Submitted:
24 April 2026
Posted:
27 April 2026
You are already at the latest version
Abstract
Keywords:
1. Introduction
2. Materials and Methods
2.1. Observation Site, Instrument, and Measurement
2.2. Radar Wind Profiler Data Quality Control
2.3. Definition of LLJ
3. Results
3.1. Radar Wind Profiler Performance Evaluation
3.2. Vertical Distribution Characteristics of the Atmospheric Wind Field
3.3. Diurnal Variation Characteristics of Atmospheric Wind Fields
3.4. Analysis of LLJ Characteristics
4. Discussion
5. Conclusions
- (1)
- The effective detection height of the RWP reaches 7.4 km throughout the year. The monthly data acquisition rate is highest in October (98.7%) and lowest in August (90.1%). Compared with radiosonde data, the RWP shows better consistency in summer and autumn. Despite seasonal differences, the horizontal wind speeds from the RWP and radiosonde data exhibit good consistency in the middle and lower troposphere (0-6 km) throughout the year.
- (2)
- The mean wind speed of the entire atmospheric layer is highest in winter, followed by spring and autumn, and lowest in summer. The mean wind speed in all four seasons increases with height, with the highest vertical gradient occurring in winter. In the lower troposphere (0-2 km), the prevailing wind directions are north-northeasterly and northeasterly; in the middle layer (2-5 km), southerly and southwesterly winds dominate; and in the upper layer (5-8 km), westerly winds prevail. Horizontal wind speed increases slowly with height below 3 km and accelerates significantly above 3 km.
- (3)
- The wind field in the middle and lower troposphere exhibits pronounced diurnal and seasonal variations. Within the atmospheric boundary layer (below 1 km), the wind field shows a distinct diurnal variation: easterly winds dominate during the daytime afternoon (12:00–17:00), shifting to northerly winds at night. The peak surface wind speed occurs in the afternoon, while the peak upper-level wind speed occurs at night. The prevailing wind direction in the lower layer is mainly influenced by mountain-valley breezes, with increasing altitude, the westerly belt gradually becomes the dominant wind system, with the most significant influence of the westerly belt occurring in winter.
- (4)
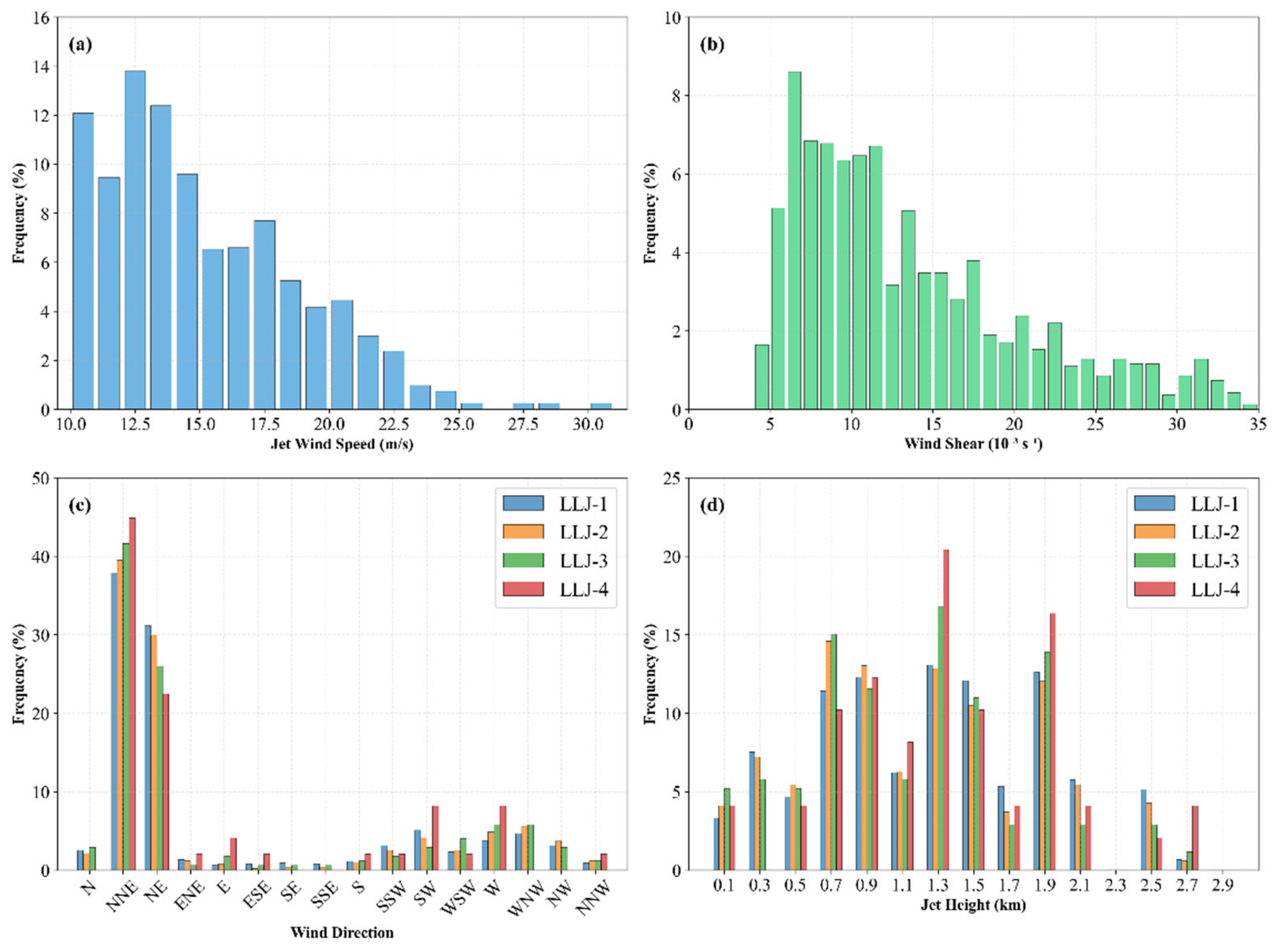
- The occurrence frequency of LLJs is highest in July, followed by April. From a seasonal perspective, the occurrence frequency of LLJs is highest in summer, followed by spring and autumn, and lowest in winter. The wind speeds of LLJs are mostly below 18 m/s. The dominant wind direction of LLJs is northeast in spring and winter, and north-northeast in summer and autumn. The jet height distribution is relatively dispersed, mainly ranging from 0.7 to 1.9 km. Both the frequency and intensity of LLJs exhibit clear diurnal variations, with higher values at night than during the day.
