Preprint
Article

This version is not peer-reviewed.

Ground Referencing Night Time Light Imagery—How Critical Is It to Conduct the Measurements at the Same Time the Image Is Acquired?

Submitted:

24 April 2026

Posted:

24 April 2026

You are already at the latest version

Abstract
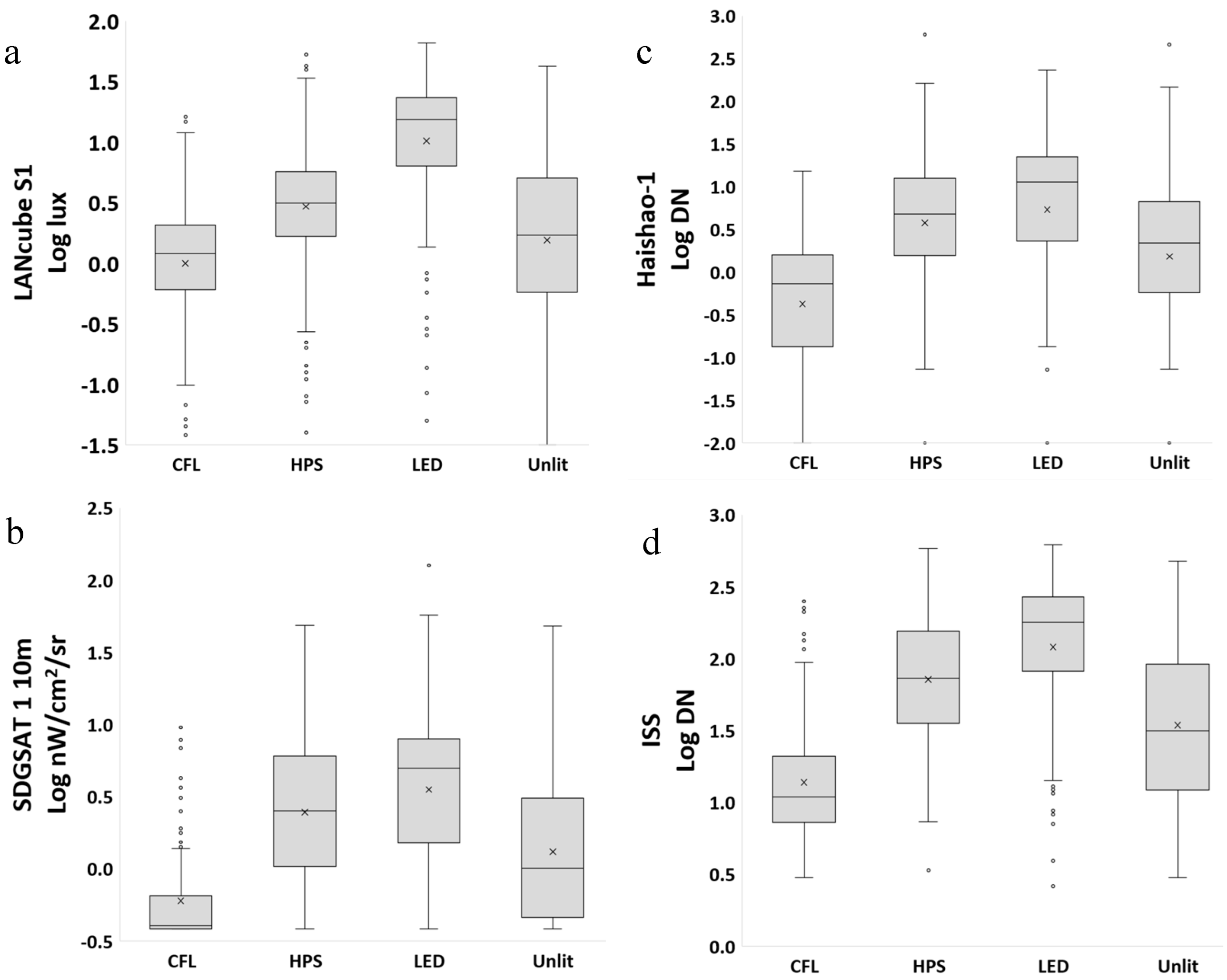
With the increasing availability of high-resolution (< 50m) space borne night time light imagery, it is now becoming more feasible to examine the correspondence between space borne and ground based measurements of night lights. However, so far there were very few studies that conducted a ground-based campaign of night time brightness measurements during the overpass of a night light sensitive satellite. Here we tested whether the correspondence between measurements is higher when ground-based are conducted at the same time of the satellite overpass. We conducted measurements using a LANcube photometer along the same route in two consecutive nights (27-28 Aug 2025) in Brisbane, Australia, and compared them with a SDGSAT-1 (10-40m) and Haishao-1 (10m) images acquired concurrently at the evening, and with an early morning ISS photo (8m) acquired three months earlier. We found the correlation between ground based and space-borne measurements was not higher for simultaneous measurements, and the explanatory power of our model predicting night time brightness as measured from space increased when including horizontal and upwards ground-based brightness measurements along-side variables of canopy height, land use and road hierarchy. We confirmed the importance of multi-directional ground measurements and urban structure for understanding night-time brightness levels measured from space.
Keywords: 
;  ;  ;  ;  ;  
Copyright: This open access article is published under a Creative Commons CC BY 4.0 license, which permit the free download, distribution, and reuse, provided that the author and preprint are cited in any reuse.
Prerpints.org logo

Preprints.org is a free preprint server supported by MDPI in Basel, Switzerland.

Subscribe

Disclaimer

Terms of Use

Privacy Policy

Privacy Settings

© 2026 MDPI (Basel, Switzerland) unless otherwise stated