = 110 |
0.162 |
| 2 |
190.308 - 61.986 = 128.322 |
0.305 |
410 - 220 = 190 |
0.279 |
| 1 |
61.986 - 0 = 61.986 |
0.147 |
220 - 100 = 120 |
0.176 |
Correlation in absolute value varies between the pairs, but overall, it is apparent.
At least some deviation could be explained by the fact that formation is not yet complete - eg. the boundary between layers 3 and 4 might change with the pending extinction.
If layer 3 decrease would be equal to layer 4 increase (≈ 0.0575 in normalized value) and layer 1 decrease to layer 2 increase (≈ 0.0275 ≈ 0.0575 / 2), with a small decrease in layer 5 (0.013 ≈ 0.0275 / 2) coupled with equivalent increase in layer 6, normalized extinction and mantle boundaries would be almost equal.
Effectively, what is necessary for better agreement is the upward movement of 3 discontinuities (between layers I and II, III and IV, V and VI).
However, exact location of boundaries is a matter of debate. They must have some thickness, so it may be more appropriate to equate layer thickness with distance between discontinuities. If that would be a distance between lower discontinuities of two boundaries, it would, for layer 1, yield a normalized value exactly equal to the corresponding normalized period of weak evolution:
Also, globally average velocities might not be the best choice for determination of layer discontinuities - eg. Lehmann discontinuity is at 220 km for tectonic North America, but 200 km for shield North America[
151], while it may be absent beneath north Atlantic and other oceans.
If one assumes that 200 km is a
proper boundary (220 km may be a precursor boundary that will reduce to 200 km with complete formation), the correlation with extinctions for both layers, I and II, becomes remarkable:
Some report the base of the upper mantle at 670 km[
152] rather than 660, this improves the correlation with layers 5 and 4:
Now, the only
problematic boundary is the one between layers 3 and 4 (at 520 km). Some do report this boundary at 500 km, which gives much better agreement:
Note that extinction boundaries also have some thickness or uncertainties, notably first three, which may explain differences in reported discontinuity depths. The 3rd major extinction (Permian) is apparently split into two events (End-Capitanian and Permian-Triassic). Using End-Capitanian 245.793 Mya (259.8 Mya non-corrected) instead of Permian-Triassic 238.041 Mya (251.9 Mya non-corrected) as the date of Permian extinction gives results in remarkable agreement with the obtained layers 3 and 4 (with discontinuities at 410 km, 500 km and 670 km):
The correlation, with above adjustments, is shown in
Table 34 (with ages rounded to a single decimal).
The correlation, using uncorrected ages for major mass extinctions, is shown in
Table 35.
The excellent agreement here suggests no further adjustment of discontinuities is needed, except possibly for layer I, as shown in green in
Figure 28 (right) which should be unsurprising given the correlation with the current extinction.
Correlation of layer 6 and the corresponding period of weak evolution has not been determined due to unknown boundary.
However, assuming the extinction at the start of Phanerozoic (511.664 mya in corrected age, or 541 mya non-corrected) is correlated with the lower boundary of layer 6, one can calculate the thickness of layer 6:
In that case, a discontinuity, if formed, should exist in Earth’s mantle at a depth of 937 km (assuming boundary between layer 5 and 6 at 780 km).
Apparently, this discontinuity has been detected[
153] (at 940 km).
14.4.5. Evidence in time compression
If planetary neurogenesis is happening on Earth, it was likely happening on Mars and Venus too. Time, however, flows differently for animals of different size. The rate of evolution on Mars should then be different from the rate of evolution on Earth - it should be faster.
Applying Kleiber’s law, 4.54 billion years of evolution on Earth would, on Mars, last:
M = 0.642 * 10 kg
M = 5.972 * 10 kg
T = 4.54 * 10 years
Assuming Mars was formed roughly at the same time as Earth, present time on Earth corresponds to a time 3.69 billion years ago on Mars (4.54 - 0.85 = 3.69).
This is a very interesting result as studies show that Martian climate shifted from habitable to uninhabitable - when its atmosphere was lost and liquid water disappeared from surface, roughly 3.6 billion years ago[
154] (src[
155]).
This suggests that current major extinction on Earth may indeed be the final major extinction of the planetary embryogenesis (neurogenesis), after which the Earth’s surface will become permanently uninhabitable (although periodic and possibly spatially limited pulses of habitability cannot be excluded, as hypothesized pulses of adult neurogenesis).
The same equation gives evolution period of 3.9 billion years for Venus, suggesting Venus lost habitability some 640 million years ago. Again interesting, as studies show that Venus did lose habitability roughly 700 million years ago[
156].
The rate of evolution here should be matched by the rate of geologic changes. Thus, these too should have proceeded at faster rates on early Mars. In example, the average rate of production of new crust during the Mars’ habitable period should have been about 5.33 times faster than on Earth. Magnetic reversals, on the other hand, are likely correlated with the Sun’s activity and Mars, being farther from the Sun, should be less sensitive to this activity. Magnetic dipole reversals on Mars during the crust formation should then be less frequent (proportionally to distance difference) than on Earth during the habitable period.
Assuming sensitivity inversely proportional to the square of distance (being dependent either on Sun’s gravity, electro-magnetic field strength, or, most likely, solar wind density[
157]), with horizontal scale length of order 10 km on Earth for the width of features magnetized in normal, or reversed, polarity, the horizontal scale length on Mars should be:
d
= horizontal scale length on Earth = 10 km
r = Mars’ distance from the Sun = 227.9 * 10 m
r = 149.6 * 10 m
Thus, on Mars, magnetic crust anomalies should be 10 times wider than on Earth, and this is exactly what has been measured[
158]. Given this and other evidence, plate tectonics had likely occurred on habitable Mars, only the number of plates, compared to Earth, may have been different.
Interestingly, observations show stronger magnetism near the Mars’ south pole[
159]. This could indicate that the magnetic field was confined to this area during the late stages of habitability on Mars (which should not be surprising if life is guided to the south pole, as hypothesized for the end of neurogenesis events). It could also be interpreted as younger re-magnetization (eg. during an adult neurogenesis event). Both interpretations can be true.
14.4.6. Some additional predictions of neurogenesis
If cultivation of life on planet’s surface is equivalent to cultivation of neural cells during embryonic neurogenesis in mammals, the events hypothesized above are not the only upcoming events that can be predicted.
Obviously, cultivation of cells/proteins must be limited. The most effective (or most energy efficient) way to limit population growth is to substantially decrease its fertility. Recent studies show that fertility in humans is indeed decreasing, at an accelerating pace[
160].
Accelerated evolution likely includes accelerated ageing in some species or sub-species (in some, possibly reversed), cases of which are showing up in studies too[
161].
14.4.7. Problems and alternatives
While partitioning of the Earth’s mantle, its correlation with major extinctions and cultivation/evolution of cells (life) on the surface do represent a strong signature of a large scale equivalent of neurogenesis, how plausible it is that migration of life to mantle does indeed happen?
It is possible that it does not - the Earth might simply represent a large scale of a [precursor] lifeform that is yet to evolve neurogenesis. Perhaps life evolving on the surface will, on its own, eventually start digging deeper and deeper into the Earth’s mantle (as surface habitability decreases) - in the process changing the environment and making it more suitable for complex life (the process might be somewhat similar to how the standard cell acquired bacteria which evolved into mitochondria).
Thus, even if the Earth’s mantle doesn’t have habitable regions at the moment, it’s probably evolving in that direction.
But why then would mantle discontinuities correlate with major extinctions? This could be interpreted as a precursor of formation of habitable layers, but is it possible that the habitable regions have been created already?
To answer that question one first needs to determine what are the requirements for complex life to survive in the mantle. These appear to be: water, energy and suitable pressure (temperature) and density. The availability of water and energy probably should not be questionable (these are already predicted/confirmed with conventional theories/interpretations). The only issue then is the suitable pressure and density, enabling liquid water among other things.
I assume the layers are created and sustained with oscillation of a large scale gravitational maximum (if not permanent presence of multiple maxima at different energy levels). Presence of a maximum will result in concentration of matter (real mass) around that maximum. Once the maximum changes energy level (through spin reversals and temporary scale collapse) the accumulated matter will remain stable for some time (millions of years or more) but periodic presence of a maximum can ensure long-term stability. This mechanism (oscillation between energy levels) can thus create alternating gradients of gravity where gravity is cancelled at some point between two energy levels, enabling thus the establishment of pressures/temperatures suitable for complex life.
Is it possible that such places exist in Earth’s mantle?
It certainly is - even without involving large scale gravitons, density can have multiple maxima, but there are constraints on size and shape (a habitable layer might be represented by a relatively hollow tube in the shape of a torus, or it could be quantized into multiple spherical cells).
Interior of the Earth has not been seen directly so one must rely on indirect observations. The mass (average density) of Earth has been determined from laws of gravity and planetary motion, and is known to very good precision. Moment of inertia of Earth has revealed strong concentration of mass around the centre. Earth’s core thus must be, on average, more dense than the mantle.
Astronomy also revealed that Earth’s mantle must be, on average, rigid (solid).
Everything else known about the interior (including core size) comes from seismology, which is limited and very prone to interpretation bias.
Interpretation is possible once the paths and velocities of seismic waves are determined. Velocity is proportional to pressure (through coefficient of stiffness and shear modulus) and inversely proportional to density. To determine pressure one needs to know the density. Obviously, the same velocity can produce infinite combinations of pressure and density.
Constraints can come from wave dispersion analysis (for shallow depths) and from modes of free oscillation[
162] (which is especially valuable, as it can give averaged density in
absolute value - independent of elasticity).
The conventional interpretation of the interior is usually based on 1-dimensional (density dependent solely on radius) models (eg. PREM), where density in the mantle generally gradually increases with depth. Pressure is then determined from calculated density.
Although 3D models exist as well, due to limited resolution[
163] (averaged values) - which decreases with depth, density can oscillate/deviate from the prediction (model) and some areas in the mantle, especially at depths with high lateral heterogeneity, could have much different pressure and density than assumed. Due to poor resolution of free oscillation and absence of earthquakes (ray-paths) throughout most of the mantle, existence of habitable zones cannot be ruled out.
It is also possible that habitable zones are hidden from view - eg. in regions (eg. tubes, spheres) of effectively curved space where sound waves simply wrap around the region. Here, this is not necessarily a localized spacetime curvature (which, by conventional theories, is not even possible here) rather a material acting like an acoustic invisibility cloak (such materials are definitely possible and have been created by humans already). After all, it makes sense to hide intelligence from outer threats (eg. cancer, or earthquakes), whether extra/intra-terrestrials are involved or not.
14.5. Metabolism of Earth
Transfer of energy in wild flora and fauna is generally balanced both horizontally and vertically.
Vertical transfer of energy is a part of metabolism but changes in horizontal current affect the vertical transfer too (and vice versa).
Humans dominate in both horizontal (surface to surface) and vertical (Sun - Earth interior) energy distribution and transformation, disrupting the harmonics of life.
Horizontal effect is the increasing number of individuals at the cost of decreasing number and diversity of other species, while vertically it is the unsustainable exploitation of radiated and stored resources of the Sun/Earth ecosystem.
Thus, one may interpret humans as the metabolism energy carrier particles, in a limited domain.
With a human population N of 7.674 * 10
, average mass m of 62 kg, and average lifetime
t of 72.6 years (data for year 2019, except mass - 2012):
where M is the mass of Earth (5.9723 * 10
kg).
This gives a value of 0.756 for exponent, in agreement with Kleiber’s law.
However, in case of organ interpretation, the exponent suggests a superposition of a brain and a kidney.
In order for this superposition to differentiate into the brain, the exponent would have to reduce to 0.7.
There are several ways to achieve that (sorted by probability, from highest to lowest):
increasing human lifetime (≈25 times) to 1813 years,
reducing population (≈25 times) to 307243423,
reducing mass (≈25 times),
increasing Earth’s mass ≈100 times (≈ mass of Saturn).
If humans are indeed precursor proteins of neuron proteins of Earth, as carriers of energy of its brain metabolism, I would expect the solution to be a weighted superposition of the above.
However, if Earth has a heart equivalent (core), most likely it also has a kidney equivalent and the population might differentiate into proteins of varying function.
I, strive for neutrality - the equal, balanced usage of all parts of my universe. I am aware though, that this is an unreachable singularity, but it is the journey that makes one alive - for without it there would be no senses, for a sense of reason, and a reason for existence.
14.5.1. Nature of human cells
Dominance of lifeforms changes over time. At present time, homo species occupies and controls most of the surface of the planet. Human population is rising and thriving at the expense of other species.
While the dominion of species may be related to precursor nature of vital organism components, its behaviour can be corrupted, so cultivation of new proteins becomes evolution of disease rather of something integral for survival.
While it is not questionable whether human species is a disease for the planet, it is questionable whether this is fatal or rather a normal part of evolution of healthy cells and proteins with self-correcting mechanisms.
Dividing the total surface area of Earth (R = 6371 * 10
m) with the number of people, one gets the maximum size of the cell:
Radius of space per person is:
If the radius of a human occupied cell of Earth is the mean free path r, the radius of a cell equivalent in human body of average diameter (height) h = 1.7 m is:
If one calculates using landmass only (people don’t naturally live on water):
Taking into account space used by wild flora and fauna:
This is in the range of a typical cancer cell. It is, of course, in the range of healthy cells too, but human cells are far from healthy.
It might seem that the radius r (r) changes with population, but this is not the case - if human space decreases, the space of wild flora and fauna increases and vice versa, thus it generally evolves weakly, remaining almost constant.
Figure 29 illustrates a homo cell on Earth’s surface, circled space (red) is occupied by a human and domesticated flora and fauna, other (green) by wild flora and fauna.
Figure 30 illustrates what I would consider a normal (healthy) unit of space on Earth. Red is a cell of homo.sapiens (Earth’s neuron cell), black lines are mental connections (synapses) to other cells.
Figure 31 illustrates the cancerous, or current typical, unit of space on Earth. Blue and red are polarized human (cancer) cells.
Cancer cell contains the individuals (proteins) and space affected by cancerous population, but one can even calculate the role of a human in the cancer cell:
This is in the range of a TGF- protein, a key player in cancer development.
