Preprint
Article

This version is not peer-reviewed.

The Monotonic Rising and Oscillating of Capillary Driven Flow in Circular Cylindrical Tubes

A peer-reviewed article of this preprint also exists.

Submitted:

05 July 2020

Posted:

07 July 2020

You are already at the latest version

Abstract
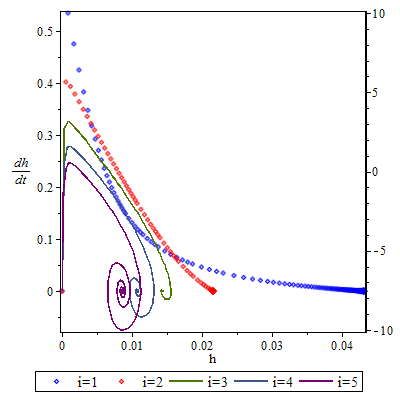
Among the best-known capillarity phenomena is a capillary rise, the understanding of which is essential in fluidics. Some capillary flows rise monotonically whereas others oscillate, but until now no criteria have been formulated for this scenario. In this paper, the Levine's capillary rise modelling is computed numerically, then the critical radius of the capillary tube is formulated by using the dimensional method and data fitting for identification of exponent index. The phase space diagram of capillary velocity versus height is obtained for the first time and shows that the phase transition from oscillating to monotonic rising happens when the phase trajectory decreases exponentially to somewhere other than the "attractor." Two general Maple codes of the problem are provided as an essential part of this paper.
Keywords: 
;  ;  ;  ;  
Copyright: This open access article is published under a Creative Commons CC BY 4.0 license, which permit the free download, distribution, and reuse, provided that the author and preprint are cited in any reuse.
Prerpints.org logo

Preprints.org is a free preprint server supported by MDPI in Basel, Switzerland.

Subscribe

Disclaimer

Terms of Use

Privacy Policy

Privacy Settings

© 2026 MDPI (Basel, Switzerland) unless otherwise stated