Preprint
Article

This version is not peer-reviewed.

Iterative Receiver Design for the Estimation of Gaussian Samples in Impulsive Noise

A peer-reviewed article of this preprint also exists.

Submitted:

28 November 2020

Posted:

30 November 2020

You are already at the latest version

Abstract
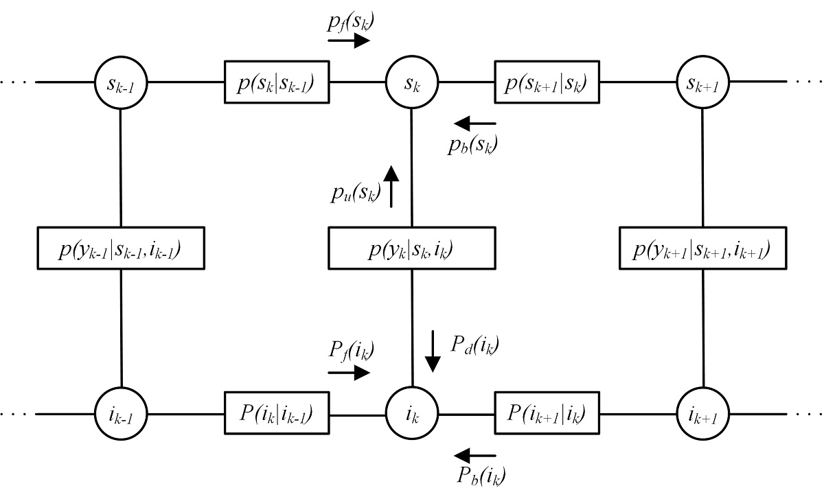
Impulsive noise is the main limiting factor for transmission over channels affected by electromagnetic interference. We study the estimation of (correlated) Gaussian signals in an impulsive noise scenarios. In this work, we analyze some of the existing as well as some novel estimation algorithms. Their performance is compared, for the first time, for different channel conditions, including the Markov-Middleton scenario, where the impulsive noise switches between different noise states. Following a modern approach in digital communications, the receiver design is based on a factor graph model and implements a message passing algorithm. The correlation among signal samples as well as among noise states brings about a loopy factor graph, where an iterative message passing scheme should be employed. As it is well known, approximate variational inference techniques are necessary in these cases. We propose and analyze different algorithms and provide a complete performance comparison among them, showing that both Expectation Propagation, Transparent Propagation, and the Parallel Iterative Schedule approaches reach a performance close to the optimal, at different channel conditions.
Keywords: 
;  ;  
Copyright: This open access article is published under a Creative Commons CC BY 4.0 license, which permit the free download, distribution, and reuse, provided that the author and preprint are cited in any reuse.
Prerpints.org logo

Preprints.org is a free preprint server supported by MDPI in Basel, Switzerland.

Subscribe

Disclaimer

Terms of Use

Privacy Policy

Privacy Settings

© 2026 MDPI (Basel, Switzerland) unless otherwise stated