Preprint
Article

This version is not peer-reviewed.

Use of the Zipf-Mandelbrot Law in Modelling US FDA Adverse Reactions

Submitted:

04 April 2026

Posted:

08 April 2026

You are already at the latest version

Abstract
Objective: The purpose of this preliminary study was to evaluate the use of the Zipf-Mandelbrot (ZM) law to mathematically model the percentage occurrence of adverse drug reactions (ADRs), as a function of rank, reported to the US FDA Adverse Event Monitoring System (AMES). Methods: Six commonly used hospital-based medications were examined. Nonlinear curve fitting of the two ZM coefficients was utilized to model the percentage occurrence of ADRs in a hierarchical or rank order for each drug examined. Results: The reported complications and their associated occurrence rates for all six medications were accurately modelled using the ZM law. Those medications which have a greater percentage of reported ADRs within their first ten ranks have a greater negative slope. Furthermore, a natural logarithmic transformation of both the reported FDA data and the predicted values utilizing the ZM law demonstrated a consistent statistically significant near-linear correlation. The ratio of the coefficients of the ZM law, a∙b^(-1), was also found to be a potentially useful index which allows for describing and comparing the overall shape of the medication-specific distributions. Conclusions: Based upon this preliminary examination, the ZM law appears to be applicable to the mathematical modeling of US FDA reported ADRs. Additional research to assess and utilize this law for the analysis, economic management, and possible improvement in patient outcome may be warranted.
Keywords: 
;  ;  
Introduction
Adverse drug reactions (ADRs) represent a significant source of morbidity and mortality. Therefore, these medication-based complications negatively impact both the cost and quality of health care [1,2].
The Zipf-Mandelbrot (ZM) law has been applied to mathematically model a wide range of phenomena including linguistics [3], insurance risk [4], scientific citations [5], web hits [6], economics [7], and urban population [8]. Furthermore, it is frequently referred to as the Pareto-Zipf distribution [9].
This paper examines the applicability of the ZM law to US FDA reported ADRs for the following medications: fentanyl, propofol, albumin, succinylcholine, ketamine, and isoflurane. For the purposes of this research, the ZM law will be represented as:
Preprints 206687 i001
Where f ( r ) represents the percentage occurrence of each FDA adverse event associated with a sequential rank, r . Moreover, r is a dimensionless natural integer ranging from 1 to N. Where N represents the total number of unique medication-specific ADRs.
Note that the maximum value for f ( r ) always occurs at r = 1 which is the most frequently reported adverse reaction. Whereas f ( N ) represents the percentage occurrence of the least reported adverse reaction which occurs at r = N .
Furthermore, f ( r ) , a , and b are all positive real numbers. Also, a > 1 and b 0 . It should be noted that small positive values for a which are less than one do not generate a sufficient skewness to adequately represent these clinical data.
In addition, coefficients a and b are both dimensionless and are determined using curve-fitting. Note that when b = 0 the ZM law reduces to a basic power law distribution.
The following limits are therefore straightforward and are fundamental in understanding the properties of the ZM law:
Preprints 206687 i002
and:
Preprints 206687 i003
By definition, the sum of the total occurrences of ADRs expressed in percent form is:
  r = 1 N f ( r ) = 100 % .
However, the reader should be cognizant that the original US FDA data is supplied or downloaded in decimal form:
Preprints 206687 i004
For this study, the non-linear ZM law is statistically evaluated by comparing it to the medication-specific reported data:
Preprints 206687 i005
Therefore, the reported adverse events for each medication’s ADRs, f ( r ) , will be compared to the predicted adverse events by utilizing the ZM law and by curve fitting coefficients a and b .
Additionally, the ZM law can be differentiated with respect to rank:
Preprints 206687 i006
The above interrelationship has dimensionless units of % · r 1 and readily explains the slope of f ( r ) at each rank. Note that d f d r is consistently negative.
Inspection of the above derivative also demonstrates that for a given value of r increasing values of a and/or b yields an overall diminution in the magnitude of the slope of f r .
Therefore:
Preprints 206687 i007
and:
Preprints 206687 i008
Furthermore, for given values of both a and b an increasing value of r will also generate an overall diminution in the magnitude of the slope of f r :
Preprints 206687 i009
To compare different medications and their distributions of ADRs, it is also helpful to quantitate a medication-specific average slope within a specific range of ranks,
r = j , j + 1 , ... n . Note that: j 1 and n N .
Preprints 206687 i010
This is equivalent to:
Preprints 206687 i011
Note that the area under a curve is approximately proportional to the summation of the points along a curve. Therefore, the definite integral of the ZM law, I , is an analogous function to the summation of the points along the f r curve:
Preprints 206687 i012
Equivalently:
Preprints 206687 i013
Thus, I illustrates how coefficients a and b   interact with the summation process. The above equation also has the following clinical constraints: r f r i , b 0 , and a > 1 . Inspection of I demonstrates that, for a given value of a , decreasing values of b will lead to a greater value of I and therefore a greater summation over the specified range of r i to r f . The value of I and the range-based summation will also increase with decreasing values of a for a given value of b .
In addition to d f ¯ d r , the summation of sequential points along a specific ZM distribution, f r , provides useful information when comparing different medications with different distributions of ADRs. Note again that: j 1 and n N .
Percentage   occurence   of   ADRs   within   a   range   of   ranks = r = j n f ( r ) , 1 j n .
Equivalently:
Percentage   occurence   of   ADRs   within   a   range   of   ranks r = j n 100 r + b a , 1 j n .
Examination of Figure 1 demonstrates that the medication-specific values for f r tend to coalesce at approximately r = 10 . Therefore, the use of both the sum and average derivative, based upon the first ten ranks, is particularly beneficial when comparing the various medications’ different ADR distributions (See: Results).
A natural logarithmic transformation has also been utilized for additional statistical analysis:
Preprints 206687 i014
Which is equal to:
ln f ( r ) 100 = a ln r + b .
Inspection of the above equations demonstrates that the natural logarithm function operates on the unitless decimal form of both the reported data and the predicted values. This transformation also results in an approximate linearization of the predicted vs. the reported values.
Thus, with increasing rank, r b therefore: ln r + b ln r . Consequently, the natural logarithm of a reported ADR and the natural logarithm of its rank will become approximately proportional as r increases:
Preprints 206687 i015
Moreover, the ZM law can also be represented using an exponential equation. This helps to explain its fundamental “exponential like” mathematical properties:
Preprints 206687 i016

