Preprint
Article

This version is not peer-reviewed.

Phylogenetic and Expression Analysis of CENH3 and APOLLO Genes in Sexual and Apomictic Boechera Species

A peer-reviewed article of this preprint also exists.

Submitted:

17 December 2021

Posted:

20 December 2021

You are already at the latest version

Abstract
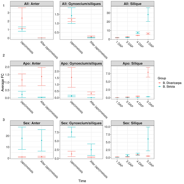
Apomictic plants (reproducing via asexual seeds), unlike sexual individuals, avoid meiosis and egg cell fertilization. Consequently, apomixis is very important for fixing maternal genotypes in the next plant generations. Despite the progress in the study of apomixis, molecular and genetic regulation of the latter remains poorly understood. So far APOLLO (Aspartate Glutamate Aspartate Aspartate histidine exonuclease) is one of the very few described genes associated with apomixis in Boechera species. The centromere-specific histone H3 variant encoded by CENH3 gene is essential for cell division. Mutations in CENH3 disrupt chromosome segregation during mitosis and meiosis since the attachment of spindle microtubules to a mutated form of the CENH3 histone fails. This paper presents in silico characteristic of APOLLO and CENH3 genes, which may affect apomixis. Also, we characterize the structure of CENH3, study expression levels of APOLLO and CENH3 in gynoecium/siliques of the natural diploid apomictic and sexual Boechera species at the stages of before and after fertilization. While CENH3 was a single copy gene in all Boechera species, the APOLLO gene have several polymorphic alleles associated with sexual and apomictic reproduction in the Boechera genera. Expression of the APOLLO apo-allele during meiosis was upregulated in gynoecium of apomict B. divaricarpa downregulating after meiosis until 4th day after pollination (DAP). On the 5th DAP, expression in apomictic siliques increased again. In sexual B. stricta gynoecium and siliques APOLLO apo-allele did not express. Expression of the APOLLO sex-allele during and after meiosis in gynoecium of sexual plants was several times higher than that in apomictic gynoecium. However, after pollination the sex-allele was downregulated in sexual siliques to the level of apomicts and increased sharply on the 5th DAP, while in apomictic siliques it almost did not express. At the meiotic stage, the expression level of CENH3 in the gynoecium of apomicts was two times lower than that of the sexual Boechera, decreasing in both species after meiosis and keep remaining very low in siliques of both species for several days after artificial pollination until the 4th DAP, when the expression level raised in sexual B. stricta siliques exceeding 5 times the level in apomictic B. divaricarpa siliques. We also discuss polymorphism and phylogeny of the APOLLO and CENH3 genes.
Keywords: 
;  ;  ;  ;  ;  ;  
Copyright: This open access article is published under a Creative Commons CC BY 4.0 license, which permit the free download, distribution, and reuse, provided that the author and preprint are cited in any reuse.
Prerpints.org logo

Preprints.org is a free preprint server supported by MDPI in Basel, Switzerland.

Subscribe

Disclaimer

Terms of Use

Privacy Policy

Privacy Settings

© 2026 MDPI (Basel, Switzerland) unless otherwise stated