Preprint
Article

This version is not peer-reviewed.

Quantification of Opercular Pigmentation Changes in Farmed Atlantic Salmon: A Novel Application for Computer Vision in Fish Welfare Assessment

Submitted:

09 April 2026

Posted:

15 April 2026

You are already at the latest version

Abstract
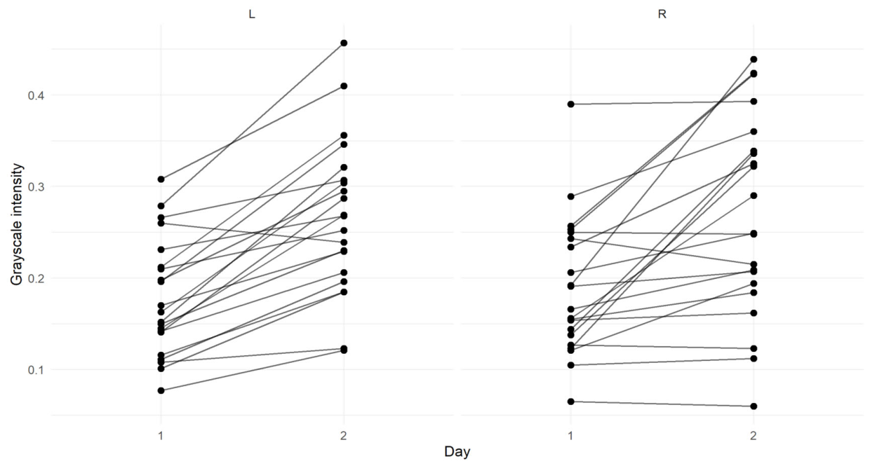
Intensive salmon farming is associated with high mortality rates, highlighting the need for new welfare indicators that can detect adverse conditions earlier and less invasively than many current approaches. Existing animal-based indicators used in the industry typically depend on subjective scoring and provide information mostly after welfare problems have already developed, such as emaciation, wounds, or scale loss. Preliminary data and ongoing investigation suggest that melanin-based skin pigmentation may change dynamically with stress and condition in salmonid fishes. In this study, we present a semi-automated methodology for assessing changes in the grayscale intensity of melanin-based skin spots within the operculum region of adult Atlantic salmon (Salmo salar) kept in sea water. The pipeline combines computer vision models to detect the operculum, segment individual spots, and extract grayscale-based features for spot-level analysis over time. The method was applied to out-of-water images collected before and after exposure to a confinement episode. The results showed an overall shift in grayscale intensity from black to pigmentation fading after the challenge, although responses varied among individuals. These findings indicate that the proposed methodology can detect temporal changes in opercular melanin-based spots under applied experimental conditions. We therefore present this work as proof of principle for using computer vision to quantify changes in melanin-based skin spots as a potentially useful, non-invasive indicator of stress and welfare in Atlantic Salmon.
Keywords: 
;  ;  ;  ;  ;  ;  ;  ;  ;  ;  ;  
Copyright: This open access article is published under a Creative Commons CC BY 4.0 license, which permit the free download, distribution, and reuse, provided that the author and preprint are cited in any reuse.
Prerpints.org logo

Preprints.org is a free preprint server supported by MDPI in Basel, Switzerland.

Subscribe

Disclaimer

Terms of Use

Privacy Policy

Privacy Settings

© 2026 MDPI (Basel, Switzerland) unless otherwise stated