Materials and Methods

The raw data for this study were downloaded directly from the US FDA website [10]. Mathematical and statistical analyses were done using Microsoft Excel, XLSTAT, and PTC Mathcad Prime 10.0. All data were obtained and uploaded anonymously by the US FDA. Therefore, Institutional Review Board (IRB) approval was deemed unnecessary.
For each medication, all FDA adverse events and associated ranks were entered into a spreadsheet (MS Excel). Medication-specific values for coefficients a and b were determined using nonlinear curve fitting (XLStat). Note that the raw data were initially acquired in decimal form and subsequently multiplied by 100 to obtain an equivalent percentage.
Six frequently used generic medications and their reported ADRs were assessed: propofol, albumin, isoflurane, fentanyl, succinylcholine, and ketamine. It should be noted that these medications are commonly utilized in hospital-based anesthesia practice. However, ADRs resulting from the illicit use of propofol, fentanyl, and ketamine are also collectively documented within the AEMS. Thus, no explicit identification or differentiation of either legitimate or illicit use and associated ADRs can be determined from the analysis of the AEMS database. It should be noted that drug overdoses are also considered ADRs and are included in the AEMS database [11].
Appendix 1 documents the ten most prevalent adverse effects and their corresponding ranks associated with each of the six medications. Note that each ADR is expressed as a percentage for a given rank.