Confirmation of this comes from recent studies[
164], revealing human nature of TGF-
:
"And while it may be difficult to imagine a protein with two dramatically different faces, it may be even more difficult to contemplate cancer cells exhibiting traits, such as cunning and deception. But the research underway at the University of Basel, and collaborating laboratories, has revealed that TGF- not only is a two-faced protein, it also is one that seems almost Machiavellian in its activities."[165]
Cancerous TGF- suppresses the immune response and prevents old cells/proteins from dying (regenerating). Humanity is, at the time of this writing, expressing this cancerous behaviour on many levels:
through treatment of diseases (including cancer) humanity is suppressing the immune system of Earth,
forcing human life at all costs and treating death (as a disease) - instead of letting cells (and proteins - people/animals) die as programmed so they can regenerate,
treating Earth and other life forms (and, generally, even people) as resources - instead of living in a sustainable symbiotic relationship,
creating and living in centralized, stressful environments, promoting inequality in wealth and health,
denying the truth.
The average cell cycle period of eukaryotic cell is T
= 14.5 hours, scaled to Earth size, it is:
where T
is the period of 3rd order existence cycle of Earth (1.512 * 10
years).
Dual nature
Are humans cells cancer cells or are human cells precursor neural cells? I believe they are both. It is well known that cancer cells share characteristics of embryonic neural cells[
166]. It is also known that neurogenesis can be induced by cancer[
167].
What’s happening on Earth currently can then be interpreted either as embryonic neurogenesis or tumour induced [adult] neurogenesis. However, perhaps the most appropriate interpretation is a tumour induced embryonic neurogenesis.
14.6. Similarities and differences
While there could be many similarities between embryogenesis (neurogenesis) on standard scale and Earth’s embryogenesis (neurogenesis), to what degree these should be similar?
For example, assuming Earth represents a living organism or a living cell, is there a DNA equivalent?
If humans and other animals are protein equivalents, obviously gene equivalents exist as well. The entire human genome, for example, is a single gene on this scale, coding for a single protein (human). Every human carries multiple copies of this gene (genome) so the entire human body could be interpreted as a single strand of DNA. Thus, animals on Earth could be interpreted as superposition of large scale proteins and DNA. A primordial soup?
As noted before, time dilation exists between vertical energy levels. Compared to standard scale (U), time flows slower on Earth’s scale (U). Thus, Earth could represent a large scale proto single-celled lifeform which may not be different than such lifeform on standard scale - which existed billions of years ago.

But is DNA necessary at all for distinct life? A collective of organisms can act as a single organism - eg. lichen (fungi and algae in symbiosis) and biofilms (bacteria in symbiosis). The assembly of these organisms does not involve genetic code. Fungi physically connect with cells of plants, sometimes very intimately (eg. in arbuscular mycorrhizae). No DNA involved and yet the assembly functions as an organism on its own (it is more than simply the sum of its parts). In fact, self-organization even during individual development of these organisms does not involve genetic code. Standard scale DNA is not a prerequisite for life (which is obvious if atoms are living beings), it is only a prerequisite for what humans conventionally consider as living beings. In my theories, self-organization must be only relatively spontaneous. I believe it occurs [relatively simultaneously] with soul-body or hallucination-body coupling. Any self-organized collective or body with a soul (superposition of gravitons correlated with particular structure) coupled to it is a living organism on its own, even if this assembly may be temporary and with a low amount of consciousness (the amount of consciousness being probably proportional to the strength/frequency of coupling). No physical connections are then necessary between neurons either, only mental ones (which are in CR, however, physical on some scale, eg. as dark matter filaments of certain scale).
It appears that some form of DNA is required for reproduction, or, in other words, to boost the probability of certain self-organization (eg. by providing recipes for specific components). But atoms or subatomic particles obviously do not need this - they are basically immortal. And the same then must be true for large scale particles, such as Earth. However, if coding is not in DNA, that does not mean it does not exist. It’s simply on a different scale. I believe differentiation and development of planetary bodies, for example, is coded (the same is true for any self-organization).
Discrete vertical energy levels could be considered as attractors, driving evolution from one scale to the other. Whales here, are probably most progressively evolved in this evolution between a standard subatomic particle to a large scale subatomic particle (Earth). Evolution thus has an effective goal and is equivalent with standard organismal development. Of course, in the Solar System, the whale probably represents the maximum of local evolution - there is no sufficient energy to advance (and support) its evolution beyond that size. It is possible that this is the maximum only for self-organization of collectives of standard animal cells. Larger self-organization of larger entities, even if temporary, does exist. Entire human species, be it a disease or not, may be considered as a temporary (hallucinated) organism. I believe people are subconsciously guided toward specific goals in time by this hallucination.
15. Quantization of Moon orbits
If gravity of the Earth’s inner gravitational maximum is, as hypothesized, equal (or was initially equal) to surface gravity of the Sun, one would expect for orbitals of natural moons of Earth to be scaled orbitals of inner planets.
Allowed orbitals are thus:
where r
is the Earth’s gravitational maximum radius (= inner core radius), R
is the radius of the Sun and r
is the orbital radius of a corresponding planet.
Using R = 695735 km, r = 1206.115 km, one obtains orbitals shown in Table 36.
Evidently, the Moon is currently at the scaled Mars’ orbit. Even the distance between perihelion and aphelion is scaled by equal orders of magnitude - for Mars it is 42.61 * 10 km, while for the Moon, the distance is 42.2 * 10 km.
Small deviations from calculated values should be attributed to oscillation and phase shift in synchronization.
16. Quantization of the Sun
During inflation of the Sun, multiple gravitational maxima were inflating within. Collapse of these maxima as the Sun was deflating was fossilized in the Sun, in the form of discontinuities. As these maxima are now gravitational maxima of inner planets, entanglement exists between radii of discontinuities and planetary orbits.
Some discontinuities are strong (permanent) while some may be weak, evolve over time and may periodically disappear. Apparent discontinuities are those between the core, radiative and convective zone, surface discontinuity and the boundaries of tachocline.
Regardless of current configuration (1e
or 2e
), each inner planet may be entangled with 2 discontinuities in the Sun. If one assumes that all maxima
initially had the mass equal to the current mass of the Sun and energy density remained constant during inflation, with the collapse (energy level change) occurring once escape velocity was equal to the speed of light (in CR, discontinuities between energy levels are speed limits), orbital radii of planets become fossils of Schwarzschild radii:
R = initial radius
M = 1.988500 * 10 kg
c = standard speed of light = 2.99792458 * 10 m/s
G = 6.674 * 10 m/kgs
With equal escape velocity (pressure per surface quantum) between maxima (note that a smaller maximum is inside the other), radius of fusion or superposition of two maxima becomes the arithmetic mean of two radii:
In that case, discontinuities entangled with planetary orbits are at 1/5 R, 2/5 R, 1/2 R, 2/3 R and 1 R.
Correlation of orbital and Schwarzschild radii is shown in Table 37, where R is the radius of the Sun (695700 km).
Significant orbital eccentricity of Mercury and Mars also seems correlated with Sun’s discontinuities.
If Sun’s core radius oscillates between 0.1 + 0.186 R = 0.286 R (previously hypothesized initial radius) and 1/5 R (current radius), with constant energy density between the two radii, time independent core radius [as superposition of two oscillatory states] is at 1/4 R.
This is correlated with Mercury’s orbit, as its distance from the Sun is at 1/4 MAU, while its perihelion is at 1/5 MAU.
According to equation S1.1 describing rotational velocities of plasma, and the actual velocity curve, significant points are at 0.1 R, ≈1/2 R, 1 + 0.18686 R = 1.18686 R and 32.8 R (0.1 MAU, half of Mercury’s perihelion).
The aphelion of Mars is at 1 + 0.18686/2 MAU = 1.09343 MAU = 249.2 * 10 m.

16.1. Layers of the Sun
Internal gravity of the Sun depends on the location of maxima and acquired real mass.
Distribution of mass, however, should not be complex unless there are collapsed large scale maxima inside. In any case, matter accumulated between two maxima should, in equilibrium, imitate a maximum and can thus be approximated as one (induced maximum).
One way to obtain gravity of a primordial Sun is to derive it from rotation of real mass - assuming greater rotation with greater gravitational mass, down to the inner core radius r
, quantization is
1-dimensional:
Giving the scaled h constant:
Another way is to assume a completely naked Sun, in which case gravity from the surface down to the core is:
Gravitational profile of the primordial Sun (not taking into account the gravity of inner core maximum) is given in Table 38. Here matter velocity (v) is extrapolated from measurements, while space (Keplerian) velocity (v
) is calculated from gravity:
Table 37.
Gravitational profile of the primordial Sun
Table 37.
Gravitational profile of the primordial Sun
| n |
r/R |
note |
space velocity v (km/s) |
space velocity v (km/s) |
matter velocity v (m/s) |
orbital radius r (km) |
calculated gravity g (m/s) |
calculated gravity g (m/s) |
gravity g (vr product) m/s
|
| 1 |
1 |
Convective disc. |
436.602565 |
436.602565 |
1969.239615 |
695700 |
274 |
274 |
200 (1*10) |
| 1 |
3/4 |
4p6n disc. |
283.581685 |
286.551447 |
1508.068146 |
521775 |
154.125 |
157.37 |
150 (0.75 *10) |
| 1 |
2/3 |
Radiative disc. |
234.100417 |
230.556106 |
1248 |
459162 |
119.3544 |
114.61 |
132 (0.66 * 10) |
| 1 |
1/2 |
4p6n disc. |
154.362317 |
151.266563 |
945.454545 |
347850 |
68.5 |
65.78 |
100 (0.5 * 10) |
| 1 |
2/5 |
weak |
110.452683 |
108.233652 |
756.363636 |
278280 |
43.84 |
42.1 |
80 (0.4 * 10) |
| 1 |
1/4 |
Outer core disc. |
54.575321 |
91.901023 |
1396 |
173925 |
17.125 |
48.56 |
50 (0.25 * 10) |
| 1 |
1/5 |
Inner core disc. = r
|
39.050921 |
74.602949 |
1437.401179 |
139140 |
10.96 |
40 |
40 (0.2 * 10) |
Note that multiplying any discontinuity radius with inner core velocity v gives values proportional to r/R ratio and gives integer gravity (g) for inner core and all layers above.
Difference between current surface gravity and g
is roughly equal to the sum of surface gravities of inner and outer planets:
thus, some entanglement might exist there too.
Below the gravitational minimum at inner core (r
), quantization is
3-dimensional and gravity should be increasing until the next maximum:
16.1.1. Current G model
Unlike in space above the outer maximum, where gravity falls to zero effectively at infinity (due to next maximum being extremely far), below the maximum gravity falls to zero at finite distance due to compression of space.
With no inner maxima, the single point of zero gravity would be at the centre, however, due to relativity, inner maxima must exist (each inner maximum must also be a relative outer maximum).
If the radius of the outer maximum of the Sun is the surface radius, gravity should thus be decreasing below the surface to the point where it is cancelled by the [next] inner maximum.
Without the inner maximum, any free-falling real mass would be concentrated around the surface maximum. With inner maxima, concentration of real mass begins at the centre.
However, as each inner maximum has lower capacity than its outer maximum, greatest density of real mass will not be at the centre. Once inner maximum is at full capacity, as real mass accumulates between the inner maximum and the outer maximum, its counteracting the gravity of the outer maximum.
In equilibrium thus, greatest density of real mass is not at the outer maximum, rather between the inner and outer maximum.
This is shown in
Figure 33. Here, dark matter gravity provided by [img] gravitational maxima is represented by solid black lines, while real gravity provided by real mass and its induced (effective) maximum is represented by dashed black lines. In case of outer maximum, grey line represents gravity with no real mass acquired (naked maximum), while for inner maximum, it represents the initial core maximum. Red dashed lines show linearly approximated density of real mass.
From
Figure 33 one can extrapolate discontinuity candidates (r/R
): 0.0385 ≈ 2/5 * 1/10, 2/3 * 1/10 (initial core maximum), 1/5, 1/4, 0.286, 1/2, 2/3, 3/4, 1.
In addition to these, there are other candidates, representing maximum deviation from these values - eg. discarding CMB relative relativistic energy, rest surface maximum is at 0.94 R.
16.2. Energy replenishment
Primary energy source of the Sun is, most likely, fusion.
Fuel for fusion must either be the real mass of the Sun (accumulated matter) or matter created through conversion of imaginary mass (dark gravitational potential) to real mass by some unknown mechanism (possibly annihilation).
In case of such conversion it would take tens of billions of years to spend all fuel.
However, this solution implies the Sun is eating itself and is highly unlikely.
The Sun is thus, most likely, burning its real mass which was accumulated most likely during inflation of its maxima (whether through inflation of smaller maxima or acquisition of matter by increasing vacuum pressure on U scale).
To determine how much fuel the Sun has left it is necessary to determine how much fuel it had at the beginning and the rate of fuel consumption.
Assuming fusion reaction 4H -> He (energy per reaction E
= 4.32 * 10
J) and power output P of 3.8 * 10
J/s, time needed to spend all fusion fuel is:
m = available mass
m = proton mass
E = energy per reaction
P = power output
N = fraction of mass used in fusion
Since the Sun has two [major] maxima, fusion may be occurring at two places - in the core and above the core.
Gravitational mass of the surface maximum is assumed to be 1.988500 * 10 kg (or half that value at full capacity in case of interpretation with no mass shielding), while the gravitational mass of the core has been calculated previously to be 2.951797 * 10 kg.
Assuming that the calculated core mass is the mass of the maximum and therefore equal to the internal capacity for real mass, this capacity in equilibrium should be full and, due to mass loss (eg. through radiation), excess real mass must be constantly (cyclically) consumed as fuel.
It has also been hypothesized that the ratio of core mass and surface mass should be correlated with the ratio of mass between inner and outer planets.
Assuming that at the beginning of the core feeding cycle, these ratios are equal, fuel mass is the excess mass in the outer core corresponding to the ratio.
In case of thermonuclear fusion and with 2/3 of mass consumed, time needed for the core to spend all fuel is:
where m = 8.90211033 * 10
kg is the previously calculated initial mass of the core.
Assuming that, at the start of consumption cycle, imaginary mass (gravitational maximum) grows to initial mass radius (0.286 R
) and decreases with energy loss, time left (assuming constant rate of consumption) before the next feeding cycle is then:
Negative time may be interpreted as the next cycle being overdue (core spent all fuel 838k years ago and is currently burning constitutional mass), or, that more than 2/3 of mass must be consumed in fusion.
