Preprint
Article

This version is not peer-reviewed.

Equation of State of Four- and Five-Dimensional Hard-Hypersphere Mixtures

A peer-reviewed article of this preprint also exists.

Submitted:

24 March 2020

Posted:

25 March 2020

You are already at the latest version

Abstract
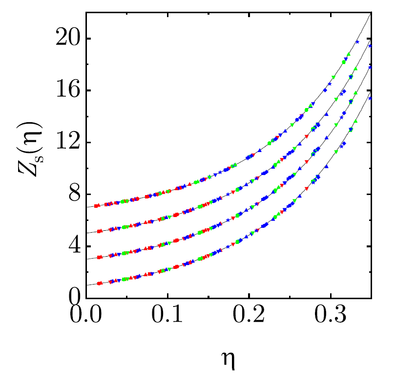
New proposals for the equation of state of four- and five-dimensional hard-hypersphere mixtures in terms of the equation of state of the corresponding monocomponent hard-hypersphere fluid are introduced. Such proposals (which are constructed in such a way so as to yield the exact third virial coefficient) extend, on the one hand, recent similar formulations for hard-disk and (three-dimensional) hard-sphere mixtures and, on the other hand, two of our previous proposals also linking the mixture equation of state and the one of the monocomponent fluid but unable to reproduce the exact third virial coefficient. The old and new proposals are tested by comparison with published molecular dynamics and Monte Carlo simulation results and their relative merit is evaluated.
Keywords: 
;  ;  
Copyright: This open access article is published under a Creative Commons CC BY 4.0 license, which permit the free download, distribution, and reuse, provided that the author and preprint are cited in any reuse.
Prerpints.org logo

Preprints.org is a free preprint server supported by MDPI in Basel, Switzerland.

Subscribe

Disclaimer

Terms of Use

Privacy Policy

Privacy Settings

© 2026 MDPI (Basel, Switzerland) unless otherwise stated