Submitted:
02 February 2023
Posted:
02 February 2023
Read the latest preprint version here
Abstract
Keywords:
1. Introduction
- Analytical calculations of many-body interactions. Most theories use a numerical or fitting method; however, these approaches cannot clarify the physical picture in high-Tc cuprates.
- To understand the nature of force to combine a Cooper pair over long distance.
2. Theory
2.1. Introduction of new particle and pseudo-gap relating to new particle
2.1.1. Introduction of a macroscopic Boson
2.1.2. Calculating the mass of a macroscopic Boson
2.1.3. Spin of a macroscopic Boson
2.1.4. Obtain the partition function
2.1.5. Calculate the pseudo-gap energy
2.2. Superconductivity with consideration of many-body interactions
2.2.1. Description of the model and the principle to many-body interaction
2.2.2. Calculate the principal equation of our model and the internal quantum state
2.2.3. Describe BE condensation and the superconducting transition
2.3. Review to obtain the formula for Tc
2.3.1. Derivation of a general energy gap (review)
2.3.2. Generation of an attractive force that combines two carriers (review)
2.3.3. Derivation of Tc (review)
2.4. Calculations for obtaining formulas for T* and T0
2.4.1. Derive the pseudo-gap temperature T *.
2.4.2. Derive the transition temperature T0
2.4.3. Implement the formulation of T0
2.5. Analyze anomaly metal phase
2.5.1. More comprehensive calculation of RH
2.5.2. Calculate the electron specific heat coefficient in the anomaly metal phase
2.5. Summary of the logical flow
- (1)
- First, assuming a macroscopic Boson, which is based on angular momentum conservation on a CuO2 surface, its energy was calculated; the implementation of the integral of the concentration resulted in a pseudo-gap energy. During this process, the two types of partition equations fr were derived.
- (2)
- To handle many-body interactions, a sphere shell with a local temperature Ti and differential particle number dN is introduced. From the forces that are balanced for both inside and outside the shell, a basic statistic equation, inner wave function and eigenvalue in a shell were derived.
- (3)
- The generation principle of attractive force: “The Lorentz force is applied between two charged particles when their relative velocity is 0.” Considering this principle, the abovementioned statistic equation, inner wave function and inner eigenvalue realize the combination of a Cooper pair, and then BE condensation occurs.
- (4)
- Therefore, the superconducting energy gap and Tc were calculated. During this process, a general energy gap is derived.
- (5)
- Combining the general energy gap and the mass of a macroscopic Boson, the pseudo-gap temperature, T*, formula was obtained.
- (6)
- The transition temperature T0 at which anomaly metal phase appears was defined by the appearance of the Hall coefficient RH. Thus, to calculate RH, combining the Boltzmann statistics, particle concentration was implemented using the partition equation fr. Then, the general definition of RH and the concentration produced the equation of RH. Considering the form of this equation, the transition temperature T0 was derived.
- (7)
- Because the resulted T0 has the magnetic moment of a macroscopic Boson u and magnetic field Be, these two factors were formulated. Thus, the T0 formula was implemented.
- (8)
- The abovementioned derived RH equation was approximated, and electron specific heat coefficient γ was calculated. Of note, during this process, the average energy using partition equations fr was obtained.
3. Methods
3.1. Calculation tool
3.2. Physical constants for calculations
3.3. Resulted equations
3.3.1. Critical temperature
3.3.2. How to determine ni and ρs
- 1)
- Avogadro constant
- 2)
- 1[L] =
3.3.3. Pseudo-gap temperature and transition temperature at which an anomaly metal phase occurs
3.3.4. Physical results of the anomalous metal phase
3.3.5. Results of the many-body interaction model
4. Results
5. Discussion
5.1. Macroscopic Boson and high-Tc cuprates
5.2. Anomaly metal phase and transition temperature T0
5.3. Highlights of the process for the materials to undergo superconductivity
5.4. The reason why high-Tc cuprates have significantly high critical temperature
- 1)
- It causes the anomaly metal phase in high-Tc cuprates.
- 2)
- Irregular many-body interactions are caused by it, which results in a high critical temperature higher than LN2.