Author Contributions
Funding
Data Availability Statement
Acknowledgments
Conflicts of Interest
Abbreviations
| LLJ | Low-Level Jet |
| RWP | Wind Profiler Radar |
| DAR | Data Acquisition Rate |
| AGL | Above the Ground Level |
| HWS | Horizontal Wind Speed |
| HWD | Horizontal Wind Direction |
| VWS | Vertical Wind Speed |
References
- Liu, B.; Guo, J.; Gong, W.; Shi, Y.; Jin, S. Boundary layer height as estimated from Radar wind profilers in four cities in China: Relative contributions from aerosols and surface features. Remote Sens. 2020, 12, 1657. [Google Scholar]
- Guo, J.; Liu, B.; Gong, W.; Shi, L.; Zhang, Y.; Ma, Y.; Zhang, J.; Chen, T.; Bai, K.; Stoffelen, A. First comparison of wind observations from ESA's satellite mission Aeolus and ground-based radar wind profiler network of China. Atmos. Chem. Phys. 2021, 21, 2945–2958. [Google Scholar]
- Huang, J.; Ma, J.; Guan, X.; Li, Y.; He, Y. Progress in semi-arid climate change studies in China. Adv. Atmos. Sci. 2019, 36, 922–937. [Google Scholar]
- Huang, X.; Ding, A.; Gao, J.; Zheng, B.; Zhou, D.; Qi, X.; Tang, R.; Wang, J.; Ren, C.; Nie, W. Enhanced secondary pollution offset reduction of primary emissions during COVID-19 lockdown in China. Natl. Sci. Rev. 2021, 8, nwaa137. [Google Scholar]
- Stettner, D.; Velden, C.; Rabin, R.; Wanzong, S.; Daniels, J.; Bresky, W. Development of enhanced vortex-scale atmospheric motion vectors for hurricane applications. Remote Sens. 2019, 11, 1981. [Google Scholar]
- Yang, Y.; Fan, S.; Wang, L.; Gao, Z.; Zhang, Y.; Zou, H.; Miao, S.; Li, Y.; Huang, M.; Yim, S.H.L. Diurnal evolution of the wintertime boundary layer in urban Beijing, China: Insights from Doppler Lidar and a 325-m meteorological tower. Remote Sens. 2020, 12, 3935. [Google Scholar]
- Wei, W.; Zhang, H.; Zhang, X.; Che, H. Low-level jets and their implications on air pollution: A review. Front. Environ. Sci. 2023, 10, 1082623. [Google Scholar] [CrossRef]
- Smith, E.N.; Gebauer, J.G.; Klein, P.M.; Fedorovich, E.; Gibbs, J.A. The Great Plains low-level jet during PECAN: Observed and simulated characteristics. Mon. Weather Rev. 2019, 147, 1845–1869. [Google Scholar] [CrossRef]
- King, J.A.; Engelstaedter, S.; Washington, R.; Munday, C. Variability of the Turkana low-level jet in reanalysis and models: Implications for rainfall. J. Geophys. Res. Atmos. 2021, 126, e2020JD034154. [Google Scholar] [CrossRef]
