Preprint
Article

This version is not peer-reviewed.

Synthesis of Reusable Silica Nanosphere-Supported Pt(IV) Complex for Formation of Disulfide Bonds in Peptides

A peer-reviewed article of this preprint also exists.

Submitted:

12 December 2016

Posted:

12 December 2016

You are already at the latest version

Abstract
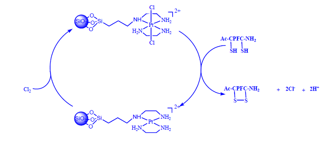
Some peptide-based drugs including oxytocin, vasopressin, ziconotide, pramlintide, nesiritide, and octreotide, contain one intramolecular disulfide bonds. A novel and reusable monodispersed silica nanosphere-supported Pt(IV) complex (SiO2@TPEA@Pt(IV)) was synthesized via a four-step procedure and used for formation of intramolecular disulfide bonds in peptides. TEM and chemical mapping results for the Pt(II) intermediates and for SiO2@TPEA@Pt(IV) show that the silica nanospheres possess a monodisperse spherical structure and contain uniformly distributed Si, O, C, N, Cl, and Pt. The valence state of Pt on the silica nanospheres was characterized by XPS. The Pt(IV) loaded on SiO2@TPEA@Pt(IV) was 0.15 mmol/g, as determined by UV-vis spectrometry. Formation of intramolecular disulfides in six dithiol-containing peptides of variable lengths by use of SiO2@TPEA@Pt(IV) was investigated and the relative oxidation yields were determined by HPLC. In addition, peptide 1 (Ac-CPFC-NH2) was utilized to study the reusability of SiO2@TPEA@Pt(IV). No significant decrease in the relative oxidation yield was observed after ten reaction cycles. Moreover, the structure of SiO2@TPEA@Pt(IV) after being used ten cycles was determined to be similar to its initial one, demonstrating the cycling stability of the complex.
Keywords: 
;  ;  ;  ;  
Copyright: This open access article is published under a Creative Commons CC BY 4.0 license, which permit the free download, distribution, and reuse, provided that the author and preprint are cited in any reuse.
Prerpints.org logo

Preprints.org is a free preprint server supported by MDPI in Basel, Switzerland.

Subscribe

Disclaimer

Terms of Use

Privacy Policy

Privacy Settings

© 2026 MDPI (Basel, Switzerland) unless otherwise stated