Submitted:
10 April 2026
Posted:
14 April 2026
You are already at the latest version
Abstract
Keywords:
MSC: 90-10
1. Introduction
2. Literature Review
3. Problem Description
3.1. Demand Uncertainty Modeling and Scenario Generation
3.2. Mathematical Modeling
4. Proposed Branch-and-Price Algorithm for The PSVRSP-UD
4.1. Model Reformulation via Dantzig-Wolfe Decomposition
- The total loading demand on the sequence does not exceed the vessel’s capacity constraint;
- The vessel can start service at , serve all orders according to the given sequence, return to the onshore supply base, and satisfy all time windows and sailing time constraints;
- The planned start time and maximum postponable time jointly form the feasible departure time interval of the trip, covering all valid departure times under the visiting sequence.
4.2. Pricing Subproblem: NG-Route Labeling Algorithm
- the search space of the pricing subproblem corresponds to trips, and the time dual variable leads to different reduced costs for different departure times of the same order sequence;
- multi-scenario demand constraints require each label to track resource consumption and feasibility under all demand scenarios, significantly increasing label dimension and pruning difficulty.
4.2.1. Definition of NG-Labels
- All labels in the same group correspond to an identical visiting sequence path, differing only in departure time;
- Only one representative label is retained per group, and the postponable time rt(∙) describes the flexible range of all feasible departure times within the group, such that every feasible trip in the same group can be derived from the representative label.
- is the path from the origin to .
- is the current node of the path .
- is the parent label from which is extended.
- is the vessel load in each demand scenario, where denotes the vessel load upon arrival at node along path under scenario s, representing the most critical state information in the label.
- is the start time for the trip.
- is the trip end time (the departure time from the previous node).
- is the maximum time that the label can be postponed while remaining feasible.
- is the reduced cost of the path, including travel cost, dual values of nodes, and dual value contribution of the time interval from to .
- is the neighborhood set of the current node .
4.2.2. Label Extension Rules
4.2.3. Dominance Rule
4.3. Branching Strategy and Integer Solution Repair
5. Numerical Experiments
5.1. Test Instances and Parameter Settings
5.2. Experimental Results and Analysis
5.2.1. Performance of the B&P Algorithm
5.2.2. Sensitivity Analysis on Number of Scenario
5.2.3. Sensitivity Analysis on Demand Fluctuation Levels
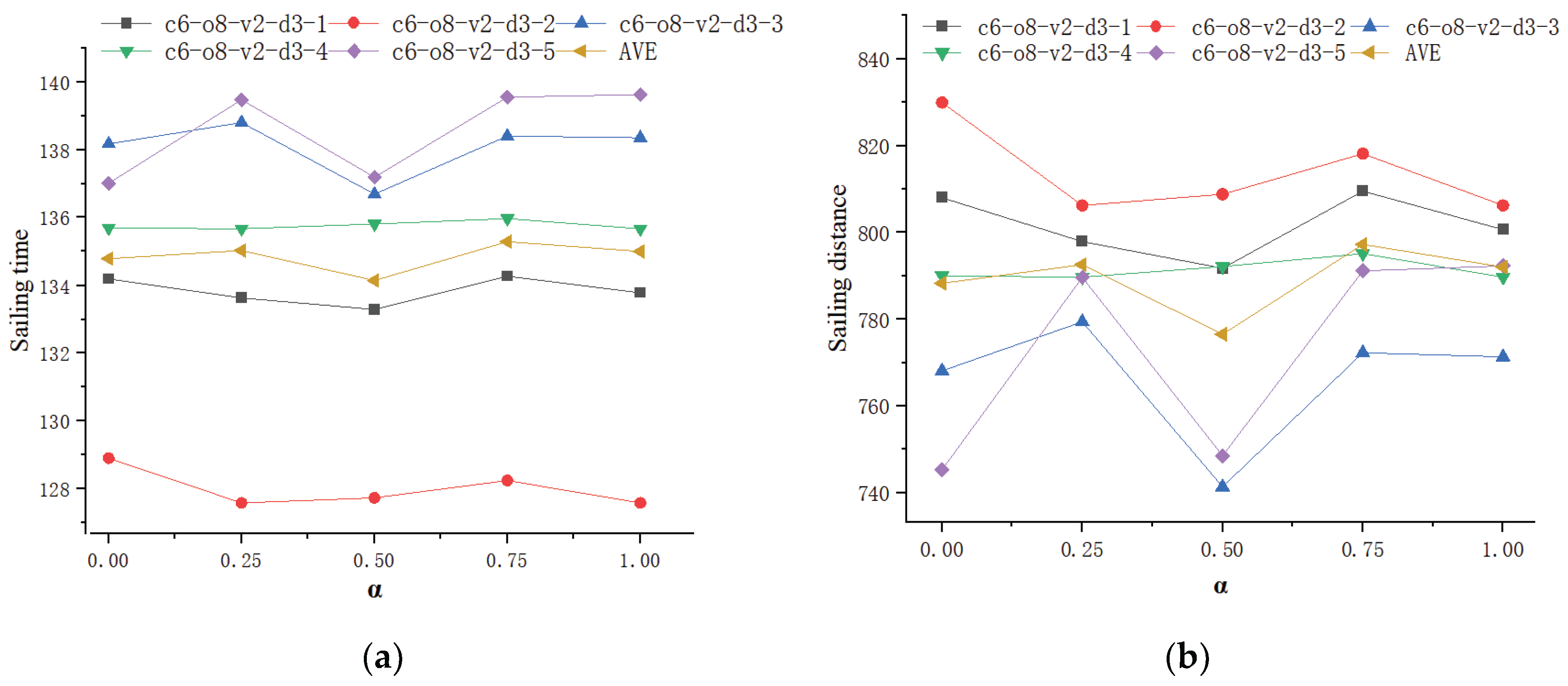
5.2.4. Sensitivity Analysis on Weight Coefficient
6. Conclusions
Author Contributions
Funding
Data Availability Statement
Conflicts of Interest
References