Results

Figure 1 demonstrates the predicted adverse reactions for all six medications utilizing the ZM law. Table 1 and Figure 2 show the medication-specific values for both a and b . Figure 2 also documents a slight negative correlation between coefficients a and b .
Furthermore, Table 1 and Appendix 2 illustrate the associated root mean square error as a function of percentage, RMSE(%), for each medication. Note that Appendix 3 shows the derivation of RMSE(%) based upon RSME(decimal format).
In addition, a natural logarithmic transformation was also calculated for each value of f r and its associated predicted value. This generated medication-specific approximate linear models and associated coefficients of determination, R2 (See: Table 1 and Appendix 2). This transformation process also yielded correlations which were statistically significant ( p < 0.0001 ) for each medication.
Table 1 and Figure 3 also document the dimensionless ratio: a · b 1 . Note that this ratio was found to negatively correlate with the reported average derivative and positively correlate with the sum of the ADRs. Note that the average derivative and sum are calculated using only the ADRs associated with the first ten ranks (See: Figure 4 and Figure 5).
Inspection of Table 1 and Figure 3 demonstrate that coefficient a tends to have a near-uniform approximate value of slightly greater than 1 whereas coefficient b has a range of approximately 2.67 to 8.59.
In addition, Figure 6 and Figure 7 document the correlation between reported and predicted average derivatives and sums over the first ten ranks. Figure 8 shows that greater negative slopes correlate with greater sums.
Lastly, Figure 9 compares RMSE(%) to R2. Note that RMSE(%) is determined using the non-linear ZM model (Eqns. 1 and 8) whereas R2 is obtained using the natural logarithmic model (Eqns. 19 and 20).
Table 2. Reported and predicted sum and average derivatives. Note that these are based upon the first ten ranks.
Table 2. Reported and predicted sum and average derivatives. Note that these are based upon the first ten ranks.
Based upon the first ten ranks
Medication Reported Sum (%) Predicted
Sum (%)
Reported Average Derivative (%·r −1) Predicted Average Derivative (%·r −1)
Fentanyl 95.650 96.106 -1.999 -2.006
Albumin 78.370 82.240 -0.984 -1.009
Succinylcholine 76.370 77.197 -1.065 -1.064
Ketamine 68.864 74.696 -0.728 -0.755
Isoflurane 58.434 70.202 -0.788 -0.870
Propofol 52.980 54.485 -0.474 -0.476

Discussion

This paper is a preliminary demonstration of the applicability of the ZM law to mathematically model US FDA ADRs. This may provide a reasonable “first step” for comparing overall clinical complication rates associated with various medications.
As demonstrated, medications which have a distribution of their ADRs with a less steep or shallower average slope as well as a reduced sum may be potentially safer than those with steeper slopes and greater sums. Note that these values are determined over the initial range of each medication’s first ten ranks.
Thus, a flatter distribution of ADRs may be associated with potentially safer medications as a result of a more even dispersal of medication-based complications. Further research would be necessary to investigate the potential clinical utility of this application of the ZM law.
Moreover, it should be noted that the dimensionless ratio a · b 1 , was also found to correlate with both the average derivative and the sum of adverse events associated with the first ten ranks. Specifically, a · b 1 , negatively correlated with the average slope whereas a · b 1 positively correlated with the sum. As stated, both correlations are based upon the adverse events associated with the first ten ranks of the ADRs of each medication.
Therefore, a lower value of a · b 1 results in a flatter or a more even distribution of ADRs. Thus, this ratio may function as a useful index of comparison when evaluating ADRs from different medications. Lastly, inspection of Table 1 and Figure 3 demonstrates that changes a · b 1 are mainly due to changes in b .
ADRs are a leading cause of both morbidity and mortality among hospitalized patients. It has been estimated that approximately 10.9% of all inpatients will experience an ADR with 2.1% experiencing a serious event and 0.19% having a fatal event [12]. In addition, inpatients who were older, female, and who took more medications had a greater risk of having an ADR. Moreover, a greater length of stay was also associated with an increased likelihood of experiencing an ADR among inpatients [13].
ADRs which occur outside of a hospital and lead to hospitalizations have also been examined. Specifically, the overall incidence of ADRs in the primary care setting is estimated as 8.32 percent with many of these being considered preventable [14].
While the ZM law appears to be readily applicable to modeling FDA-reported ADRs as a function of rank, it should be noted that the quantification of the economic effects of ADRs is a more difficult process which is often incomplete or inaccurate. However, there have been numerous efforts to perform this type of analysis as well as recommendations for more efficacious investigations [15].
In the early 1990s, a team from LDS Hospital evaluated three years of data at their institution and concluded that an ADR increased length of stay by an average of 1.91 days at an increase in cost for care by an average of $2,262 [16].
In the same decade, a team led by Bates et al. produced similar results, concluding that an ADR increased length of stay by 2.2 days and increased cost of care by $3,244 [17].
It is important to note that there is likely great discrepancy between institutions, patient populations, and geographic locations regarding ADR-related economic costs. Specifically, ADRs were found to extend length of stay by an average of 14.1 days in a pediatric patient population in Japan in 2021. This was also associated with an increase in expenditures of $8,258 [18]. However, another team led by Fernandez et al., in a pharmacy setting, estimated a cost of $218 per likely ADR [19].
With the advent of electronic healthcare records, clinicians are frequently made aware of potential ADRs. However, these alerts are commonly overridden. Slight et al. evaluated the cost of ADRs related to inappropriate medication-related alert overrides in a United States inpatient setting. Using data from Brigham and Women’s Hospital, they utilized a regression model to estimate that 5.5 million medication alerts may be inappropriately overridden annually in the United States. This estimate could therefore potentially yield 196,600 ADRs, likely costing between $871 million and $1.8 billion total [20].