- Sánchez, M.P.; Pereira de Oliveira, A.; Varona, R.P.; Tito, J.V.; Codato, G.; Ynoue, R.Y.; Ribeiro, F.N.D.; Marques Filho, E.P.; da Silveira, L.C. Observational Investigation of the Low-Level Jets in the Metropolitan Region of São Paulo, Brazil. Earth Space Sci. 2022, 9, e2021EA002190. [Google Scholar] [CrossRef]
- Ma, X.; Li, Y.; Li, Z.; Huo, F. Investigation of the characteristics of low-level jets over North America in a convection-permitting Weather Research and Forecasting simulation. Atmos. Chem. Phys. 2024, 24, 12013–12030. [Google Scholar] [CrossRef]
- Bonner, W.D. Climatology of the low level jet. Mon. Weather Rev. 1968, 96, 833–850. [Google Scholar] [CrossRef]
- Ding, J.; Ren, Y.; Zhang, H.; Chang, H.; Hu, Z.; Liang, J.; Zhang, K.; Wang, S.; Cao, X.; Tian, P. Mechanism of turbulence structure evolution in the nocturnal boundary layer during the interaction of low-level jet and internal gravity waves: Based on full boundary layer turbulence observations. J. Geophys. Res. Atmos. 2025, 130, e2024JD042106. [Google Scholar]
- Du, Y.; Chen, G. Climatology of low-level jets and their impact on rainfall over southern China during the early-summer rainy season. J. Clim. 2019, 32, 8813–8833. [Google Scholar]
- Wei, W.; Zhang, H.; Wu, B.; Huang, Y.; Cai, X.; Song, Y.; Li, J. Intermittent turbulence contributes to vertical dispersion of PM 2.5 in the North China Plain: cases from Tianjin. Atmos. Chem. Phys. 2018, 18, 12953–12967. [Google Scholar] [CrossRef]
- Hu, X.-M.; Klein, P.M.; Xue, M.; Zhang, F.; Doughty, D.C.; Forkel, R.; Joseph, E.; Fuentes, J.D. Impact of the vertical mixing induced by low-level jets on boundary layer ozone concentration. Atmos. Environ. 2013, 70, 123–130. [Google Scholar]
- Céspedes, J.; Kotthaus, S.; Preissler, J.; Toupoint, C.; Thobois, L.; Drouin, M.-A.; Dupont, J.-C.; Faucheux, A.; Haeffelin, M. The Paris low-level jet during PANAME 2022 and its impact on the summertime urban heat island. Atmos. Chem. Phys. 2024, 24, 11477–11496. [Google Scholar]
- Zhang, X.; Luo, Y.; Du, Y. Observation of boundary-layer jets in the northern South China Sea by a research vessel. Remote Sens. 2024, 16, 3872. [Google Scholar] [CrossRef]
- Han, Z.; Ge, J.; Chen, X.; Hu, X.; Yang, X.; Du, J. Dust activities induced by nocturnal low-level jet over the Taklimakan desert from WRF-Chem simulation. J. Geophys. Res. Atmos. 2022, 127, e2021JD036114. [Google Scholar] [CrossRef]
- Lin, Y.; Wang, C.; Yan, J.; Li, J.; He, S. Observation and simulation of low-level jet impacts on 3D urban heat islands in Beijing: A case study. J. Atmos. Sci. 2022, 79, 2059–2073. [Google Scholar] [CrossRef]
- Chen, Y.; Tu, C.; Hsiao, F.; Chen, C.; Lin, P.; Lin, P. An overview of low-level jets (LLJs) and their roles in heavy rainfall over the Taiwan area during the early summer rainy season. Meteorology 2022, 1, 64–112. [Google Scholar] [CrossRef]