- Guo, L.; Song, W.; Long, Y. Maritime service network design with oil-fueled and LNG-fueled mixed vessel fleet under uncertainty: Overview and future research directions. Transp. Econ. and Manag. 2025, 3, 423-431. [CrossRef]
- Shu, Y.; Guo, Y.; Du, Y.; Wang, S. A Mixed-Integer Linear Programming Framework for Multi-Period Offshore Wind Personnel Logistics: Integrating Routing, Scheduling, and Personnel Inventory Management. Mathematics 2026, 14, 978. [CrossRef]
- Friedberg, D.O.; Uglane, V.T. Routing and Scheduling of Platform Supply Vessels; Norwegian University of Science and Technology: Trondheim, Norway, 2013.
- Fagerholt, K.; Lindstad, H. Optimal policies for maintaining a supply service in the Norwegian Sea. Omega 2000, 28, 269–275. [CrossRef]
- Aas, B.; Gribkovskaia, I.; Halskau Sr, Ø.; Shlopak, A. Routing of supply vessels to petroleum installations. Int. J. Phys. Distrib. Logist. Manag. 2007, 37, 164–179. [CrossRef]
- Gribkovskaia, I.; Laporte, G.; Shlopak, A. A tabu search heuristic for a routing problem arising in servicing of offshore oil and gas platforms. J. Oper. Res. Soc. 2008, 59, 1449–1459. [CrossRef]
- Shyshou, A.; Gribkovskaia, I.; Laporte, G.; Fagerholt, K. A large neighbourhood search heuristic for a periodic supply vessel planning problem arising in offshore oil and gas operations. INFOR 2012, 50, 195–204. [CrossRef]
- Halvorsen-Weare, E.E.; Fagerholt, K.; Nonås, L.M.; Asbjørnslett, B.E. Optimal fleet composition and periodic routing of offshore supply vessels. Eur. J. Oper. Res. 2012, 223, 508–517. [CrossRef]
- Kisialiou, Y.; Gribkovskaia, I.; Laporte, G. Supply vessel routing and scheduling under uncertain demand. Transport. Res. C: Emerg. Technol. 2019, 104, 305–316. [CrossRef]
- Halvorsen-Weare, E.E.; Fagerholt, K. Optimization in offshore supply vessel planning. Optim. Eng. 2017, 18, 317–341. [CrossRef]
- Cruz, R.; Mendes, A.B.; Bahiense, L. Schedule robustness in the periodic supply vessels planning problem with stochastic demand and travel time. Int. Trans. Oper. Res. 2024, 31, 2338–2365. [CrossRef]
- Ksciuk, J.; Kuhlemann, S.; Tierney, K.; Koberstein, A. Uncertainty in maritime ship routing and scheduling: A literature review. Eur. J. Oper. Res. 2023, 308, 499–524. [CrossRef]
- Aas, B.; Halskau Sr, Ø.; Wallace, S.W. The role of supply vessels in offshore logistics. Marit. Econ. & Logist. 2009, 11, 302–325. [CrossRef]
- Salehi Sadghiani, N.; Torabi, S.A.; Sahebjamnia, N. Retail supply chain network design under operational and disruption risks. Transport. Res. E: Logist. Transport. Rev. 2015, 75, 94–113. [CrossRef]
- Alrefaei, M.H.; Andradottir, S. Simulated annealing algorithm with constant temperature for discrete stochastic optimization. Manag. Sci. 1999, 45, 772–786. [CrossRef]
- Christiansen, M.; Fagerholt, K. Robust ship scheduling with multiple time windows. Nav. Res. Logist. 2002, 49, 611–625. [CrossRef]
- Hu, J.; Li, H. A new clustering approach for scenario reduction in multi-stochastic variable programming. IEEE Trans. Power Syst. 2019, 34, 3813–3825. [CrossRef]