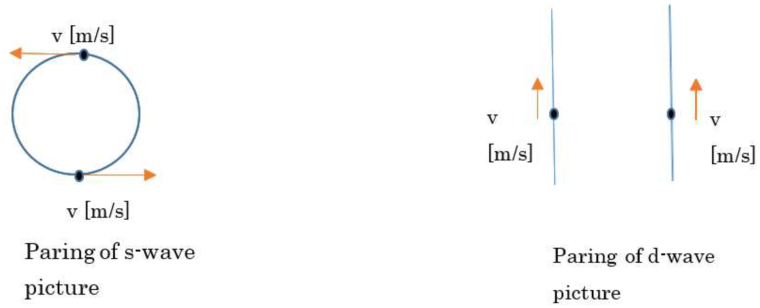
5.5. Image of Cooper paring of two holes when
5.6. Consideration of significances in this paper
- 1)
- It clarified why high-Tc cuprates have actual high critical temperature higher than LN2.
- 2)
- It demonstrated that all puzzles, including the properties of anomaly metal phase reported in previous articles, have been attributed to the presence of a macroscopic Boson.
- 1)
- The analytical and physical understanding of high-Tc cuprates described in this study will promote the search for and synthesis of new materials exhibiting higher critical temperature near room temperature than standard materials at any given pressure.
- 2)
- >2) All fields of condensed matter physics rely on statistical methods. Therefore, pure analytical (not numerical) approaches can be applied to many-body interactions. Our model that handles many-body interactions will provide new results to unsolved problems in condensed matter physics. For example, the analysis of many-body interactions of magnetic quanta would solve the primary problems of physics and superconducting technologies such as analytical formulation of critical current density.
6. Conclusion
- 1)
- It has uncovered the source of mysteries in high-Tc cuprates, i.e., the presence of a macroscopic Boson.
- 2)
- It has succeeded in describing the anomaly metal phase with a pure theory, which has no fitting or numerical calculations and which agrees with experiments.
- 3)
- It has established a new model to handle general many-body interactions; using this model, this study has clarified why high-Tc cuprates have considerably high critical temperatures.
Acknowledgments
Appendix
Analytical calculations of Curie temperatures considering many-body interactions
S1. Introduction
S2. Predictions of Curie temperature using our employed model to handle many-body interactions

| Debye temperature | 470 K |
| Electron specific heat coefficient γ | J/K2 |
References
- Ishiguri, S., New attractive-force concept for Cooper pairs and theoretical evaluation of critical temperature and critical-current density in high-temperature superconductors, Results in Physics, 3, 74-79 (2013).
- Bednorz, J.G. and Müller, K.A., Possible high Tc superconductivity in the Ba-La-Cu-O system, Zeitschrift für Physik B. 64, 189–193 (1986).
- Yamaguchi, M. et al., A study on performance improvements of HTS coil, IEEE Trans.Appl. Supercond. 13 (2), 1848–1851 (2003).
- Pitel, J. and Kovac, P., Compensation of the radial magnetic field component of solenoids wound with anisotropic Bi(2223)Ag tape, Supercond. Sci. Technol 10 847 (1997).
- Ishiguri, S. and Funamoto,T., Performance improvement of a high-temperature superconducting coil by separating and grading the coil edge, Physica C 471, 333–337 (2011). 2011.
- Somayazulu,M. et al, Evidence for Superconductivity above 260 K in Lanthanum Superhydride at Megabar Pressures, Phys. Rev. Lett. 122, 027001 (2019).
- Pickett, W.E., Pseudopotential methods in condensed matter applications, Rev. Mod. Phys. 61, 433 (1989).
- Mukuda, H. et al, Uniform Mixing of High-Tc Superconductivity and Antiferromagnetism on a Single CuO2 Plane of a Hg-Based Five-Layered Cuprate, Phys. Rev. Lett., 96 087001 (2006).
- Basov, D.N. and Timusk, T., Electrodynamics of high-Tc superconductors, Rev Mod. Phys., 77, 721 (2005).
- Tacon, M. Le. et al, Two energy scales and two distinct quasiparticle dynamics in the superconducting state of underdoped cuprates, Nature Physics, 2, 537 (2006).
- Tanaka, K. et al, Distinct Fermi-Momentum-Dependent Energy Gaps in Deeply Underdoped Bi2212, Science, 314, 1910 (2006).
- Uchida, S. High-Tc cuprates, Japanese Applied Physics (institute journal), 80(5), 383-386 (2013).
- Fujita, T. High-Tc cuprates, J. Cryogenics and Superconducting Societies of Japan, 47,(2), 89-95 (2012).
- Fischer, Ø. et al, Scanning tunneling spectroscopy of high-temperature superconductors, Rev. Mod. Phys. 79, 353 (2007).
- Anderson, P. W. et al, The physics behind high-temperature superconducting cuprates: the 'plain vanilla' version of RVB, J. Phys.: Condens. Matter, 16(24), R755 (2004).