- Blackadar, A.K. Boundary layer wind maxima and their significance for the growth of nocturnal inversions. Bull. Am. Meteorol. Soc. 1957, 38, 283–290. [Google Scholar] [CrossRef]
- Zheng, J.; Liu, Y.; Peng, T.; Wan, X.; Huang, X.; Wang, Y.; Che, Y.; Xu, D. Investigating wind characteristics and temporal variations in the lower troposphere over the northeastern Qinghai–Tibet Plateau using a Doppler LiDAR. Remote Sens. 2024, 16, 1840. [Google Scholar] [CrossRef]
- Zong, L.; Yang, Y.; Xia, H.; Yuan, J.; Guo, M. Elucidating the impacts of various atmospheric ventilation conditions on local and transboundary ozone pollution patterns: a case study of Beijing, China. J. Geophys. Res. Atmos. 2023, 128, e2023JD039141. [Google Scholar] [CrossRef]
- Wei, T.; Wang, M.; Wu, K.; Yuan, J.; Xia, H.; Lolli, S. Characterizing urban planetary boundary layer dynamics using 3-year Doppler wind lidar measurements in a western Yangtze River Delta city, China. Atmos. Meas. Tech. 2025, 18, 1841–1857. [Google Scholar] [CrossRef]
- Zhou, X.; Zhang, C.; Li, Y.; Chen, Z.; Zhang, J.; Ding, X. Wind gust parameters in the lower troposphere based on Doppler Lidar data. J. Geophys. Res. Atmos. 2023, 128, e2022JD038156. [Google Scholar] [CrossRef]
- Rubio, H.; Kühn, M.; Gottschall, J. Evaluation of low-level jets in the southern Baltic Sea: a comparison between ship-based lidar observational data and numerical models. Wind Energy Sci. Discuss. 2022, 2022, 1–29. [Google Scholar] [CrossRef]
- Li, X.; Du, Y. Statistical relationships between two types of heavy rainfall and low-level jets in South China. J. Clim. 2021, 34, 8549–8566. [Google Scholar] [CrossRef]
- Sun, X.; Zhou, Y.; Zhao, T.; Bai, Y.; Huo, T.; Leng, L.; He, H.; Sun, J. Effect of vertical wind shear on PM2. 5 changes over a receptor region in Central China. Remote Sens. 2022, 14, 3333. [Google Scholar]
- Yan, Y.; Cai, X.; Wang, X.; Miao, Y.; Song, Y. Low-level jet climatology of China derived from long-term radiosonde observations. J. Geophys. Res. Atmos. 2021, 126, e2021JD035323. [Google Scholar] [CrossRef]
- Dolman, B.K.; Reid, I.M.; Tingwell, C. Stratospheric tropospheric wind profiling radars in the Australian network. Earth Plan. Space 2018, 70, 170. [Google Scholar] [CrossRef]
- Liu, B.; Ma, Y.; Guo, J.; Gong, W.; Zhang, Y.; Mao, F.; Li, J.; Guo, X.; Shi, Y. Boundary layer heights as derived from ground-based radar wind profiler in Beijing. IEEE Trans. Geosci. Remote Sens. 2019, 57, 8095–8104. [Google Scholar] [CrossRef]
- Ishihara, M.; Kato, Y.; Abo, T.; Kobayashi, K.; Izumikawa, Y. Characteristics and performance of the operational wind profiler network of the Japan Meteorological Agency. J. Meteorol. Soc. Jpn. Ser. II 2006, 84, 1085–1096. [Google Scholar] [CrossRef]