- Nikzad, E.; Bashiri, M.; Oliveira, F. Two-stage stochastic programming approach for the medical drug inventory routing problem under uncertainty. Comput. & Ind. Eng. 2019, 128, 358–370. [CrossRef]
- Avolio, M.; Di Francesco, M.; Fuduli, A.; Gorgone, E.; Calvo, R.W. Multi-day routes in a multi-depot vehicle routing problem with intermediate replenishment facilities and time windows. Comput. & Oper. Res. 2025, 182, 107084. [CrossRef]
- Psaraftis, H.N.; Kontovas, C.A. Ship speed optimization: Concepts, models and combined speed-routing scenarios. Transp. Res. Part C: Emerg. Technol. 2014, 44, 52–69. [CrossRef]
- Zhu, Z.; Zhang, S.; Cao, Z. Exact and heuristic methods for the integrated optimisation of vessel deployment and liner shipping routing schedule. Int. J. Syst. Sci.: Oper. & Logist. 2025, 12, 2505920. [CrossRef]
- Ji, B.; Zhou, S.; Zhang, D.; Yu, S.S. A branch--and--price--based heuristic for the vehicle routing problem with two--dimensional loading constraints and time windows. Int. Trans. Oper. Res. 2024, 31, 658–691. [CrossRef]
- Ceselli, A.; Righini, G.; Salani, M. A column generation algorithm for a rich vehicle-routing problem. Transp. Sci. 2009, 43, 56–69. [CrossRef]
- Hernandez, F.; Feillet, D.; Giroudeau, R.; Naud, O. A new exact algorithm to solve the multi-trip vehicle routing problem with time windows and limited duration. 4OR 2014, 12, 235–259. [CrossRef]
- Ji, B.; Zhang, D.; Zhang, Z.; Yu, S.S.; Van Woensel, T. The generalized serial-lock scheduling problem on inland waterway: A novel decomposition-based solution framework and efficient heuristic approach. Transport. Res. E: Logist. Transport. Rev. 2022, 168, 102935. [CrossRef]
- Baldacci, R.; Mingozzi, A.; Roberti, R. New route relaxation and pricing strategies for the vehicle routing problem. Oper. Res. 2011, 59, 1269–1283. [CrossRef]
- Hernandez, F.; Feillet, D.; Giroudeau, R.; Naud, O. Branch-and-price algorithms for the solution of the multi-trip vehicle routing problem with time windows. Eur. J. Oper. Res. 2016, 249, 551–559. [CrossRef]
- Silva, V.A.; Wang, A.; Ferreira Filho, V.J.M.; Gounaris, C.E. Routing and scheduling of platform supply vessels in offshore oil and gas logistics. Comput. & Oper. Res. 2024, 164, 106556. [CrossRef]




| Tag | Description |
|---|---|
| Set | |
| Set of orders, | |
| Set of offshore platforms that request pickup and/or delivery orders, | |
| Set of duplicated supply base nodes,where denotes the departure base for the first trip and denotes the return base for the last trip | |
| Set of all nodes, | |
| Set of feasible arcs | |
| Set of platform supply vessels, | |
| Set of demand scenarios, | |
| Parameter | |
| Probability of scenario | |
| Cargo quantity required for order at platform under scenario | |
| Unit cargo handling rate | |
| Operating cost per unit time of a vessel | |
| Fuel price per unit time | |