Conclusion

This paper has preliminarily demonstrated that the ZM law is applicable to the mathematical modeling of US FDA ADRs. This was supported using six commonly utilized hospital-based medications and applying non-linear curve fitting and a natural logarithmic transformation to each medication-specific distribution.
In addition, the ratio of the two coefficients of the ZM law, a · b 1 , may function as a useful index which summarizes both the flatness and sum of each distribution based upon the ADRs associated with the first ten ranks. Thus, medications with a lower a · b 1 ratio may be potentially safer owing to a more even dispersal of their ADRs.
Lastly, the applicability of the ZM law may be beneficial in reducing ADRs in a hospital setting. This could potentially reduce morbidity and mortality as well as healthcare costs. With the widespread utilization of electronic medical records, further examination and implementation of the ZM law may allow for improved medication-based decision making.

Appendix 1

Reported ADRs: Ranks 1 through 10.
Fentanyl
Category Number of Cases Rank Percentage
Death 13,254 1 20.82
Toxicity To Various Agents 9,703 2 15.24
Wrong Technique In Product Usage Process 7,675 3 12.06
Overdose 6,663 4 10.47
Drug Ineffective 6,378 5 10.02
Product Adhesion Issue 4,566 6 7.17
Product Quality Issue 3,806 7 5.98
Pain 3,708 8 5.82
Therapeutic Product Effect Decreased 2,286 9 3.59
Nausea 2,217 10 3.48
Total 94.65%
Albumin
Category Number of Cases Rank Percentage
Pyrexia 86 1 15.90
Hypotension 63 2 11.65
Dyspnea 55 3 10.17
Urticaria 36 4 6.65
Chills 34 5 6.28