- Liu, B.; Guo, J.; Gong, W.; Shi, L.; Zhang, Y.; Ma, Y. Characteristics and performance of wind profiles as observed by the radar wind profiler network of China. Atmos. Meas. Tech. 2020, 13, 4589–4600. [Google Scholar] [CrossRef]
- Wei, W.; Wu, B.; Ye, X.; Wang, H.; Zhang, H. Characteristics and mechanisms of low-level jets in the Yangtze River Delta of China. Bound.-Layer. Meteorol. 2013, 149, 403–424. [Google Scholar] [CrossRef]
- Deng, X.; He, D.; Zhang, G.; Zhu, S.; Dai, R.; Jin, X.; Fu, W.; Shen, W.; Chen, J.; Fan, Y. Comparison of horizontal wind observed by wind profiler radars with ERA5 reanalysis data in Anhui, China. Theor. Appl. Climatol. 2022, 150, 1745–1760. [Google Scholar] [CrossRef]
- Solanki, R.; Guo, J.; Lv, Y.; Zhang, J.; Wu, J.; Tong, B.; Li, J. Elucidating the atmospheric boundary layer turbulence by combining UHF radar wind profiler and radiosonde measurements over urban area of Beijing. Urban Clim. 2022, 43, 101151. [Google Scholar] [CrossRef]
- Li, N.; Guo, J.; Wu, M.; Zhang, F.; Guo, X.; Sun, Y.; Zhang, Z.; Liang, H.; Chen, T. Low-level jet and its effect on the onset of summertime nocturnal rainfall in Beijing. Geophys. Res. Lett. 2024, 51, e2024GL110840. [Google Scholar] [CrossRef]
- Wei, W.; Zhang, H.; Ye, X. Comparison of low-level jets along the north coast of China in summer. J. Geophys. Res. Atmos. 2014, 119, 9692–9706. [Google Scholar] [CrossRef]
- Miao, Y.; Guo, J.; Liu, S.; Wei, W.; Zhang, G.; Lin, Y.; Zhai, P. The climatology of low-level jet in Beijing and Guangzhou, China. J. Geophys. Res. Atmos. 2018, 123, 2816–2830. [Google Scholar] [CrossRef]
- YANG, K.; GAO, Z.; GAO, B.; Xiao, T.; YANG, G. Spatiotemporal Distribution Characteristics Research of Wind Field and Wind Shear on the East Coast of Erhai Lake in the Southeast Edge of Hengduan Mountain Area. Plateau Meteorol. 2025, 44, 462–474. [Google Scholar]
- Li, N.; Guo, J.; Guo, X.; Chen, T.; Zhang, Z.; Tang, N.; Wang, Y.; Yang, H.; Zheng, Y.; Zhou, Y. On the nationwide variability of low-level jets prior to warm-season nocturnal rainfall in China revealed by radar wind profilers. Atmos. Chem. Phys. 2026, 26, 3339–3356. [Google Scholar] [CrossRef]
- WANG, J.; ZHANG, Q.; ZHANG, T.; LONG, K.; SHI, R. Low-level Wind Field Characteristic Observed by Wind Profile Radar During Two Rainstorm Processes in Chengdu. J. Arid Meteorol. 2021, 39, 87–95. [Google Scholar]
- Zhang, H.; Zhou, Y.; Lai, Z.; Deng, G. Overshooting convection and torrential precipitation associated with the mesoscale northerly low-level jets in the Sichuan Basin, China. Atmos. Res. 2024, 310, 107604. [Google Scholar] [CrossRef]