| Light weight of vessel | |
| E | Daily fuel consumption of a vessel sailing at maximum speed under full load |
| Platform where order s located | |
| Sailing distance between platform and with if | |
| Sailing time from to | |
| Service time of order | |
| Time window for service of order | |
| Sailing speed of platform supply vessels | |
| Capacity of platform supply vessel | |
| Planning horizon, typically one week | |
| Maximum number of trips allowed for a single vessel within the planning horizon | |
| Variable | |
| Continuous variable representing the load of vessel departing from platforms of order under scenario | |
| Continuous variable representing the leave time of order by vessel | |
| Binary variable equal to 1 if vessel traverses arc and 0 otherwise | |
| Instance | CPLEX | B&P | RD(%) | ||
|---|---|---|---|---|---|
| Obj | T(s) | Obj | T(s) | ||
| c6-o4-v2-d3-1 | 25,432,210.37 | 0.24 | 25,432,210.37 | 0.01 | 0.00 |
| c6-o4-v2-d3-2 | 26,710,724.33 | 0.29 | 26,710,724.33 | 0.01 | 0.00 |
| c6-o4-v2-d3-3 | 25,521,074.33 | 0.33 | 25,521,074.33 | 0.01 | 0.00 |
| c6-o4-v2-d3-4 | 24,782,629.51 | 0.17 | 24,782,629.51 | 0.02 | 0.00 |
| c6-o4-v2-d3-5 | 24,834,059.25 | 0.24 | 24,834,059.25 | 0.01 | 0.00 |
| c6-o8-v2-d3-1 | 53,468,579.29 | 1,586.91 | 53,468,579.29 | 0.82 | 0.00 |
| c6-o8-v2-d3-2 | 52,032,791.70 | 734.77 | 52,032,791.70 | 1.70 | 0.00 |
| c6-o8-v2-d3-3 | 52,806,246.00 | 907.11 | 52,806,246.00 | 0.30 | 0.00 |
| c6-o8-v2-d3-4 | 54,222,141.25 | 867.13 | 54,222,141.25 | 0.15 | 0.00 |
| c6-o8-v2-d3-5 | 52,919,017.96 | 522.5 | 52,919,017.96 | 0.02 | 0.00 |
| AVG | 39,272,947.40 | 461.97 | 39,272,947.40 | 0.31 | 0.00 |
| Instance | CPLEX | B&P | RD (%) |
||||||
|---|---|---|---|---|---|---|---|---|---|
| UB | LB | (%) | T(s) | UB | LB | (%) | T(s) | ||
| c6-o12-v3-d3-1 | 75,737,827.49 | 3,925,699.96 | 94.28 | 3609.70 | 72,882,926.25 | 72,882,926.25 | 0.00 | 33.4 | -3.77 |
| c6-o12-v3-d3-2 | 77,713,692.09 | 4,099,999.97 | 94.50 | 3609.42 | 74,498,014.61 | 74,498,014.61 | 0.00 | 6.81 | -4.14 |
| c6-o12-v3-d3-3 | 74,717,891.37 | 3,829,999.96 | 94.44 | 3610.80 | 74,717,891.37 | 74,717,891.37 | 0.00 | 20.47 | 0.00 |
| c6-o12-v3-d3-4 | 77,570,204.78 | 3,979,999.97 | 95.24 | 3610.18 | 77,570,204.78 | 77,570,204.78 | 0.00 | 16.28 | 0.00 |
| c6-o12-v3-d3-5 | 74,274,463.13 | 3,789,999.96 | 94.23 | 3608.54 | 73,724,533.93 | 73,724,533.93 | 0.00 | 12.43 | -0.74 |
| c6-o16-v3-d3-1 | 103,319,547.14 | 1,419,999.99 | 98.69 | 3606.70 | 102,281,751.60 | 102,281,751.60 | 0.00 | 416.04 | -1.00 |
| c6-o16-v3-d3-2 | 92,914,482.48 | 1,279,999.99 | 98.67 | 3607.72 | 89,223,758.69 | 89,223,758.69 | 0.00 | 382.9 | -3.97 |
| c6-o16-v3-d3-3 | 106,689,087.95 | 2,219,999.99 | 97.91 | 3608.21 | 100,673,785.19 | 100,673,785.19 | 0.00 | 244.69 | -5.64 |
| c6-o16-v3-d3-4 | 91,296,267.67 | 2,899,999.99 | 96.84 | 3608.00 | 91,293,953.82 | 91,293,953.82 | 0.00 | 163.97 | 0.00 |