- Ogata, M. and Fukuyama, H., The t–J model for the oxide high-Tc superconductors, Rep. Prog. Phys., 71, (2008).
- Scalapino, D.J., The case for dx2−y2 paring in the Cuprate superconductors, Phys. Rep., 250, 329 (1995).
- Moriya, T. and Ueda, K., Spin fluctuations and high temperature superconductivity, Advances in Physics., 49, 555 (2000).
- Luetkens, H. et al, The electronic phase diagram of the LaO1−xFxFeAs superconductor, Nature material, 8, 305-309 (2009).
- Dagotto, E., Correlated electrons in high-temperature superconductors, Rev. Mod. Phys. 66, 763 (1994).
- Lanzara, A. et al, Evidence for ubiquitous strong electron–phonon coupling in high-temperature superconductors, Nature 412, 510–514 (2001).
- Pan, S. H. et al, Imaging the effects of individual zinc impurity atoms on superconductivity in Bi2Sr2CaCu2O8+δ, Nature 403, 746–750 (2000).
- Fauqué, B. et al, Magnetic Order in the Pseudogap Phase of High-Tc Superconductors, Phys. Rev. Lett. 96, 197001 (2006).
- Nomura, S. Introduction of Quantum Mechanics, 105-106, (Corona Publishing co.,LTD, Tokyo 2002).
- Norman, M. R., et al, Destruction of the Fermi surface in underdoped high-Tc superconductors, Nature 392,157–160 (1998).
- Chakravarty,S., et al, Interlayer Tunneling and Gap Anisotropy in High-Temperature Superconductors, Science 261(5119),337-340 (1993).
- Kohsaka Y. et al, An Intrinsic Bond-Centered Electronic Glass with Unidirectional Domains in Underdoped Cuprates, Science 315 (5817),1380-1385 (2007).
- Sato, M., Anomaly properties of high-Tc cuprates, Research on condensed matter physics, 72(4), 431-435 (1999).
- Loram, J. W. et al, A systematic study of the specific heat anomaly in La2-xSrxCuO4. Physica C 162-164, 498 (1989).
- Momono, N. et al, Low-temperature electronic specific heat of La2−xSrxCuO4 and La2−xSrxCu1−yZnyO4. Evidence for a d wave superconductor, Physica C 233, 395 (1994).
- Kittel,C., Introduction to Solid State Physics (Japanese 8th-edition), Appendix I, (Maruzen Tokyo 2010).
- Aharonov, Y. and Bohm, D., Significance of Electromagnetic Potentials in the Quantum Theory, Phys. Rev. 115, 485 (1959).
- H. Ezawa, Quantum Mechanics (I), pp.172-173, Shokabo, Tokyo, (2002).
- P.W. Anderson, “Basic Notions of Condensed Matter Physics” (The Benjamin Cummings, 1984).
- H.E. Stanley, “Introduction of Phase transitions and Critical phenomena” (Oxford Univ Press, 1997).
- R. Shankar, Rev. Mod. Phys. 66, 129 (1994).
- P.C. Hohenberg, Phys. Rev. 158, 383 (1967).
- J.M. Kosterlitz and D.J. Thouless, J. Phys. C, 6, 1181 (1973).
- J. Solyom, Adv. Phys. 28, 201 (1979).
- H. Ishihara, “Semiconductor Electronics”, p.16, Iwanami Shoten, Tokyo (2002).















| 113.5 K | |
|---|---|
| Coherence ξ | 1 nm |
| Band gap EG | J |
| The number of layer nq | 3 |
| Debye temperature | 113.5 K |
| Coherence ξ | 1 nm |
| Band gap EG | J |
| The number of layer nq | 3 |
| Boltzmann constant kB | |
| Magnetic permeability in vacuum μ0 | |
| Electron mass m | kg |
| Electric charge of an electron e or q | |
| Radius of a macroscopic Boson η | |
| Planck constant 1 h | |
| Planck constant 2 ħ | |
| Fine structure constant α | |
| Avogadro constant | |
| Permittivity in vacuum ε0 | |
| Universal gas constant R | 8.31 |
Disclaimer/Publisher’s Note: The statements, opinions and data contained in all publications are solely those of the individual author(s) and contributor(s) and not of MDPI and/or the editor(s). MDPI and/or the editor(s) disclaim responsibility for any injury to people or property resulting from any ideas, methods, instructions or products referred to in the content. |
© 2023 by the authors. Licensee MDPI, Basel, Switzerland. This article is an open access article distributed under the terms and conditions of the Creative Commons Attribution (CC BY) license (http://creativecommons.org/licenses/by/4.0/).