- HU, D.; XIE, X.; CHEN, C.; Zhou, Q. Wind Field Characteristics of Heavy Precipitation Process in Western Sichuan Basin Based on Wind Profiler Radar Data. Plateau Meteorol. 2025, 44, 240–252. [Google Scholar]
- Xiong, J.; Li, J.; Gao, F.; Zhang, Y. City wind impact on air pollution control for urban planning with different time-scale considerations: A case study in Chengdu, China. Atmosphere 2023, 14, 1068. [Google Scholar] [CrossRef]
- Lei, Y.; Wu, K.; Zhang, X.; Kang, P.; Du, Y.; Yang, F.; Fan, J.; Hou, J. Role of meteorology-driven regional transport on O3 pollution over the Chengdu Plain, southwestern China. Atmos. Res. 2023, 285, 106619. [Google Scholar] [CrossRef]
- Cao, Y.; Zhao, X.; Su, D.; Cheng, X. Analysis of Regional Differences in Boundary Layer Horizontal Wind Fields in the Transition Zone Between Mountains and Plains in Western Chengdu. Meteorol. Sci. Technol. 2024, 52, 743–752. [Google Scholar]
- Zhu, L. Preliminary Quality Analysis of Horizontal Wind Products from Wind Profiler Radar for Data Assimilation. METOROLOGICA Mon. 2015, 41, 1494–1502. [Google Scholar]
- WANG, Y.; ZHANG, W.; ZHAO, Y. Analysis of Wind Characteristics of Wind-Profiler Radars and Their Quality Control Methods for Data Assimilation. Chin. J. Atmos. Sci. 2021, 45, 123−147. [Google Scholar]
- Yao, H.; Li, D. Spatial structure of East Asia subtropical jet stream and its relation with winter air temperature in China. Chin. J. Atmos. Sci. (in Chinese). 2013, 37, 881–890. [Google Scholar]
- Mirza, A.K.; Dacre, H.F.; Lo, C.H.B. A case study analysis of the impact of a new free tropospheric turbulence scheme on the dispersion of an atmospheric tracer. Q. J. R. Meteorol. Soc. 2024, 150, 1907–1925. [Google Scholar] [CrossRef]











| parameters | Technical Performance Indicators |
|---|---|
| Radar System | Fully Coherent Pulse Doppler System |
| Operating Frequency | 1290MHz |
| Maximum Detection Altitude | ≥3km |
| Minimum Detection Altitude | ≤100m |
| Measurement Performance | Wind Speed Measurement Range: 0–60 m/s; Wind Direction Measurement Range: 0–360° |
Disclaimer/Publisher’s Note: The statements, opinions and data contained in all publications are solely those of the individual author(s) and contributor(s) and not of MDPI and/or the editor(s). MDPI and/or the editor(s) disclaim responsibility for any injury to people or property resulting from any ideas, methods, instructions or products referred to in the content. |
© 2026 by the authors. Licensee MDPI, Basel, Switzerland. This article is an open access article distributed under the terms and conditions of the Creative Commons Attribution (CC BY) license (http://creativecommons.org/licenses/by/4.0/).