| c6-o16-v3-d3-5 | 104,033,923.82 | 1,519,999.99 | 98.72 | 3608.07 | 98,012,638.27 | 98,012,638.27 | 0.00 | 137.55 | -5.79 |
| c6-o20-v3-d3-1 | 122,445,304.67 | 2,409,999.99 | 98.11 | 3609.75 | 113,177,774.57 | 113,177,774.57 | 0.00 | 481.07 | -7.57 |
| c6-o20-v3-d3-2 | 117,544,619.02 | 2,249,999.99 | 98.80 | 3610.23 | 109,487,790.33 | 109,487,790.33 | 0.00 | 367.92 | -6.85 |
| c6-o20-v3-d3-3 | 136,524,805.65 | 2,009,999.99 | 98.52 | 3608.18 | 131,382,840.15 | 131,382,840.15 | 0.00 | 682.35 | -3.77 |
| c6-o20-v3-d3-4 | 119,657,794.44 | 2,169,999.99 | 98.22 | 3610.56 | 104,412,686.33 | 104,412,686.33 | 0.00 | 1560.81 | -12.74 |
| c6-o20-v3-d3-5 | - | - | - | 3624.08 | 168,345,412.26 | 168,345,412.26 | 0.00 | 2627.07 | - |
| c6-o24-v4-d3-1 | 161,747,185.53 | 349,999.99 | 99.79 | 3626.18 | 147,194,030.48 | 147,194,030.48 | 0.00 | 313.78 | -9.00 |
| c6-o24-v4-d3-2 | 145,716,786.60 | 1,339,999.99 | 99.08 | 3625.65 | 144,869,150.42 | 144,869,150.42 | 0.00 | 142.19 | -0.58 |
| c6-o24-v4-d3-3 | - | - | - | 3,611.88 | 145,462,488.39 | 145,462,488.39 | 0.00 | 677.11 | - |
| c6-o24-v4-d3-4 | 148,898,512.90 | 869,999.99 | 99.42 | 3609.70 | 140,673,070.67 | 140,673,070.67 | 0.00 | 535.70 | -5.52 |
| c6-o24-v4-d3-5 | - | - | - | 3609.42 | 131,850,277.58 | 131,850,277.58 | 0.00 | 416.50 | - |
| AVG | 107,694,258.63 | 2,374,452.92 | 97.38 | 102,710,400.09 | 102,710,400.09 | 0.00 | 461.95 | -4.18 | |
| Instance | 0.1 | 0.2 | 0.3 | 0.4 | 0.5 | |||||
|---|---|---|---|---|---|---|---|---|---|---|
| Obj | T(s) | Obj | T(s) | Obj | T(s) | Obj | T(s) | Obj | T(s) | |
| c6-o8-v2-1 | 53,391,416.8 | 1,920.6 | 53,430,007.6 | 1,572.9 | 53,430,007.6 | 1,572.9 | 53,792,988.8 | 1,244.1 | 53,829,472.1 | 1,206.1 |
| c6-o8-v2-2 | 51,441,580.1 | 698.5 | 51,530,934.0 | 747.6 | 51,530,934.0 | 747.6 | 52,123,967.2 | 660.9 | 52,215,260.6 | 641.9 |
| c6-o8-v2-3 | 52,385,311.7 | 1,207.8 | 52,595,867.3 | 1,180.2 | 52,595,867.3 | 1,180.2 | 53,016,814.1 | 835.5 | 53,227,180.1 | 785.6 |
| c6-o8-v2-4 | 54,129,789.9 | 1,030.9 | 54,176,259.6 | 888.7 | 54,176,259.5 | 888.7 | 54,268,422.0 | 719.4 | 54,588,344.6 | 604.6 |
| c6-o8-v2-5 | 51,219,404.6 | 1,422.9 | 51,190,494.6 | 1,323.3 | 51,190,494.6 | 1,323.3 | 51,132,735.9 | 1,168.3 | 51,133,293.2 | 765.8 |
| AVE | 52,513,500.6 | 1,256.2 | 52,584,712.6 | 1,142.6 | 52,738,275.6 | 1,087.1 | 52,866,985.6 | 925.7 | 52,998,710.1 | 800.8 |
Disclaimer/Publisher’s Note: The statements, opinions and data contained in all publications are solely those of the individual author(s) and contributor(s) and not of MDPI and/or the editor(s). MDPI and/or the editor(s) disclaim responsibility for any injury to people or property resulting from any ideas, methods, instructions or products referred to in the content. |
© 2026 by the authors. Licensee MDPI, Basel, Switzerland. This article is an open access article distributed under the terms and conditions of the Creative Commons Attribution (CC BY) license (http://creativecommons.org/licenses/by/4.0/).