In case 70% of mass may be spent:
However, as stated already, thermonuclear fusion in the core is unlikely. In case there is no fusion in the core at all, ruling out standard chemical reactions and radioactivity, the remaining possibility is heat generation through gravitational (Kelvin–Helmholtz) contraction:
M = initial core mass = 8.90211033 * 10 kg
R = initial core radius = 0.286R = 198970200 m
assuming logarithmic relationship between mass and radius contraction, the contraction may be approximated from the rate of Jupiter contraction:
M = Jupiter mass = 1.89819 * 10 kg
R = Jupiter radius = 71492000 m
dR/dt = rate of Jupiter contraction = -3.17 * 10 m/s
giving energy radiation of:
and time to spend all fuel:
M = current core mass = 2.951797 * 10 kg
Unlike the core, the outer part of the Sun is most likely powered by fusion.
However, it too must have constitutional mass and fuel mass fraction of real mass (excess mass).
Most likely, fuel mass is equal to the previously calculated relativistic energy (CMB relative) of the Sun. In that case, time to spend the fuel is:
Another interesting solution is obtained if the fuel amount is equal to real mass of the Sun calculated with the assumption of, across Solar System, invariant, real
constant:
For N = 2/3 (here, the other 1/3 would be the solar wind), time needed to spend this fuel is:
The cells of all living species are regenerating on a periodic basis, for example, 1/3 of hippocampal neurons in humans and mice is exchanged during the lifetime[
170], thus, the cellular regeneration in the Sun should not be surprising, whether it is food or constitutional mass.
Capacity for real mass below the Sun’s surface may be full, but all mass orbiting the Sun may be considered as its real mass.
However, it is obviously not fuel mass, rather constitutional or symbiotic mass.
The 3rd order period of the Solar System cycle may be related to this mass through the mass barycentre of the system.
I have previously calculated the neutral gravitational mass equivalent for the surface plasma at the equator which would make its angular velocity Keplerian.
The source for this energy may be the motion of the barycentre.
In any case, if one assumes that conversion between neutral and electro-magnetic component of the general force of the Sun is also periodic and that such energy replaces fusion reactions in equivalent way, the period of
recharge is:
and it is in good agreement with the hypothesized 3rd cycle period (a fraction of mass N = 0.6946847 would yield the hypothesized value - 1512000 years).
16.3. As a living organ[ism]
Considering the energy output (metabolic rate) of P = 3.8 * 10
W, the standard relation between metabolic rate and mass[
171]:
gives 0.86 for the
exponent (M = total mass of the sun = 1988500 * 10
kg). For a mammalian organ this would be between a kidney and a liver[
172], suggesting an embryonic stem cell in the process of differentiation.
17. The cycle of life and death
An atom or a planetary system consists of relatively massive matter and relatively empty space of gravitational wells.
The energy of this space is in its vacuum, generally proportional to its spin momentum but also characterized by electric and magnetic permeability of polarized quanta of certain scale.
Gravitational wells (souls) are not intrinsically coupled with matter - otherwise, there would be no death.
All souls thus oscillate between different bodies. This oscillation can be vertical (between different scales) or horizontal (between species of the same element, such as carbon), although even horizontal oscillation includes a temporary scale inflation/deflation between stable states.
Species in horizontal oscillation have comparable lifetimes so gravitational collapse generally indicates a permanent decoupling of particular soul/matter pair (death).
Primary (prevalent) oscillation type depends on pressure/temperature of the environment.
18. Inflation and dark energy
According to CR, observable universe cannot be absolute - if it had a beginning it was a relative beginning and if it was inflated it was inflated from a relative, not absolute, singularity.
The inflation thus did not proceed from a single point, rather inflation of galaxies should be regarded as inflation of spatially separated relative universes even if that separation was relatively small or such that could be considered as quantum-like condensation. Similar is true for planetary systems.
This suggests that development of galaxies was relatively fast and implies there are no large differences between distant and near galaxies when relatively equal energies are involved in their creation (with the assumption of a stable state, dominantly weak and cyclic evolution of components after initial inflation).
If planetary systems are equivalents of standard atoms in a particular state (pressure/temperature), observable universe becomes a gas of extremely low density. Dark energy, if it exists, is thus simply the energy of gas expansion due to scaled pressure/temperature change. Galaxies are then simply large scale quantum vortices.
Black holes and other gravitational wells of U scale can be understood as vacuum quanta, increasing in strength with inflation and causing contraction of constituent matter, with stretched space (at times of inflation of space, not expansion) between them creating (inflating) new gravitational wells (primal stars) between galaxies. This exponential growth of energy is what eventually ends inflation.
The expansion of the observable universe has been questioned before and there are results consistent with a non-expanding, Euclidean universe[
176] regarding some phenomena previously considered to favour expanding universe, although none solve all the problems - eg. increasing redshift with distance or time dilation of distant events.
Some recent analyses suggest that the expansion of the observable universe is not accelerating[
177] and the redshift previously used as evidence for acceleration should be attributed to local "bulk flow" instead.
If photons have rest mass on some scale, as CR implies, energy will be lost with distance (if not replenished periodically). If the mechanism for energy loss from distant galaxies is not scattering of light through interactions with standard (U scale) matter, the interactions must be involving smaller scales of photon energy components. These are causing changes in values of momentum relatively independent of wavelength, and without affecting direction significantly. Photons, having mass, must have a range - which then explains decreasing brightness with distance.
However, even these interactions cannot explain time dilation, which apparently has been observed in Type Ia supernovae[
178].
Signatures of time dilation have also been found in gamma-ray bursts but with lower confidence[
179].
In any case, the current accelerating expansion or at least its magnitude should be questionable. Observations also suggest that small scale effects on photon energy are oscillating with distance - consistent with hypothesized oscillation of photon mass, which, periodically results in acceleration rather than deceleration of photons. The oscillation must be correlated with properties of space. If there is no significant loss of energy, energy of the photon may be kept relatively constant through these interactions.
19. Stability of elements
Structure of U elements seems to be entangled with the configuration of the U universe. This also makes the stability of isotopes dependent on this configuration.
The stability curve and decay rates of individual isotopes thus change strongly in transition from one cycle state to another, but also oscillate during state lifetime.
Stable isotopes are concentrated along this curve:
where N = N
is the number of neutrons, P = P
= Z is the number of protons of the isotope and P
is the maximum number of protons for a stable element (for the Solar and equivalent systems, P
= 82, corresponding to Pb - lead).
is the small shift in value of N due to weak evolution through state lifetime (
).
where N
is the number of neutrons and P
the number of protons of the parent system - U
.
P is the atomic number (number of protons) of the most stable element - element with maximum number of stable isotopes.
P is the atomic number of the element lying on the N(P,t) curve with P/N ratio equal to P/N.
For the Solar System, in state 6p4n:
Figure 35 shows all stable isotopes of the Solar System (green) and the N(P,t) curve (black).
Note the following:
for t > 1495840 years (t ≈), the isotope lying on the curve with P/N ratio exactly equal to 2/3 is Pt-195 (Platinum, P = 78). The placement of other Platinum isotopes is symmetric relative to the curve,
for = 0 (t = 3/5 ), the P isotope is Pb-205 (Lead, P = 82). At t = 3/5 this was a stable isotope. 1/3 of other stable isotopes are above the curve, 2/3 below,
for t = 4/5 the P isotope is Hg-200 (Mercury, P = 80). 1/3 of other stable isotopes are above the curve, 2/3 below,
the ratio of horizontal to vertical distance between Lead-205 and Platinum-195 is (82 - 78) / (123 - 117) = 4/6 = 2/3,
the ratio of horizontal to vertical distance between Lead-205 and Hg-200 is (80 - 78) / (120 - 117) = 2/3,
at t ≈, Tin (Sn, P = 50) has the highest number of stable isotopes (10). Tin isotope lying on the curve is Sn-116 (50 protons, 66 neutrons). 2/3 of other stable Tin isotopes is above the curve, 1/3 is below,
at t ≈, the only elements without stable isotopes are Tc (Technetium, P = 43) and Pm (Promethium, P = 61). The isotopes lying on the curve are Tc-98 and Pm-146. Vertical distance from Sn-116 to Tc-98 is equal to horizontal distance from Sn-116 to Pm-146.
20. Electric gravity
According to CR, electric force is a polarized component of the general force.
Inside the atom, force field between negative and positive charges is neutralized and electro-magnetic potential may be exchanged with gravitational potential.
Thus, a Hill sphere radius (r
) of an atom should be correlated with its charge radius.
This gives, for Carbon-12 atom with nucleus mass m = 1.992646883 * 10
kg inside the gravity field of Earth at R = 6371 km (surface):
This is in agreement with experimentally obtained radius of 70 pm (±5 pm). Calculation for other elements of the periodic table yields similar results.
Note that Hill radius is different for different isotopes of the same element while experimentally obtained atomic radii are charge radii and thus independent of the number of neutrons (radius represents the orbit of the outermost electron). In example, for Carbon-14 the obtained value is 69.5 * 10 m, and even closer to 70 pm if one calculates using equatorial radius of Earth instead of mean volumetric (a possible indicator that the Solar System soul was a part of a (C-N-O) cycle in previous incarnation).
Figure 36 shows experimentally obtained radius (green) and calculated Hill sphere at R = 6371 km (black) for all stable isotopes. Evidently, radii are not only correlated but values of covalent radii oscillate around the Hill radii, confirming the entanglement of U
and U
.
Comparing data from 1964.[
180] and 2008.[
181] shows a compression of radii and convergence to Hill radii - such changes are expected in CR (no constants) and these should be accelerating as the Solar System approaches the end of the current state (6p4n).
In the intermediate state (5p5n) charges may be completely neutralized, and the radii of all elements may converge to Hill radius.
Figure 37 shows the experimentally obtained radius (green squares) and calculated Hill sphere at R = 6371 km (black squares) for isotopes with neutron number adjusted to match the charge radius.
In calculations above, atomic mass has been quantized by u = 1.66053907 * 10
kg (atomic mass constant) with integer number of protons P and neutrons N [m = (P + N) * u] so Hill radii are quantized too. The overlap of Hill radii with charge radii in
Figure 37 shows that charge radius is quantized too (there is a number of neutrons N for which the Hill radius will match the charge radius).
Figure 38 shows the number of neutrons N used with each element to obtain Hill radius equal to charge radius.
From above figures it is obvious that elements (atoms) can be grouped into shells the same way as electrons are grouped within atoms.
Table 40.
Grouping of elements
Table 40.
Grouping of elements
| n |
shell (alt shell) |
entanglement |
elements |
total elements = 2n
|
| 1 |
K |
- |
1-2 (H - He) |
2 |
| 2 |
L |
Q |
3-10 (Li - Ne) |
8 |
| 2 |
L (Q) |
L |
11-18 (Na - Ar) |
8 |
| 3 |
M |
P |
19-36 (K - Kr) |
18 |
| 3 |
M (P) |
M |
37-54 (Rb - Xe) |
18 |
| 4 |
N |
O |
55-86 (Cs - Rn) |
32 |
| 4 |
N (O) |
N |
87-118 (Fr - Og) |
32 |
Grouping is shown in Table 41. There are two possibilities - either the shells L, M and N are doubled or the grouping is reflected after the N shell, so shells O, P and Q contain the same number of elements such as shells N, M and L, respectively. Note that in case of alternative (Og) grouping, no elements beyond Og are theoretically possible - otherwise another shell would be present between He and Li.
Gravitational constant G is not dimensionless and therefore not invariant to vertical scale transformation.
On the standard atom scale U
, gravitational constant for a completely neutralized general force can be derived from previously obtained orbital momentum of the Carbon-10 outermost electron:
v = v
= 5.585837356 * 10
m/s
r = r = 70 * 10 m
where m, v, r are components of the outermost electron orbital momentum (mass, velocity, radius).
If one now, equalizes electric with gravitational force (for photon/graviton mass > 0 [Yukawa, Proca[
182]):
discarding
/ r factors due to being practically equal and equal to 0 on both sides (expecting large r):
ℏ = reduced Planck’s constant = 1.054573 * 10 Js
c = 2.99792458 * 10 m/s
k = Coulomb constant = 8.9875517873681764 * 10 Nm/C
Q = electron charge = 1.60217733 * 10 C
M = photon mass
M = U graviton mass
Using previously obtained photon mass M
= 2 * 9.10938356 * 10
kg and carbon graviton mass M
= 2 * 1.663337576 * 10
kg in CR, this gives:
as the distance in space when two forces become equal.
The fact that the obtained distance is equal to the radius of observable universe is not a coincidence.
Distance in space here is distance in time so this can be interpreted as the time when both forces were unified (the repulsive character of electro-magnetic force was cancelled with the attraction of gravitational mass), after which point gravitational force diverged from electro-magnetic force and started evolving separately (G decreased over time) on standard scale. This implies that the gravitational constant G is proportional to space curvature (or density/pressure of space) and thus is a property of gravitons - it’s proportional to their mass.
Divergence is common in evolution but it is also common that it affects only one form of energy - the other remaining relatively constant.
Assuming Coulomb’s constant remained relatively constant, G must have changed scale, either through inflation of neutral gravitons (decreasing space curvature on U scale, increasing space curvature on U scale) or deflation of neutral gravitons (decreasing space curvature on U, increasing space curvature on U). In some prior divergence event, the Coulomb’s constant likely have changed scale. On any scale then, these changes can be interpreted as exchange of one potential for the other. This implies diverse inversion between adjacent scales (vertical energy levels) - eg. while on one scale space is contracting, on the other it’s probably expanding, on one scale gravity dominates, on other electro-magnetism, etc.