Stevens-Johnson Syndrome 32 6 5.91
Pruritus 31 7 5.73
Tachycardia 31 8 5.73
Toxic Epidermal Necrolysis 29 9 5.36
Dermatitis 27 10 4.99
Total 78.37%
Succinylcholine
Category Number of Cases Rank Succinylcholine
Hyperthermia Malignant 260 1 12.70
Anaphylactic Shock 238 2 11.62
Drug Ineffective 226 3 11.04
Hypotension 198 4 9.67
Cardiac Arrest 171 5 8.35
Anaphylactic Reaction 100 6 4.88
Bronchospasm 99 7 4.83
Fetal Exposure During Pregnancy 99 8 4.83
Tachycardia 88 9 4.30
Bradycardia 85 10 4.15
Total 76.37%
Ketamine
Category Number of Cases Rank Percentage
Drug Ineffective 772 1 15.71
Off Label Use 442 2 8.99
Anaphylactic Shock 411 3 8.36
Drug Abuse 366 4 7.45
Hypotension 297 5 6.04
Toxicity To Various Agents 265 6 5.39
Product Use In Unapproved Indication 225 7 4.58
Agitation 224 8 4.56
Hyperhidrosis 203 9 4.13
Hallucination 179 10 3.64
Total 68.86%
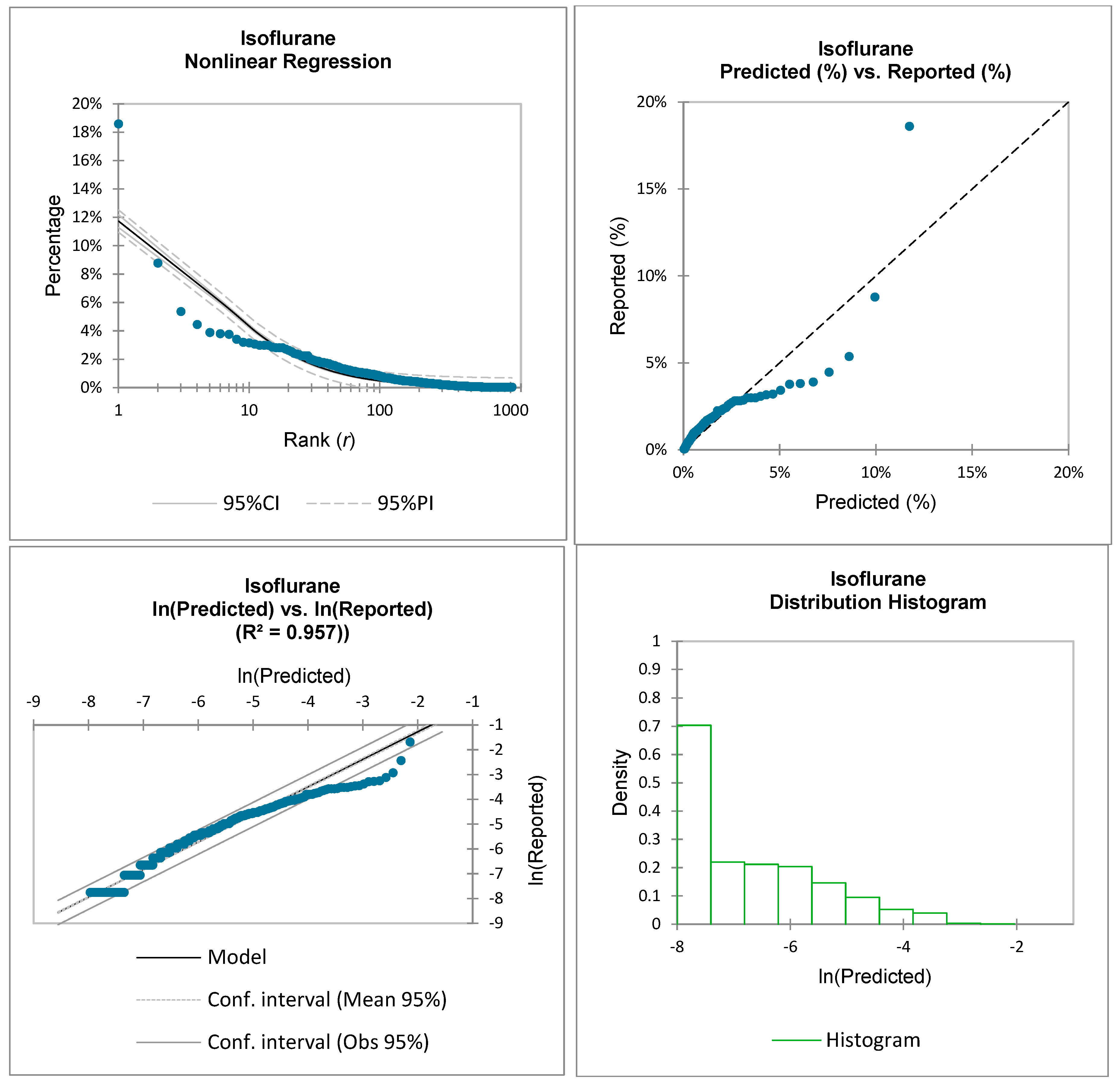
Isoflurane
Category Number of Cases Rank Percentage
Hyperthermia Malignant 430 1 18.60
Hypotension 203 2 8.78
Drug Ineffective 124 3 5.36
Cardiac Arrest 103 4 4.46
Hepatitis 90 5 3.89
Post Procedural Complication 88 6 3.81
Maternal Exposure During Pregnancy 87 7 3.76
Pyrexia 79 8 3.42
Bradycardia 74 9 3.20
Anesthetic Complication Neurological 73 10 3.16
Total 58.43%
Propofol
Category Number of Cases Rank Percentage
Hypotension 1,681 1 9.28
Anaphylactic Shock 1,337 2 7.38
Drug Ineffective 1,292 3 7.13
Cardiac Arrest 1,006 4 5.55
Anaphylactic Reaction 945 5 5.22
Drug Interaction 760 6 4.20
Off Label Use 725 7 4.00
Bradycardia 710 8 3.92
Tachycardia 589 9 3.25
Rhabdomyolysis 549 10 3.03
Total 52.98%