Gravitons of scale U are thus strongly entangled with gravitons of U scale - in other words, U gravitons form the space of U gravitons. Similarly, U gravitons form the space of U gravitons (here though, electro-magnetic force dominates). Standard scale particles (U gravitons) can be entangled with U and U gravitons, but this entanglement is weak so the two generally exist independently of each other - naked dark matter is the evidence for this. This weak entanglement may also be interpreted as lazy synchronization. Between strongly entangled scales synchronization is effectively real-time, between weak (or anti-correlated) scales synchronization (in space/time) may never happen. If the observable universe is expanding exponentially, without decreasing energy density, this would suggest that additional energy is dominantly the energy on non-gravitational scales (U, U). In other words, the observable universe is dominantly feeding on real mass (or expanding space dominated by electro-magnetism). But is the universe expanding at conventionally assumed rates? Photons are U particles and, according to CR, must have mass. Even though they are weakly entangled with U particles (intergalactic space is mostly devoid of standard atoms, while it is full of photons) they will still lose energy to U particles as these are present in between the atoms, forming their space. Density of U particles is decreasing with distance from atoms, however, they will still absorb photon energy, the only question is how much - to what degree are they responsible for the photon redshift? In extreme cases, expansion of a universe can be a complete illusion.


Taking into account the scaled extremely low density and temperature of the observable universe (it’s a large scale gas), evidently it is a [part of a] discontinuity, possibly a gravitational maximum between layers of, relatively, dense large scale matter.
If its angular velocity is equal to c, it is also a black hole maximum (escape velocity = c) for standard particles.
Thus, light coming from large distances might be the light reflected off of the firewall, providing a window to the past of inner content. This would explain the correlation of apparently spatially separated phenomena (galaxies) - these may not be images of different phenomena separated in space, but one separated in time.
Indeed, given its density, the radius of the observable universe is the Schwarzschild radius, suggesting it is a black hole[
183]. Note however, that this would be a black hole for particles of U
scale and larger but not for particles of U
scale and lower (though it can be the effective black hole for these particles when/where they are strongly entangled with U
particles).
Note that, fixing the gravitational constant G
to
one obtains this:
where
is the vacuum permeability (magnetic) constant and K = 1 C/m.
One can now obtain k and Q for the U
scale (Solar System):
Using G
= 6.674 * 10
m
/kgs
and previously obtained c
= 2.930445979 * 10
m/s:
Using m = 1.02413 * 10 kg and previously obtained M = 1.663337576 * 10 kg, M = 9.10938356 * 10 kg, the distance where two forces become equal, r = 1.0059686 * 10 m ≈ 1 * 10 m.
Note that, if one fixes m
to
one obtains this:
where M
= 1.6726218977 * 10
kg is the mass of the standard proton. This suggests that the proton mass (as well as magnetic permeability) depends on the ratio between gravitational and electro-magnetic force [extremes]. Interestingly, the minimum mass of the oldest surviving primordial black hole is about 10
kg[
184], and it would have the size of a proton[
183] (or neutron). Difference between this mass and the mass of a standard proton is equal to the difference in strength between electro-magnetic and gravitational force between a standard proton and electron. This would suggest that neutrons (or proton/electron pairs) are evaporated black holes but with gravitational force (mass) exchanged for electro-magnetic one in the process (without the exchange the mass of a proton would be on the order of 10
kg).

Note that the difference in masses between standard electrons (or up/down quarks) and standard photons is on the order of difference in strength between electro-magnetic and gravitational force between electrons and quarks. This then suggests that electrons and quarks are vertically excited photons (or half-photons).
The question then is - are protons still evaporating? If so, they should still be losing mass (or decreasing local G, depending on interpretation) and increasing electro-magnetic strength (making them harder to fuse, among other things) if the exchange is ongoing as well. Indeed, experiments done over time confirm decreasing mass in protons[
185] (although oscillation cannot be excluded as well).
Exchange, however, should not have significant impact on neutral atoms (interactions between positive and negative charge) but it should impact interactions between equal charges. Intergalactic space dominated by plasma would be affected as ions would be, over time, pushing each other apart with increasing strength as gravitational attraction is replaced with electro-magnetic repulsion. If, in the process, new energy is being inflated as well (eg. in the form of U particles, forming polarized space of standard ions) this could then explain the universe’s expansion (dark energy). Since the rate of this exchange cannot be absolutely constant, it also explains the change of Hubble constant with distance.
If this exchange is happening on standard scale it is probably happening on other scales as well, eg. electro-magnetic force could still be exchanging for gravity on U scale which would then imply energy inflation on U scale (graviton neutrinos forming space of U particles). This would be effectively constrained to galaxies and may explain excess dark matter in them.
If this is happening in stars, however, the effect may be balanced with increased loss of mass due to higher thermal energy of plasma (with increasing electro-magnetic repulsion).
Thus, solar winds may be increasing in strength with time while the real mass in stars is effectively being exchanged for img mass (dark matter). The more dark matter there is in stars the less there is fusion fuel. Dark matter should also be present in planets. When not taken into account, this could lead to severe misinterpretation of seismic profiles, especially where multiple gravitational maxima exist (where dark matter should be most concentrated).
21. Relation of G variation to Sun’s discontinuities
Equalizing the strength of electric and gravitational force between two free particles (positron and electron), disregarding small mass of carrier particles:
yields the following value for the gravitational
constant G:
k
= 8.9875517873681764 * 10
Nm
/C
Q = 1.60217733 * 10 C
M = 9.10938356 * 10 kg
In CR, gravitational constant G changes with scale. But it is also modified with neutralization of EM force, when k decreases, while G increases.
This enables the gravitational force to be, at least in some cases, a prevailing force in the atom, rather than EM force.
I have previously calculated G relative to a
C atom nucleus mass obtained through current Sun mass, the constant G using rest mass of
C nucleus is:
v = 5.5550351679 * 10
m/s
r = 70 * 10 m
M = 1.663337576 * 10 kg
where m, v and r are components of the orbital angular momentum of the outermost electron.
Calculated G (G) is now only 5 orders of magnitude smaller than G required for gravity to be equal in strength to EM force between an electron and a positron.
But instead of G increasing, one might assume that k
decreases by 5 orders of magnitude, or more precisely by this amount:
Thus, the increase of G (G) of Earth’s inner core maximum, after extraction, neutralization and collapse to current radii, is equal to k.
I have previously calculated that this G has increased to 5.731534632 * 10
m
/kgs
, which is, relative to
surface G (6.674 * 10
m
/kgs
), an increase of:
which is also the ratio between imaginary mass M (5.97 * 10
kg) and real mass m (6.95 * 10
kg) of Earth from some reference frames.
But what was the initial G of Earth’s inner core?
According to above hypothesis, it should have been:
If Earth’s core has been extracted from the Sun, as hypothesized, one can get its original radius using this constant:
M = img mass of the Sun = 1.988500 * 10 kg
g = gravity of the maximum = 274 m/s
This agrees very well with the hypothesis of entanglement of discontinuities with inner planetary orbitals:
R = Sun radius = 695700 km
r = Earth orbital = 149.6 * 10 km
r = Mars orbital = 227.92 * 10 km
The discontinuity (r/R = 0.63) is evident through the profile of rotational velocities of the Sun:
Above this discontinuity is the tachocline (transition region between the radiative and convective layer of the Sun), a major source of the Sun’s magnetic dipole, analogous to the region of charge above Earth’s inner core.
The hypothesis of neurogenesis, assuming pending neurogenesis on Earth and completed neurogenesis on Mars and other terrestrial planets, explains why Earth is the only one with an active surface magnetic dipole. The connection of tachocline with 0.63R discontinuity would suggest:
its position is not permanent and it moves between discontinuities, corresponding to the planet with ongoing neurogenesis,
possible multiple active discontinuities and associated tachoclines in the past, initially at maximum, or
current position is the place of birth of all planetary embryos (cores).
The 2nd hypothesis here is most plausible - the tachocline is active as long as the magnetic dipole of the corresponding planet is active (the two phenomena are synchronized).
However, if the tachocline is localized to 0.71R[
187] and distance between the tachocline and the discontinuity is scaled from Earth (distance between the charge radius and gravitational maximum), the associated discontinuity is at:
which would be a discontinuity associated with Venus.
In that case the tachocline is the location of a charge radius associated with a 0.5R gravitational maximum and, assuming equal g-factor, such charge radius should also be located at:
In this case though, the g-factor of a neutron might be more appropriate, yielding r = 1.111507303 * 10 km (and a mirror at 444533.257 km = 0.639R).
Note that the 0.71R tachocline is 3/4 of 0.94R, which according to
Figure 39 seems to be another discontinuity or a fossilized
initial Sun radius.
Such fossil is also visible at 0.75R, which should be a discontinuity in 4p6n state.
The 0.63R (2/3 of 0.94R) is also a fossil, as the current location associated with Earth is 0.66R.
Sun’s GM product has increased 0.06% due to relativistic energy relative to CMB, so initial radius at 0.94R implies that surface radius changes proportionally:
for previously obtained c
= 2.93 * 10
m/s and v = v
+ v
= 996 km/s, gives R
= 654271.142 km = 0.94 R.
22. Gyro-magnetic ratio and its correlation with Earth/Moon
The gyro-magnetic ratio of a particle is the ratio of its magnetic moment to its angular momentum:
With the assumption that mass and charge have equal momentum:
where q, m are charge and mass of the particle, respectively.
Measurements show that this is not valid for quantum particles such as electron. Thus, a dimensionless factor g
(g-factor) was introduced:
The factor has been attributed to quantum effects which do not exist in classical (intuitive) reality - point particles with intrinsic magnetic moment (no rotation).
The notion of point particles having any properties is in itself problematic, let alone existence of different point particles with different properties. However, if such particles could exist, due to scale invariance, they would have to exist on bigger scales too. No such thing has ever been observed in reality - all magnetic fields are produced by moving charges of objects having a real radius.
Thus, intrinsic magnetic momentum is not intuitive, but intrinsic rotation of charge (producing the momentum) at finite radius greater than 0 is.
In CR there is also no intrinsic coupling of matter and gravity, and since charge field is a polarized gravitational field, the g-factor can be explained simply by a difference in distribution (or angular momenta) of gravitational mass and charge mass within the particle, preserving the intuitive concepts of reality.
Complete relativity not only allows speeds faster than light (photon mass is scale dependent) but implies such speeds must exist at some scale, thus the required superluminal rotation of charge (implied at certain radii) in particles such as an electron is not an issue either.
The absolute (invariant) speed limit is not a dimensionless constant and thus is counter-intuitive in scale invariant reality (relativity), but, in this case, the required speed would be valid even in the context of General Relativity (charge is at rest relative to rotating space) if it would incorporate scale invariant curvature of space.
Magnetic moment µ and angular momentum L:
where v
, r
are the charge orbital velocity and radius, respectively, and v
, r
are the mass orbital velocity and radius, respectively.
The factor g
is thus:
Being dimensionless, it should be scale invariant relative to particle flavor.
This means that the value of g for electron and positron is equal to g of Earth, as Earth is a large scale Dirac fermion equivalent (obviously not a point particle unless taken relatively), albeit in an environment where its fermionic nature is effectively annihilated.
Just like the electron, Earth consists of intrinsic charge and mass and accumulated mass due to neutralization.
The intrinsic energy is concentrated within the inner and outer core.
Assuming charge radius is in the outer core where gravity equals g
= 137 m/s
and gravitational mass radius is the
inner core gravitational maximum g
(274 m/s
), with equal rotation period (and angle between v and r vectors):
Note that it was assumed that mass is not a solid body with radius r but, like the charge, a particle or a stream of particles forming a ring at r.
This is a valid assumption since this mass is not real mass, but vacuum energy (imaginary mass) which, in case of charged naked maxima, forms a ring rather than sphere surface.
Since gravitational potential is not isotropic, gravitational acceleration at any point is a vector sum of accelerations induced by vacuum quanta forming the ring:
In case of equatorial and polar gravity vector components parallel to surface cancel out. Equatorial gravity is thus:
where R
is the equatorial radius.
Polar gravity:
where R
is the polar radius.
Deriving GM product with equatorial gravity fixed to 9.798 m/s and calculating polar gravity, for n >= 5, gives 9.34 m/s.
This is smaller than measured, so the Earth must be a composite of 2 positrons (or positron equivalents), as hypothesized.
With 2 particles in the same state, energy splits into two levels:
Figure 41.
Mass and charge radii of two charged bodies sharing a single state
Figure 41.
Mass and charge radii of two charged bodies sharing a single state
In such state, two charges are deflected from the equator by this angle:
Charges are thus separated by 2*35.2643896827547 = 70.5287793655094 (two magnetic north poles on Jupiter seem to be separated by this angle, confirming its 2e configuration).
Confirmation of this configuration of Earth comes from the state of the Moon (Luna) and non-alignment of Earth’s north and south magnetic poles.
Initial total obliquity of Luna relative to Earth’s equator is 23.44 + 5.14 + 6.68 = 35.26, equal to .
The Moon orbits one of Earth’s positrons and its obliquity shows that it is built around one of the collapsed gravitational maxima of this positron.
One can thus expect this positron to have smaller contribution to gravity and charge of Earth. Further splitting of energy levels due to carbon configuration can also be expected, so number of quanta should be 6 in one positron and 5 in the other (1 is in the Moon).
It appears that, in the collapse, 6.68 of Luna’s obliquity to Earth’s equator has been exchanged for obliquity to Luna’s own orbital plane, this can be due to influence from another body, but, since the loss of one quantum causes asymmetry in charge distribution it is more likely that this is the exact amount by which the inner positron decreased its angle to Earth’s equator.
Thus, one can expect the orbital plane of this positron to be aligned with the orbital plane of the Moon.
This can then be interpreted as redistribution of charges on the plane, rather than loss. The Moon is thus the reason why Earth still has a dipole magnetic field - with symmetric anti-aligned positron spins the magnetic dipole would be cancelled.
Bigger moons and/or an increased number of moons (with distinct gravitational wells) of outer planets with stronger magnetic fields are thus no surprise and indicate core asymmetry if the spins are anti-aligned (note that a symmetric core does not indicate a planet has no moons, rather that it has the same number of them on each orbital plane).
But rather than the extraction of the Moon core from Earth, in the current, progressive evolution a reverse scenario is more plausible.
Even if the first positron was not fragmented from the beginning, massive extinctions that happened on Earth suggest the second one arrived quantum by quantum on a periodic basis.
There were 5 massive extinctions and there are 5 quanta of the positron in the core, 1 in the Moon.
As the mammal brain has 6 layers, with 6th layer sparsely populated, the theory of neurogenesis is strongly aligned with this hypothesis. Note that the sparse neuron cell population of the 6th layer now indicates an underdeveloped layer - the direct cause for this is the distance of the Moon.
23. Conclusion
The aim of this paper was to provide good evidence for Complete Relativity, which, I am convinced, it has succeeded in. Indeed, the analysis reveals plenty of correlation and equivalence between small scale and large scale systems that cannot be easily dismissed as coincidence.
Strong correlation of Earth’s mantle layers with major extinction events is a strong evidence for planetary neurogenesis, or at least for a precursor of it (from which neurogenesis evolves). The existence of a discontinuity at 100 km depth even suggests that the formation of a mantle discontinuity precedes surface extinction. This shows that surface extinctions are coded events, which, however, is not surprising for a neurogenesis of an evolving life-form (one would expect for a brain layer to be at least roughly formed before neurons migrate to that layer).
Some questions remain, however, and there are predictions and hypotheses that require additional experiments and observation to be confirmed or refuted. All other existing models of phenomena are based on conventional, established theories for which we even know must be wrong. Interpretation of many things we do see, let alone the things we do not see, is guesswork. Therefore, one should be allowed to dream beyond the established. For, who knows, maybe some of us, dream reality. At least roughly. Perhaps the fundamentals, some of us are trying to understand, even require us to question for the answer to exist.
References
- Complete Relativity: Nature of observables (2022), Amenoum. Available online: https://amenoum.org/complete_relativity.
- NASA Planetary Fact Sheet. Available online: https://nssdc.gsfc.nasa.gov/planetary/factsheet/.
- Hadronic uncertainties versus new physics for the W boson mass and Muon g-2 anomalies (2023), P. Athron et al, Nat Commun 14, 659. [CrossRef]
- Images of planets (2013), OpenClipart-Vectors. Available online: https://pixabay.com/users/openclipart-vectors-30363/.
- Six transiting planets and a chain of Laplace resonances in TOI-178 (2020), A. Leleu et al. [CrossRef]
- Multidecadal variation of the Earth’s inner-core rotation (2023), Y. Yang and X. Song, Nature Geoscience 16, 182-187. [CrossRef]
- Large-scale chaos in the solar system (1994), J. Laskar, Astronomy and Astrophysics 287(1), L9-L12. Available online: https://adsabs.harvard.edu/full/1994A%26A...287L...9L.
- CODATA recommended values (2018), NIST. Available online: https://physics.nist.gov/cuu/Constants/bibliography.
- Complete Relativity: Nature of observables (2022), Amenoum. Available online: https://amenoum.org/complete_relativity.html#tag_determination_of_c_n.
- Putovanje kroz vrijeme (2021), Amenoum. Available online: https://amenoum.org/log/31_putovanje_kroz_vrijeme.
- A dynamical calibration of the mass–luminosity relation at very low stellar masses and young ages (2005), L. M. Close et al, Nature 433, 286-289. [CrossRef]
- Evidence of a Substellar Companion to AB Dor C (2019), J. B. Climent et al, The Astrophysical Journal Letters 886(1). [CrossRef]
- The EBLM project III. A Saturn-size low-mass star at the hydrogen-burning limit (2017), A. von Boetticher et al, Astronomy and Astrophysics 604, L6. [CrossRef]
- WISE J072003.20-084651.2B is a Massive T Dwarf (2019), T. J. Dupuy et al, The Astronomical Journal 158(5). [CrossRef]
- Theoretical mass loss rates of cool main-sequence stars (2006), V. Holzwarth and M. Jardine, Astronomy and astrophysics 463(1), 11-21. [CrossRef]
- Mass loss from active dwarf stars (1996), D. J. Mullan. Available online: https://adsabs.harvard.edu/full/1996ASPC..109..461M.
- Jupiter Mass Binary Objects in the Trapezium Cluster (2023), S. G. Pearson and M. J. McCaughrean. Available online: https://arxiv.org/pdf/2310.01231.pdf.
- New Post-DART Collision Period for the Didymos System: Evidence for Anomalous Orbital Decay (2023), T. Gudebski et al. [CrossRef]
- Surprise – Again! Asteroid Bennu Reveals its Surface is Like a Plastic Ball Pit (2022), NASA. Available online: https://www.nasa.gov/missions/surprise-again-asteroid-bennu-reveals-its-surface-is-like-a-plastic-ball-pit/.
- Journey through future: Evidence of general precursor events (2023), Amenoum. Available online: https://amenoum.org/log/16_evidence_of_precursor_events.html.
- Density of asteroids (2012), B. Carry, Planetary and Space Science 73(1), 98-118. [CrossRef]
- Tidal heating of terrestrial extrasolar planets and implications for their habitability (2008), B. Jackson et al, Monthly Notices of the Royal Astronomical Society 391(1), 237-245. [CrossRef]
- A resonant sextuplet of sub-Neptunes transiting the bright star HD 110067 (2023), R. Luque et al, Nature 623, 932-937. [CrossRef]
- Binary asteroid (31) Euphrosyne: ice-rich and nearly spherical (2020), B. Yang et al, Astronomy and Astrophysics 641, A80. [CrossRef]
- Neutrino mass in cosmology: status and prospects (2011), Y. Y. Y. Wong. [CrossRef]
- Probabilistic forecasting of the masses and radii of other worlds (2016), J. Chen and D. Kipping, The Astrophysical Journal 834(1). [CrossRef]
- The Extrasolar Planets Encyclopaedia: Catalogue of Exoplanets (2023), last access 2023.11.27. Available online: https://exoplanet.eu/catalog/.
- Rest mass of photon on the surface of matter (2020), M. Goray et al. [CrossRef]
- An Electroweak model with electrons of opposite helicities carrying the same quantum numbers (1981), W. B. Yeung.
- S62 on a 9.9 yr Orbit around SgrA* (2020), F. Peißker et al. [CrossRef]
- A geometric distance measurement to the Galactic Center black hole with 0.3% uncertainty (2019), R. Abuter et al. [CrossRef]
- S62 and S4711: Indications of a Population of Faint Fast-moving Stars inside the S2 Orbit—S4711 on a 7.6 yr Orbit around Sgr A* (2020), F. Peißker et al. [CrossRef]
- On the Formation of Compact Stellar Disks around Sagittarius A* (2008), M. Wardle et al. [CrossRef]
- The accelerations of stars orbiting the Milky Way’s central black hole (2000), A. M. Ghez et al, Nature 407, 349–351. [CrossRef]
- Stellar orbits near Sagittarius A* (2002), A. Eckart et al, Monthly Notices of the Royal Astronomical Society 331(4), 917-934. [CrossRef]
- Evidence of hydrogen-helium immiscibility at Jupiter-interior conditions (2021), S. Brygoo et al, Nature 593(7860), 517-521. [CrossRef]
- A diffuse core in Saturn revealed by ring seismology (2021), C. R. Mankovich and J. Fuller, Nature Astronomy 5, 1103–1109. [CrossRef]
- The Orbit of Planet Nine (2021), M. E. Brown and K. Batygin, The Astronomical Journal 162(5). [CrossRef]
- The Curiously Warped Mean Plane of the Kuiper Belt (2017), K. Volk and R. Malhotra, The Astronomical Journal 154(2). [CrossRef]
- Pluto and Beyond (2014), M. D. Lemonick, Scientific American 311(5), 46-53. [CrossRef]
- A bright triple transient that vanished within 50 minutes (2023), E. Solano et al. Available online: https://arxiv.org/pdf/2310.09035.pdf.
- Asymptotic g modes: Evidence for a rapid rotation of the solar core (2017), Fossat et al. [CrossRef]
- Solution to gravitational anomalies: Reincarnation and karma of consciousness (2023), M. Ljubičić (Amenoum). Available online: https://amenoum.org/log/7_solution_to_gravitational_anomalies.html.
- Micrometeoroid infall onto Saturn’s rings constrains their age to no more than a few hundred million years (2023), S. Kempf et al, Science Advances, 9(19). [CrossRef]
- Measurement and implications of Saturn’s gravity field and ring mass (2019), L. Iess et al, Science, 364(6445). [CrossRef]
- Long-term patterns of body mass and stature evolution within the hominin lineage (2017), M. Will et al. [CrossRef]
- Cosmogenic radionuclides reveal an extreme solar particle storm near a solar minimum 9125 years BP (2022), C. I. Paleari et al. [CrossRef]
- On the Origins of Magnetic Excursions in the Great Lakes (1981), W. F. Kean. [CrossRef]
- The Norwegian-Greenland Sea, the Laschamps, and the Mono Lake Excursions Recorded in a Black Sea Sedimentary Sequence Spanning From 68.9 to 14.5 ka (2020), J. Liu et al. [CrossRef]
- The Lake Mungo geomagnetic excursion (1976), M. F. Barbetti and M. W. McElhinny. [CrossRef]
- The 26.5 ka Oruanui eruption New Zealand: an introduction and overview (2001), C. J. N. Wilson. [CrossRef]
- Robust Characteristics of the Laschamp and Mono Lake Geomagnetic Excursions: Results From Global Field Models (2019), M. Korte et al. [CrossRef]
- Evidence for two intervals of enhanced 10Be deposition in Antarctic ice during the last glacial period (1987), G. M. Raisbeck et al. [CrossRef]
- Late Pleistocene geomagnetic excursion in Icelandic lavas: confirmation of the Laschamp excursion (1990), S. Levi et al. [CrossRef]
- The Toba supervolcano eruption caused severe tropical stratospheric ozone depletion (2021), S. Osipov et al. [CrossRef]
- The Gothenburg Magnetic Excursion (1977), N. Mörner. [CrossRef]
- Evidence for an extraterrestrial impact 12900 years ago that contributed to the megafaunal extinctions and the Younger Dryas cooling (2007), R. B. Firestone et al. [CrossRef]
- On the Precession as a Cause of Pleistocene Variations of the Atlantic Ocean Water Temperatures (1966), E. P. J. van den Heuvel, Geophysical Journal International 11(3), 323-336. [CrossRef]
- Orbital and millennial-scale features of atmospheric CH4 over the past 800,000 years (2008), L. Loulergue et al, Nature 453, 383-386. [CrossRef]
- The 13 million year Cenozoic pulse of the Earth (2015), J. Chen. [CrossRef]
- When and Why Did Human Brains Decrease in Size? A New Change-Point Analysis and Insights From Brain Evolution in Ants (2021), J. M. DeSilva et al. [CrossRef]
- On the 1470-year pacing of Dansgaard-Oeschger warm events (2002), M. Schulz. [CrossRef]
- Estimating the Date of Earth Overshoot Day 2023 (2023), Global Footprint Network. Available online: https://www.overshootday.org/content/uploads/2023/06/Earth-Overshoot-Day-2023-Nowcast-Report.pdf.
- MIT Predicted in 1972 That Society Will Collapse This Century. New Research Shows We’re on Schedule. (2021), A. Nafeez, Vice, access time 2023.10.19. Available online: https://www.vice.com/en/article/z3xw3x/new-research-vindicates-1972-mit-prediction-that-society-will-collapse-soon.
- July Temperature Update: Faustian Payment Comes Due (2021), J. Hansen and M. Sato. Available online: http://www.columbia.edu/~mhs119/Temperature/Emails/July2021.pdf.
- Figure SPM.8 in IPCC 2021: Summary for Policymakers (2021), IPCC. [CrossRef]
- Geomagnetic reversals from impacts on the Earth (1986), R. A. Muller and D. E. Morris, Geophysical Research Letters 13(11), 1177-1180. [CrossRef]
- A Causality Problem for Milankovitch (2000), D. B. Karner and R. A. Muller, Science 288(5474), 2143-2144. [CrossRef]
- The Relationship of Sunspot Cycles to Gravitational Stresses on the Sun: Results of a Proof-of-Concept Simulation (2011), D. Jassby.
- Internal rotation of Sun (2010), SOHO. Available online: https://ase.tufts.edu/cosmos/view_picture.asp?id=1368.
- Velocity Curves for Spiral Galaxies (2015), C. R. Nave. Available online: http://hyperphysics.phy-astr.gsu.edu/hbase/Astro/velcurv.html.
- Discovery of variation in Solar coronal rotation with altitude (2001), H. O. Vats et al.
- Framework for the architecture of exoplanetary systems (2023), L. Mishra et al. Available online: https://arxiv.org/pdf/2301.02374.pdf.
- A million binaries from Gaia eDR3: sample selection and validation of Gaia parallax uncertainties (2021), K. El-Badry et al, Monthly Notices of the Royal Astronomical Society 506(2), 2269–2295. [CrossRef]
- A Quantum-Like Description of the Planetary Systems (2007), F. Scardigli. [CrossRef]
- Self-Organizing Systems in Planetary Physics: Harmonic Resonances of Planet and Moon Orbits (2018), M. J. Aschwanden. [CrossRef]
- The deep Earth may not be cooling down (2016), D. Andrault et al. [CrossRef]
- Complete Relativity: Nature of observables (2022), Amenoum. Available online: https://amenoum.org/complete_relativity.html#tag_total_mass.
- Eccentricity of the geomagnetic dipole caused by lopsided inner core growth (2012), P. Olson et al. [CrossRef]
- Search for new phenomena in dijet events with the ATLAS detector at s = 13 TeV (2019), D. Zhang. Available online: https://cds.cern.ch/record/2683921/files/ATL-PHYS-SLIDE-2019-426.pdf.
- Signals of a 2 TeV W’ boson and a heavier Z’ boson (2016), B. A. Dobrescu et al. [CrossRef]
- Complete Relativity: Nature of observables (2022), Amenoum. Available online: https://amenoum.org/complete_relativity.html#tag_electric_polarization.
- NIST Atomic Spectra Database ver. 5.9 (2021), A. Kramida et al. [CrossRef]
- Assessments of the energy, mass and size of the Chicxulub Impactor (2014), H. J. Durand-Manterola and G. Cordero-Tercero. [CrossRef]
- Distributions and moments of asteroid and comet impact speeds upon the Earth and Mars (1998), D. Steel. [CrossRef]
- Solar Wind Implantation Into the Lunar Regolith: Monte Carlo Simulations of H Retention in a Surface With Defects and the H2 Exosphere (2018), O. J. Tucker et al. [CrossRef]
- Solar Storms Could ’Sandblast’ the Moon (2011), NASA. Available online: https://www.nasa.gov/topics/solarsystem/features/dream-cme.html.
- Multiple Impacts at the KT Boundary and the Death of the Dinosaurs (1997), S. Chatterjee.
- 99942 Apophis Earth Impact Risk Summary (2013), NASA. Available online: https://web.archive.org/web/20130512035601/http://neo.jpl.nasa.gov/risk/a99942.html.
- Measurements of Newton’s gravitational constant and the length of day (2015), J. D. Anderson et al. [CrossRef]
- Horizons On-Line Ephemeris System (2020), NASA Solar System Dynamics Group. Available online: http://ssd.jpl.nasa.gov/.
- Equatorial anisotropy in the inner part of Earth’s inner core from autocorrelation of earthquake coda (2015), T. Wang et al. [CrossRef]
- A complex dynamo inferred from the hemispheric dichotomy of Jupiter’s magnetic field (2018), K. M. Moore et al. [CrossRef]
- Uranus fact sheet (2019), NASA/GSFC. Available online: https://nssdc.gsfc.nasa.gov/planetary/factsheet/uranusfact.html.
- Neptune fact sheet (2019), NASA/GSFC. Available online: https://nssdc.gsfc.nasa.gov/planetary/factsheet/neptunefact.html.
- Up-to-fivefold reverberating waves through the Earth’s center and distinctly anisotropic innermost inner core (2023), T. Pham and H. Tkalčić. [CrossRef]
- Antipodal hotspots and bipolar catastrophes: Were oceanic large-body impacts the cause? (2005), J. T. Hagstrum, Earth and Planetary Science Letters 236(1-2), 13-27. [CrossRef]
- Broad plumes rooted at the base of the Earth’s mantle beneath major hotspots (2015), S. French and B. Romanowicz, Nature 525, 95–99. [CrossRef]
- Observation of an Unusual Upward-Going Cosmic-Ray-like Event in the Third Flight of ANITA (2018), P. W. Gorham et al, Phys. Rev. Lett. 121, 161102. [CrossRef]
- A Search for IceCube Events in the Direction of ANITA Neutrino Candidates (2020), M. G. Aartsen et al, Apj 892(53). [CrossRef]
- On the resolution of seismic tomography models and the connection to geodynamic modelling (2019), EGU. Available online: https://blogs.egu.eu/divisions/gd/2019/06/05/on-the-resolution-of-seismic-tomography-models-and-the-connection-to-geodynamic-modelling-is-blue-red-the-new-cold-hot-how-many-pixels-in-an-earth/.
- JWST Observations Completely Break Galactic Evolution Models...But Prove Big Bang Correct (2023), A. Petrov, access time 2023.10.01. Available online: https://www.youtube.com/watch?v=Jm7omDy5_38.
- 10Be: Half-life and AMS-standards (1987), H. J. Hofmann et al. [CrossRef]
- A new value for the half-life of 10Be by Heavy-Ion Elastic Recoil Detection and liquid scintillation counting (2010), G.Korschinek et al. [CrossRef]
- Relation to, and revelation of, Vedic (Hindu) culture (2021), Amenoum. Available online: https://amenoum.org/log/6_relation_to_(and_revelation_of)_vedic_culture.html.
- Rest Heart Rate and Life Expectancy (1997), H. J. Levine. [CrossRef]
- The species of homo (2023), Amenoum. Available online: https://amenoum.org/log/25_species_of_homo.html.
- Athropogenic carbon and ocean pH, Nature 425, 365 (2003), K. Caldeira et al.
- Ocean acidification and the Permo-Triassic mass extinction (2015), M. O. Clarkson et al. [CrossRef]
- Essentials of geology, 4th edition, 256 (2013), S. Marshak.
- Characteristic disruptions of an excitable carbon cycle (2019), D. H. Rothman. [CrossRef]
- Thresholds of catastrophe in the Earth system (2017), D. H. Rothman. [CrossRef]
- Do Red and Green Make Brown?: Perspectives on Plastid Acquisitions within Chromalveolates (2011), R. G. Dorrell et al. [CrossRef]
- Future climate forcing potentially without precedent in the last 420 million years (2017), G. L. Foster et al. [CrossRef]
- Periodicity of extinctions in the geologic past (1983), D. M. Raup et al. [CrossRef]
- Periodic impact cratering and extinction events over the last 260 million years (2015), M. R. Rampino et al. [CrossRef]
- No Evidence for a Large Atmospheric CO2 Spike Across the Cretaceous-Paleogene Boundary (2019), J. N. Milligan et al. [CrossRef]
- Convergent Cenozoic CO2 history (2011), D. J. Beerling and D. L. Royer, Nature Geoscience 4, 418-420. [CrossRef]
- Evidence of Pliocene Nothofagus in Antarctica from Pliocene marine sedimentary deposits (1996), R. F. Fleming and J. A. Barron, Marine Micropaleontology.
- Exchanges of atmospheric CO2 and 13CO2 with the terrestrial biosphere and oceans from 1978 to 2000 (2001), C. D. Keeling et al, I. Global aspects, SIO Reference Series, No. 01-06, Scripps Institution of Oceanography, San Diego, 88 pages. [CrossRef]
- Law Dome Ice Core 2000-Year CO2, CH4, N2O and d13C-CO2 (2019), M. Rubino et al, v1. CSIRO. Data Collection. [CrossRef]
- Assessing the size and uncertainty of remaining carbon budgets (2023), R. D. Lamboll et al, Nature Climate Change. [CrossRef]
- Societal shifts due to COVID-19 reveal large-scale complexities and feedbacks between atmospheric chemistry and climate change (2021), J. L. Laughner et al, PNAS 118(46). [CrossRef]
- Atmospheric Methane: Comparison Between Methane’s Record in 2006–2022 and During Glacial Terminations (2023), E. G. Nisbet et al, Global Biogeochemical Cycles 37(8). [CrossRef]
- Understanding synchronicity (2020), Amenoum. Available online: https://amenoum.org/log/19_understanding_synchronicity.html.
- Never at rest: A biography of Isaac Newton (1983), R. S. Westfall, 816-817.
- Amenoum (2020), Amenoum. Available online: https://amenoum.org/authors/Amenoum.html.
- 10Be β- Decay Evaluated Data (2019), TUNL Nuclear Data Evaluation Project. Available online: https://nucldata.tunl.duke.edu/nucldata/GroundStatedecays/10Be.shtml.
- Evidence of correlations between nuclear decay rates and Earth–Sun distance (2009), J. H. Jenkins et al. [CrossRef]
- Where is the Earth’s Radiogenic Helium? (1957), L. G. Carpenter et al. Available online: https://www.nature.com/articles/179213a0.
- Paleosol barometer indicates extreme fluctuations in atmospheric CO2 across the Cretaceous-Tertiary boundary (2002), L. Nordt et al. [CrossRef]
- Dark matter’s shadowy effect on Earth (2019), M. R. Rampino. Available online: http://astronomy.com/magazine/2019/07/dark-matters–shadowy-effect–on-earth.
- The Species of Homo (2023), Amenoum. Available online: https://amenoum.org/log/25_species_of_homo.html#tag_homo_gamma.
- Warning of a forthcoming collapse of the Atlantic meridional overturning circulation (2023), P. Ditlevsen and S. Ditlevsen, Nat Commun 14, 4254. [CrossRef]
- Guided evolution: Development and organization of beings from a non-absolute reference frame (2023), Amenoum. Available online: https://amenoum.org/log/9_guided_evolution.html.
- Body Size Distribution of the Dinosaurs (2012), E. J. O’Gorman and D. W. E. Hone, PLoS ONE 7(12). [CrossRef]
- Statistics of directional data (1972), K. V. Mardia.
- Large igneous provinces and mass extinctions: An update (2014), D. Bond et al. [CrossRef]
- Permo-Carboniferous Volcanism in Europe and North Africa: a Superplume exhaust valve in The Center of Pangea (1998), M. Doblas et al. [CrossRef]
- Silurian Cycles: Linkages of Dynamic Stratigraphy with Atmospheric, Oceanic and Tectonic Changes (1998), L. Jeppsson.
- Discovery of a major negative δ13C spike in the Carnian (Late Triassic) linked to the eruption of Wrangellia flood basalts (2012), J. Dal Corso et al. [CrossRef]
- The Silurian Mulde Event and a scenario for secundo – secundo events (2007), L. Jeppsson et al. [CrossRef]
- The Ireviken Event in the lower Silurian of Gotland, Sweden - relation to similar Palaeozoic and Proterozoic events (2003), A. Munnecke et al. [CrossRef]
- The Kalkarindji Large Igneous Province, Australia: Petrogenesis of the Oldest and Most Compositionally Homogenous Province of the Phanerozoic (2018), B. D. Ware et al. [CrossRef]
- Magmatic underplating beneath the Rajmahal Traps: Gravity signature and derived 3-D configuration (2004), A. P. Singh et al.
- A Concise Geologic Time Scale (2016), F. M. Gradstein et al.
- Oceanic crustal carbon cycle drives 26-million-year atmospheric carbon dioxide periodicities (2018), R. D. Müller et al. [CrossRef]
- Time Scales of Critical Events Around the Cretaceous-Paleogene Boundary (2013), P. R. Renne et al, Science 339(6120), 684-687. [CrossRef]
- Mantle Discontinuities (2017), A. Deuss. Available online: http://www.geo.uu.nl/~deuss/research/discontinuities/.
- Imaging Mantle Heterogeneity with Upper Mantle Seismic Discontinuities (2015), N. Schmerr. [CrossRef]
- New theory of the Earth (2007), D. L. Anderson.
- Mantle discontinuities (1991), C. R. Bina. Available online: https://www.earth.northwestern.edu/~craig/publish/pdf/rg91.pdf.
- Reflection of P’P’ seismic waves from discontinuities in the mantle (1970), J. H. Whitcomb et al. [CrossRef]
- Why Did the Climate of Mars Shift from Habitable to Inhabitable? Clues from Mapping Ancient Riverbeds (2022), USRA. Available online: https://www.lpi.usra.edu/planetary_news/2022/08/02/why-did-the-climate-of-mars-shift-from-habitable-to-inhabitable-clues-from-mapping-ancient-riverbeds/.
- Changing spatial distribution of water flow charts major change in Mars’s greenhouse effect (2022), E. S. Kite et al, Science Advances 8(21). [CrossRef]
- Could Venus have been habitable? (2019), Europlanet. Available online: https://www.europlanet-society.org/could-venus-have-been-habitable/.
- Turbulence transport modeling of the temporal outer heliosphere (2014), L. Adhikari et al, The Astrophysical Journal 793(1), 52. [CrossRef]
- Magnetic Lineations in the Ancient Crust of Mars (1999), J. E. P. Connerney et al, Science 284(5415), 794-798. [CrossRef]
- Mars Crustal Magnetism (2005), NASA, last access 2023.11.04. Available online: https://commons.wikimedia.org/wiki/File:Mars_Crustal_Magnetism_MGS.png.
- Temporal trends in sperm count: a systematic review and meta-regression analysis of samples collected globally in the 20th and 21st centuries (2022), H. Levine et al. [CrossRef]
- Effects of the COVID-19 Pandemic on Mental Health and Brain Maturation in Adolescents: Implications for Analyzing Longitudinal Data (2022), I. H. Gotlib et al. [CrossRef]
- Encyclopedia of Solid Earth Geophysics (2021), H. K. Gupta, 2nd edition, 412-420.
- On the resolution of density within the Earth (2003), G. Masters and D. Gubbins, Physics of the Earth and Planetary Interiors 140, 159–167. [CrossRef]
- Tumor-derived TGF-β inhibits mitochondrial respiration to suppress IFN-γ production by human CD4+ T cells (2019), S. Dimeloe et al. [CrossRef]
- Deadly ’two-faced’ protein drives cancer growth, cripples T-cell avengers (2019), D. Ricks. Available online: https://medicalxpress.com/news/2019-10-deadly-two-faced-protein-cancer-growth.html.
- Similarity in gene-regulatory networks suggests that cancer cells share characteristics of embryonic neural cells (2017), Z. Zhang et al, Developmental Biology 292(31), 12842-12859. [CrossRef]
- Cancer-associated neurogenesis and nerve-cancer crosstalk (2020), D. A. Silverman et al, Cancer Res. 81(6), 1431-1440. [CrossRef]
- Using the Baryonic Tully–Fisher Relation to Measure Ho (2020), J. Schombert et al. [CrossRef]
- Measurement of Jupiter’s asymmetric gravity field (2018), L. Iess et al, Nature 555, 220–222. [CrossRef]
- Dynamics of Hippocampal Neurogenesis in Adult Humans (2013), Spalding et al. [CrossRef]
- Environmental Physiology of Animals (2009), P. Willmer.
- A Sceptics View: ’Kleiber’s Law’ or the ’3/4 Rule’ is neither a Law nor a Rule but Rather an Empirical Approximation (2014), A. J. Hulbert. [CrossRef]
- Panic! At the Disks: First Rest-frame Optical Observations of Galaxy Structure at z > 3 with JWST in the SMACS 0723 Field (2022), L. Ferreira et al, The Astrophysical Journal Letters 938(1). [CrossRef]
- A population of red candidate massive galaxies 600 Myr after the Big Bang (2023), I. Labbé et al, Nature. [CrossRef]
- Observational Evidence for Cosmological Coupling of Black Holes and its Implications for an Astrophysical Source of Dark Energy (2023), D. Farrah et al, The Astrophysical Journal Letters 944(2). [CrossRef]
- UV surface brightness of galaxies from the local universe to z 5 (2014), E. J. Lerner et al. [CrossRef]
- Evidence for anisotropy of cosmic acceleration (2019), J. Colin et al. [CrossRef]
- Time Dilation in Type Ia Supernova Spectra at High Redshift (2008), S. Blondin et al. [CrossRef]
- Investigating signatures of cosmological time dilation in duration measures of prompt gamma-ray burst light curves (2014), O. M. Littlejohns and N. R. Butler. [CrossRef]
- Atomic Radii in Crystals (1964), J. C. Slater.
- Covalent radii revisited (2008), B. Cordero et al.
- Experimental tests of Coulomb’s Law and the photon rest mass (2004), L-C. Tu et al. [CrossRef]
- All objects and some questions (2023), C. H. Lineweaver and V. M. Patel, American Journal of Physics 91(10), 819-825. [CrossRef]
- Particle creation by black holes (1975), S. W. Hawking, Communications in Mathematical Physics 43, 199-220. [CrossRef]
- High-Precision Measurement of the Proton’s Atomic Mass (2017), F. Heiße et al, Phys. Rev. Lett. 119, 033001. [CrossRef]
- The Pulse of the Solar Dynamo (2000), R. Howe et al. Available online: http://soi.stanford.edu/press/GONG_MDI_03-00/.
- An Introduction to the Solar Tachocline (2007), D. Gough. [CrossRef]
- Solar Interior Rotation and its Variation (2009), R. Howe. [CrossRef]
Figure 3.
Charge wave forces
Figure 3.
Charge wave forces
Figure 4.
Primary components of the Solar System (planet images source: Pixabay/OpenClipart-Vectors)
Figure 4.
Primary components of the Solar System (planet images source: Pixabay/OpenClipart-Vectors)
Figure 5.
a) stable C energy levels b) possible Solar System (U.C) energy levels
Figure 5.
a) stable C energy levels b) possible Solar System (U.C) energy levels
Figure 6.
Primary components of the TOI-178 System (planet images source: Pixabay/OpenClipart-Vectors)
Figure 6.
Primary components of the TOI-178 System (planet images source: Pixabay/OpenClipart-Vectors)
Figure 7.
Masses of detected exoplanets (data source: The Extrasolar Planets Encyclopaedia)
Figure 7.
Masses of detected exoplanets (data source: The Extrasolar Planets Encyclopaedia)
Figure 8.
left) internal rotation of the Sun, right) rotation of spiral galaxies
Figure 8.
left) internal rotation of the Sun, right) rotation of spiral galaxies
Figure 9.
Rotational velocities of the Sun
Figure 9.
Rotational velocities of the Sun
Figure 10.
Rotational velocities of the Sun and near corona
Figure 10.
Rotational velocities of the Sun and near corona
Figure 11.
Oscillation of the gravitational constant
Figure 11.
Oscillation of the gravitational constant
Figure 12.
Oscillation of the gravitational constant
Figure 12.
Oscillation of the gravitational constant
Figure 13.
Sun partitioning in: a) 6p4n state b) 4p6n state (R = radius in 6p4n state)
Figure 13.
Sun partitioning in: a) 6p4n state b) 4p6n state (R = radius in 6p4n state)
Figure 14.
Equatorial anisotropy of the Earth’s inner core
Figure 14.
Equatorial anisotropy of the Earth’s inner core
Figure 15.
Magnetic field of Jupiter, left) =0, right) =109 (N=2)
Figure 15.
Magnetic field of Jupiter, left) =0, right) =109 (N=2)
Figure 16.
Uranus’ magnetic field model
Figure 16.
Uranus’ magnetic field model
Figure 17.
Neptune’s magnetic field model
Figure 17.
Neptune’s magnetic field model
Figure 18.
Layers of Earth’s brain, superimposed on seismic velocities
Figure 18.
Layers of Earth’s brain, superimposed on seismic velocities
Figure 19.
The history of atmospheric CO concentration
Figure 19.
The history of atmospheric CO concentration
Figure 20.
CO pH minimum marker models a) and b) (blue dots = major extinction events, red = minor extinction events, on b) grey = icehouse periods, white = greenhouse periods)
Figure 20.
CO pH minimum marker models a) and b) (blue dots = major extinction events, red = minor extinction events, on b) grey = icehouse periods, white = greenhouse periods)
Figure 21.
Recent history of CO concentration
Figure 21.
Recent history of CO concentration
Figure 22.
Neutrino pulse due to decay rate increase
Figure 22.
Neutrino pulse due to decay rate increase
Figure 23.
Dataset 1 - extinctions (left), spectral analysis (right)
Figure 23.
Dataset 1 - extinctions (left), spectral analysis (right)
Figure 24.
Dataset 2 - extinctions (left), spectral analysis (right)
Figure 24.
Dataset 2 - extinctions (left), spectral analysis (right)
Figure 25.
Dataset 3 - extinctions
Figure 25.
Dataset 3 - extinctions
Figure 26.
Dataset 4 - extinctions (left), spectral analysis (right)
Figure 26.
Dataset 4 - extinctions (left), spectral analysis (right)
Figure 28.
Correlation of major extinctions (left) with Earth’s mantle layers (right)
Figure 28.
Correlation of major extinctions (left) with Earth’s mantle layers (right)
Figure 29.
Homo.beta cell
Figure 29.
Homo.beta cell
Figure 33.
Gravity of the Sun
Figure 33.
Gravity of the Sun
Figure 35.
Stable isotopes of the Solar System in state 6p4n at t > 1495840 years
Figure 35.
Stable isotopes of the Solar System in state 6p4n at t > 1495840 years
Figure 36.
Calculated Hill sphere and measured radius for stable isotopes: a) data from 2008. b) data from 1964.
Figure 36.
Calculated Hill sphere and measured radius for stable isotopes: a) data from 2008. b) data from 1964.
Figure 37.
Calculated Hill sphere (adjusted) and measured radius for stable isotopes: a) data from 2008. b) data from 1964.
Figure 37.
Calculated Hill sphere (adjusted) and measured radius for stable isotopes: a) data from 2008. b) data from 1964.
Figure 38.
Isotopes used in
Figure 36 calculation: a) data from 2008. b) data from 1964.
Figure 38.
Isotopes used in
Figure 36 calculation: a) data from 2008. b) data from 1964.
Figure 39.
Sun rotation rates
Figure 39.
Sun rotation rates
Figure 40.
Mass and charge radii of charged bodies
Figure 40.
Mass and charge radii of charged bodies
Table 1.
Commonly used constants
Table 1.
Commonly used constants
| Description |
Constant |
Value |
| Neptune mass on scale 1 |
M
|
1.02413 * 10 kg |
| Neptune equivalent mass on scale 0 |
M
|
( 9.10938356 * 10 kg / 510998.9461 eV ) * ( 510998.9461 eV - 11.260288 eV ) = 9.109182827 * 10 kg |
| Neptune orbital velocity |
v
|
5430 m/s |
| Neptune spin velocity |
s
|
2660 m/s |
| Neptune radius on scale 1 |
R
|
24622000 m |
| Neptune equivalent radius on scale 0 |
R
|
( 24622000 m / 4495060000000 m ) * 70 * 10 m = 3.834298096 * 10 m |
| Solar System charge radius = Neptune orbital radius |
r
|
4495060000000 m |
| Sun mass |
M
|
1.988500 * 10 kg |
| Sun radius |
R
|
695735 km = 695735000 m |
| Earth mass |
|
5.9723 * 10 kg |
| Carbon-12 atom mass |
|
1.992646547 * 10 g = 1.992646547 * 10 kg |
| Carbon-12 charge radius = Carbon-10 charge radius |
r
|
70 pm = 70 * 10 m |
| Carbon-10 nucleus charge radius |
|
2.708 * 10 m |
| Carbon-10 nucleus mass |
|
10.016853 u = 1.663337576 * 10 kg |
| Standard speed of light |
c = c
|
2.99792458 * 10 m/s |
| Standard electron mass |
M
|
9.10938356 * 10 kg |
Table 3.
4th order period correlation with excursions
Table 3.
4th order period correlation with excursions
| cycle |
years before present |
correlated event |
| 0 |
0 |
current events (extinction, climate change, ozone depletion, likely magnetic excursion or reversal, ...) |
| 1 |
9221.4 |
Be enrichment in ice cores ≈9200 years ago[47] (hypothesized extreme solar storm event), Lake Michigan/Erie magnetic excursion 10-9 ka and 14-12 ka[48] |
| 2 |
18442.8 |
Hilina Pali magnetic excursion 18.5 ka[49] |
| 3 |
27664.2 |
Lake Mungo magnetic excursion 30780±520 - 28140±370 and ≈26000 years b.p.[50], Oruanui eruption ≈26.5 ka[51] |
| 4 |
36885.6 |
Mono Lake magnetic excursion 36 - 30 ka[52] (34.5 ka[49]), Dome C/Vostok Be enrichment (likely due to excursion) ≈35 ka[53] |
| 5 |
46107.0 |
Laschamp magnetic excursion 46.6±2.4 ka[54] (41.2 ka[49]), Neanderthals extinction |
| 6 |
55328.4 |
? |
| 7 |
64549.8 |
Norwegian-Greenland Sea magnetic excursion 64.5 ka[49] |
| 8 |
73771.2 |
Toba volcanic eruption ≈74000 years ago[55] |
Table 4.
Calculated gravity for outer planets
Table 4.
Calculated gravity for outer planets
| n |
planet |
orbital velocity v (m/s) |
orbital radius r (10 km) |
total mass M (10 kg) |
required total mass (10 kg) |
calc. gravity g (m/s) |
gravity (m/s) |
acc. (m/s) |
| 5 |
Neptune |
5430 |
4495.06 |
102.413 |
102.413 |
11.15 |
11.15 |
11.00 |
| 5 |
Uranus |
6800 |
2872.46 |
86.813 |
127.976 |
8.92 |
8.87 |
8.69 |
| 3 |
Saturn |
9680 |
1433.53 |
568.340 |
108.084 |
10.565 |
10.44 |
8.96 |
| 1 |
Jupiter |
13060 |
778.57 |
1898.190 |
49.168 |
23.225 |
24.79 |
23.12 |
Table 5.
Calculated gravity for inner planets
Table 5.
Calculated gravity for inner planets
| n |
planet (mirror) |
orbital velocity v (m/s) |
orbital radius r (10 km) |
total mass (10 kg) |
required total mass (10 kg) |
calc. gravity g (m/s) |
gravity (m/s) |
| 5 |
Mercury (Neptune) |
47360 |
57.91 |
0.330 |
0.33011 |
3.70 |
3.70 |
| 3 |
Venus (Uranus) |
35020 |
108.21 |
4.868 |
0.14335 |
8.52 |
8.87 |
| 3 |
Earth (Saturn) |
29780 |
149.6 |
5.972 |
0.12193 |
10.02 |
9.798 |
| 10 |
Mars (Jupiter) |
24070 |
227.92 |
0.642 |
0.33006 |
3.70 |
3.71 |
Table 6.
Examples of discrete surface gravity and orbital distance for inner planets
Table 6.
Examples of discrete surface gravity and orbital distance for inner planets
| base |
state |
N/P |
surface gravity/orbital distance examples |
| Carbon |
6p4n |
4/6 = 2/3 |
Mercury 3.7 (0.25 MAU, n=5), Venus 8.87 (0.5 MAU, n=3), Earth 9.798 (0.66 MAU, n=3), Mars 3.71 (1 MAU, n=10) |
| Boron |
5p5n |
5/5 = 1 |
Mercury B 3.32 (0.2 MAU, n=5), Venus/Earth A 5.25 (0.5 MAU, n=5), Earth B/Mars 6.43 (0.75 MAU, n=5) |
| Beryllium |
4p6n |
6/4 = 3/2 |
Venus/Earth A 1.85 (0.25 MAU orbit, n=10), Earth B/Mars 37.1 (1 MAU, n=1) |
Table 7.
Obtained values for l, s and ℏ for outer planets
Table 7.
Obtained values for l, s and ℏ for outer planets
| n |
conf. |
l |
s |
planet |
orbital vel. v (m/s) |
orbital radius r (10 km) |
spin vel. v (m/s) |
spin radius R (km) |
spin rot. period T (h) |
calc. ℏ (Js) |
| 5 |
1e |
1 |
1/2 |
Neptune |
5430 |
4495.06 |
2668 |
24622 |
16.11 |
1.3310 * 10
|
| 5 |
1e |
1 |
0 |
Uranus |
6800 |
2872.46 |
2568 |
25362 |
17.24 |
1.3319 * 10
|
| 3 |
2e |
1 |
0 |
Saturn |
9680 |
1433.53 |
9538 |
58232 |
10.656 |
1.3636 * 10
|
| 1 |
2e |
0 |
1 |
Jupiter |
13060 |
778.57 |
12293 |
69911 |
9.9250 |
1.3817 * 10
|
Table 8.
Possible configuration of inner planets
Table 8.
Possible configuration of inner planets
| n |
conf. |
l |
s |
planet |
total mass (10 kg) |
orbital vel. v (m/s) |
orbital radius r (10 km) |
spin vel. v (m/s) |
spin radius R (m) |
calc. ℏ (Js) |
| 10 |
2e |
1 |
1/2 |
Mars |
0.642 |
24070 |
227.92 |
27650 |
56044 |
4.3107 * 10
|
| 3 |
2e |
1 |
0 |
Earth |
5.972 |
29780 |
149.6 |
28435 |
492971 |
4.3107 * 10
|
| 3 |
1e |
1 |
0 |
Venus |
4.868 |
35020 |
108.21 |
45462 |
157195 |
4.3107 * 10
|
| 5 |
1e |
0 |
1 |
Mercury |
0.330 |
47360 |
57.91 |
58980 |
6333 |
4.3107 * 10
|
Table 9.
Calculated spin radius for inner planets
Table 9.
Calculated spin radius for inner planets
| n |
conf. |
planet |
total mass M (10 kg) |
orbital radius r (10 km) |
spin radius r (m) |
| 10 |
2e |
Mars |
0.642 |
227.92 |
24851090 |
| 3 |
2e |
Earth |
5.972 |
149.6 |
1753428 |
| 3 |
1e |
Venus |
4.868 |
108.21 |
1556019 |
| 5 |
1e |
Mercury |
0.330 |
57.91 |
12283939 |
Table 10.
Obtained k momentum for outer planets
Table 10.
Obtained k momentum for outer planets
| n |
configuration |
l |
s |
planet |
|
| 5 |
1e |
1 |
1/2 |
Neptune |
|
| 5 |
1e |
1 |
0 |
Uranus |
|
| 3 |
2e |
1 |
0 |
Saturn |
1 |
| 1 |
2e |
0 |
1 |
Jupiter |
|
Table 11.
Possible quantization parameters and spin radii for inner planets
Table 11.
Possible quantization parameters and spin radii for inner planets
| n |
conf. |
l |
s |
planet |
|
spin radius (m) |
| 10 |
2e |
1 |
1/2 |
Mars |
|
6477988 |
| 3 |
2e |
1 |
0 |
Earth |
1 |
4146215 |
| 3 |
1e |
1 |
0 |
Venus |
|
3920325 |
| 5 |
1e |
0 |
1 |
Mercury |
|
4140950 |
Table 12.
Possible quantization parameters and spin radii for inner planets, with corrected h
Table 12.
Possible quantization parameters and spin radii for inner planets, with corrected h
| n |
conf. |
l |
s |
planet |
|
spin radius (m) |
| 10 |
2e |
1 |
1/2 |
Mars |
|
713566 |
| 3 |
2e |
1 |
0 |
Earth |
1 |
456716 |
| 3 |
1e |
1 |
0 |
Venus |
|
431833 |
| 5 |
1e |
0 |
1 |
Mercury |
|
456136 |
Table 13.
Standard particle candidates for planets (green = most likely)
Table 13.
Standard particle candidates for planets (green = most likely)
| planet |
relativistic mass M [10 kg] (v) |
rest mass M candidates [10 kg] (c) |
particle candidates (MeV/c) |
| Mercury |
0.330 (47.4 km/s) |
0.361 (19.34 km/s = Vesta orbit),
0.353 (16.76 km/s = Hygiea orbit),
0.383 (24.1 km/s = Mars orbit), 0.489 (35 km/s = Venus orbit) |
? (0.198), positron (0.511) |
| Venus |
4.868 (35.0 km/s) |
5.67 (17.905 km/s = Ceres orbit),
5.545 (16.76 km/s = Hygiea orbit) |
anti-down quark (≈4.8) |
| Earth |
5.972 (29.8 km/s) |
7.47 (17.905 km/s = Ceres orbit),
7.47 (17.89 km/s = Pallas orbit), 4.77 (-17.905 km/s = -Ceres orbit) |
anti-down quark (≈4.8) |
| Mars |
0.642 (24.1 km/s) |
1.076 (19.34 km/s = Vesta orbit),
0.383 (-19.34 km/s = -Vesta orbit),
0.461 (-16.76 km/s = -Hygiea orbit), 0.539 (-13.1 km/s = -Jupiter orbit) |
positron (0.511) |
| Jupiter |
1898.19 (13.1 km/s) |
1396 (-19.34 km/s = -Vesta orbit), 1293 (-17.905 km/s = -Ceres orbit),
1824 (-47.4 km/s = -Mercury orbit) |
D meson (1869), tau (1776.86), anti-charm quark (≈1275) |
| Saturn |
568.34 (9.7 km/s) |
491.4 (-19.34 km/s = -Vesta orbit),
477.7 (-17.905 km/s = -Ceres orbit) |
K meson (493.7) |
| Uranus |
86.813 (6.8 km/s) |
80.285 (-17.89 km/s = -Pallas orbit), 94.982 (16.76 km/s = Hygiea orbit) |
muon (105.658), strange quark (≈95) |
| Neptune |
102.413 (5.43 km/s) |
96.5 (-16.76 km/s = -Hygiea orbit) |
muon (105.658), strange quark (≈95) |
Table 14.
Standard particle candidates for planets, with listed electric charges
Table 14.
Standard particle candidates for planets, with listed electric charges
| planet |
configuration |
particle species (charge) |
total charge |
| Mercury |
1e |
positron (1 e) |
1 e
|
| Venus |
1e |
anti-down quark (1/3 e) |
1/3 e
|
| Earth |
2e |
anti-down quark (1/3 e) |
2/3 e
|
| Mars |
2e |
positron (1 e) |
2 e
|
| Jupiter |
2e |
anti-charm quark (2/3 e) |
4/3 e
|
| Saturn |
2e |
K meson (1 e) |
2 e
|
| Uranus |
1e |
strange quark (1/3 e) |
1/3 e
|
| Neptune |
1e |
strange quark (1/3 e) |
1/3 e
|
Table 15.
Standard particle candidates for planets (p1, p2, p3, p4, p5 hypothetical)
Table 15.
Standard particle candidates for planets (p1, p2, p3, p4, p5 hypothetical)
| planet |
mass M [10 kg] |
particle candidates (MeV/c) |
| Mercury |
0.330 |
1 x positron (0.511) |
| Venus |
4.868 |
1 x anti-down quark (≈4.6) |
| Earth |
5.972 |
1 x anti-down quark (≈4.6) + 1 x positron (0.511), or 2 x up quark (2 x 2.7475) |
| Mars |
0.642 |
1 x positron (0.511) |
| Jupiter |
1898.19 (1777*) |
1 x tau (1776.86) |
| Saturn |
568.32 |
1 x muon anti-up quark (568.32**) |
| Uranus |
86.813 |
1 x muon (105.658) |
| Neptune |
102.413 |
1 x muon (105.658) |
Table 16.
Sums of charges
Table 16.
Sums of charges
| configuration |
charge sum [e] |
| 1 x positron, 1 x anti-down quark, 2 x up quark, 1 x positron |
+ (3+2/3) |
| 1 x tau, 1 x muon anti-up quark, 1 x muon, 1 x muon |
- (3+2/3) |
Table 17.
Calculated neutral and current radii, compared to measured R
Table 17.
Calculated neutral and current radii, compared to measured R
| N |
n |
planet |
M (kg) |
r (10 km) |
s |
p |
() |
neutral R (km) |
current R (km) |
R (km) |
| 2 |
5 |
Neptune |
1.02413 * 10
|
4495.06 |
1 |
2 |
36.7084 |
24764 |
24764 |
24764 |
| 2 |
5 |
Uranus |
8.6813 * 10
|
2872.46 |
1 |
1 |
233.1511 |
25703 |
25559 |
25559 |
| 2 |
3 |
Saturn |
5.6834 * 10
|
1433.53 |
2 |
1 |
0.2 |
60806 |
60268 |
60268 |
| 1 |
1 |
Jupiter |
1.89819 * 10
|
778.57 |
2 |
1 |
-0.847 |
68848 |
71492 |
71492 |
| 2 |
5 |
Mercury |
3.3011 * 10
|
57.91 |
2 |
2 |
172.3047 |
2555.7 |
2439.7 |
2439.7 |
| 2 |
3 |
Venus |
4.8675 * 10
|
108.21 |
1 |
0 |
0 |
6051.8 |
6051.8 |
6051.8 |
| 2 |
3 |
Earth |
5.9723 * 10
|
149.60 |
2 |
1 |
90.3135 |
6284.72 |
6378.14 |
6378.14 |
| 1 |
10 |
Mars |
6.4171 * 10
|
227.92 |
1 |
2 |
-91.9957 |
3394.1 |
3396.2 |
3396.2 |
Table 18.
Correlation of outer and inner planets, in case of anti-aligned and aligned entanglements
Table 18.
Correlation of outer and inner planets, in case of anti-aligned and aligned entanglements
| planet |
normalized () |
entanglement (anti-aligned) |
entanglement (aligned) |
| Neptune |
(5 * 36) % 360 = 180 |
Venus |
Mercury |
| Uranus |
(5 * 234) % 360 = 90 |
Mars |
Earth |
| Saturn |
(5 * 0) % 360 = 0 |
Mercury |
Venus |
| Jupiter |
(5 * 0) % 360 = 0 |
Mercury |
Venus |
Table 19.
Gravity of [naked] Earth
Table 19.
Gravity of [naked] Earth
| n |
discontinuity |
radius (m) |
gravity (m/s) |
| 1 |
crust surface |
6371000 |
9.82 |
| 1 |
crust surface perihelion
|
6357000 |
9.86 |
| 1 |
real surface |
6307105 |
10.02 |
| 1 |
outer core / mantle |
3411408 |
34.25 (274 / 2) |
| 1 |
transition zone (induced charge) |
1705704 |
137 (274 / 2) |
| 1 |
g. maximum = inner core radius = r
|
1206115 |
274 |
| 1 |
transition zone |
852852 |
137 |
| 1 |
inner inner core |
603058 |
69 (274 for n=2) |
Table 23.
Calculated impact dates correlated with hypothesized CO markers and possible impactors (2nd order = lower energy)
Table 23.
Calculated impact dates correlated with hypothesized CO markers and possible impactors (2nd order = lower energy)
| model |
CO [ppm] |
year of impact |
associated impactor (diameter) |
impactor closest approaches |
2nd order impactor (diameter) |
| a), e) |
450 |
2029 |
99942 Apophis (≈375 m) |
2029, 2065 |
|
| b) |
700 |
2066 |
99942 Apophis (≈375 m) |
2029, 2065 |
|
| c) |
750 |
2071 |
1866 Sisyphus (≈7 km) |
2058, 2071 |
2000 SG (37 m) |
| d) |
800 |
2075 |
162173 Ryugu (≈1 km) |
2076 |
|
Table 26.
Extinction events dataset 1, sources: *, a, b, c, d, e, f, g, h
Table 26.
Extinction events dataset 1, sources: *, a, b, c, d, e, f, g, h
| energy level |
extinction events [mya] |
extinction events (t), age corrected [mya] |
| 5 |
66*, 201.3*, 252.2*, 365, 445 |
61.986, 190.208, 238.316, 345.385, 421.148 |
| 4 |
37.8*, 145*, 260, 305, 420 |
36.206, 136.774, 245.993, 288.3, 397.519 |
| 3 |
11.6*, 93.9*, 182.7*, 230, 270, 424e, 428, 488, 502 |
11.402, 88.465, 172.88, 217.463, 255.844, 401.469, 404.42, 461.48, 475.257 |
| 2 |
117, 168.3* |
111.194, 159.702 |
Table 27.
Extinction events dataset 2, source: Gradstein2016
Table 27.
Extinction events dataset 2, source: Gradstein2016
| energy level |
extinction events [mya] |
extinction events (t), age corrected [mya] |
| 5 |
66, 201.4, 251.9, 372.2, 445.2 |
61.986, 190.308, 238.041, 352.461, 421.348 |
| 4 |
37.8, 145, 259.8, 306.7, 419.2 |
36.206, 136.774, 245.793, 289.975, 396.744 |
| 3 |
11.6, 93.9, 183.7, 228.5, 272.3, 423, 427.4, 485.4, 500.5 |
11.402, 88.465, 173.88, 215.987, 257.12, 400.469, 403.82, 458.929, 473.782 |
| 2 |
113.1, 168.3 |
107.344, 159.702 |
Table 28.
Extinction events dataset 3, source: Gradstein2016
Table 28.
Extinction events dataset 3, source: Gradstein2016
| energy level |
extinction events [mya] |
extinction events (t), age corrected [mya] |
| 5 |
66, 201.4, 251.9, 372.2, 445.2 |
61.986, 190.308, 238.041, 352.461, 421.348 |
| 4 |
37.8, 145, 259.8, 306.7, 419.2, 514 |
36.206, 136.774, 245.793, 289.975, 396.744, 486.084 |
| 3 |
11.6, 93.9, 183.7, 228.5, 272.3, 423, 427.4, 485.4, 500.5, 541 |
11.402, 88.465, 173.88, 215.987, 257.12, 400.469, 403.82, 458.929, 473.782, 511.664 |
| 2 |
113.1, 168.3, 330.9 |
107.344, 159.702, 312.804 |
| 1 |
295, 346.7, 393.3, 467.3 |
279.448, 328.357, 372.239, 442.101 |
Table 33.
Correlation of weak evolution periods and mantle layers (or, major extinctions and discontinuities)
Table 33.
Correlation of weak evolution periods and mantle layers (or, major extinctions and discontinuities)
| i |
Period of weak evolution T [My] |
Normalized period of weak evolution T
|
Corresponding mantle layer thickness D [km] |
Normalized layer thickness D
|
| 5 |
421.3 - 352.5 = 68.8 |
0.163 |
780 - 670 = 110 |
0.162 |
| 4 |
352.5 - 245.8 = 106.7 |
0.253 |
670 - 500 = 170 |
0.250 |
| 3 |
245.8 - 190.3 = 55.5 |
0.132 |
500 - 410 = 90 |
0.132 |
| 2 |
190.3 - 62.0 = 128.3 |
0.305 |
410 - 200 = 210 |
0.309 |
| 1 |
62.0 - 0 = 62.0 |
0.147 |
200 - 100 = 100 |
0.147 |
Table 34.
Correlation of weak evolution periods and mantle layers, using uncorrected ages
Table 34.
Correlation of weak evolution periods and mantle layers, using uncorrected ages
| i |
Period of weak evolution T [My] |
Normalized period of weak evolution T
|
Corresponding mantle layer thickness D [km] |
Normalized layer thickness D
|
| 5 |
445.2 - 372.2 = 73.0 |
0.164 |
780 - 670 = 110 |
0.162 |
| 4 |
372.2 - 259.8 = 112.4 |
0.252 |
670 - 500 = 170 |
0.250 |
| 3 |
259.8 - 201.4 = 58.4 |
0.131 |
500 - 410 = 90 |
0.132 |
| 2 |
201.4 - 66.0 = 135.4 |
0.304 |
410 - 200 = 210 |
0.309 |
| 1 |
66.0 - 0 = 66.0 |
0.148 |
200 - 100 = 100 |
0.147 |
Table 35.
Allowed orbitals of the Moon
Table 35.
Allowed orbitals of the Moon
| entanglement |
r (km) |
r (km) |
| Mercury |
57910000 |
100392 |
| Venus |
108210000 |
187591 |
| Earth |
149600000 |
259344 |
| Mars |
227920000 |
395118 |
Table 36.
Correlation of orbital and Schwarzschild radii
Table 36.
Correlation of orbital and Schwarzschild radii
| Planet |
R
|
R
|
Schwarzschild radius r (10 km) |
current orbital radius (10 km) |
orbital radius (MAU) |
| Mars |
R
|
1/2 R
|
228.52 |
227.92 |
1 |
| Earth |
2/3 R
|
1/2 R
|
151.59 |
149.6 |
2/3 |
| Venus |
2/3 R
|
1/5 R
|
107.00 |
108.21 |
1/2 |
| Mercury |
2/5 R
|
1/5 R
|
57.81 |
57.91 |
1/4 |
|
Disclaimer/Publisher’s Note: The statements, opinions and data contained in all publications are solely those of the individual author(s) and contributor(s) and not of MDPI and/or the editor(s). MDPI and/or the editor(s) disclaim responsibility for any injury to people or property resulting from any ideas, methods, instructions or products referred to in the content. |
© 2023 by the authors. Licensee MDPI, Basel, Switzerland. This article is an open access article distributed under the terms and conditions of the Creative Commons Attribution (CC BY) license (http://creativecommons.org/licenses/by/4.0/).