Appendix 2

Graphical summaries of US FDA ADRs utilizing nonlinear regression and natural logarithmic (ln) transformations
Preprints 206687 g0a1
Preprints 206687 g0a2
Preprints 206687 g0a3
Preprints 206687 g0a4
Preprints 206687 g0a5

Appendix 3

The derivation of RSME(%) using RSME(decimal form)
Mean square error, MSE(decimal form), is defined as:
MSE ( decimal   form )   = j = 1 N X r j X p j 2 N .
Where X r j and X p j are the dimensionless rank-specific reported and predicted ADRs in decimal form, respectively.
In an analogous manner, MSE(%) is defined using the reported and predicted values expressed as a function of percentages:
MSE ( % )   = j = 1 N A X r j A X p j 2 N , A = 100
Expanding the numerator of the above equation yields:
Preprints 206687 i017
Therefore:
MSE ( % )   = A 2 j = 1 N X r j X p j 2 N = A 2 MSE ( decimal   form ) .
Note that MSE(%) has units of “percent squared.” Whereas root mean square error, RMSE(decimal form), is determined by calculating the square root of the dimensionless MSE(decimal form):
RMSE ( % )   =   MSE ( % )   =   A j = 1 N X r j X p j 2 N   =   A MSE ( decimal   form ) .
RMSE(%) is subsequently defined in an analogous manner:
Preprints 206687 i018
Thus:
Preprints 206687 i019
Note that RMSE(%) has units of percentage

References

  1. Miguel A, Azevedo LF, Araújo M, Pereira AC. Frequency of adverse drug reactions in hospitalized patients: a systematic review and meta-analysis. Pharmacoepidemiology and drug safety. 2012 Nov;21(11):1139-54. [CrossRef]
  2. Bouvy JC, De Bruin ML, Koopmanschap MA. Epidemiology of adverse drug reactions in Europe: a review of recent observational studies. Drug safety. 2015 May;38(5):437-53. [CrossRef]
  3. Piantadosi ST. Zipf’s word frequency law in natural language: A critical review and future directions. Psychonomic bulletin & review. 2014 Oct;21(5):1112-30. [CrossRef]
  4. Dalton DB, Dweck R, Elinon M, Davidson J. Modeling Insurance Frequency with the Zipf-Mandelbrot Distribution. InCAS E-Forum 2022 Sep 26.
  5. Silagadze ZK. Citations and the Zipf-Mandelbrot’s law. arXiv preprint physics/9901035. 1999 Jan 21.
  6. Adamic LA, Huberman BA. Zipf’s law and the Internet. Glottometrics. 2002 Jun;3(1):143-50.
  7. Gabaix X. Power laws in economics and finance. Annu. Rev. Econ.. 2009 Sep;1(1):255-94. [CrossRef]
  8. Hackmann A, Klarl T. The evolution of Zipf’s Law for US cities. Papers in Regional Science. 2020 Jun 1;99(3):841-52. [CrossRef]
  9. Newman ME. Power laws, Pareto distributions and Zipf’s law. Contemporary physics. 2005 Sep 1;46(5):323-51. [CrossRef]
  10. https://www.fda.gov/drugs/fda-adverse-event-monitoring-system-aems/fda-adverse-event-monitoring-system-aems-public-dashboard.
  11. Ni J, Tang X, Chen L. Medication overdose data analysis: a review of medication error reports in the FDA adverse event reporting system (FAERS). BMC pharmacology and toxicology. 2023 Aug 4;24(1):41. [CrossRef]
  12. Lazarou J, Pomeranz BH, Corey PN. Incidence of adverse drug reactions in hospitalized patients: a meta-analysis of prospective studies. Jama. 1998 Apr 15;279(15):1200-5. [CrossRef]
  13. Davies EC, Green CF, Taylor S, Williamson PR, Mottram DR, Pirmohamed M. Adverse drug reactions in hospital in-patients: a prospective analysis of 3695 patient-episodes. PLoS one. 2009 Feb 11;4(2):e4439.
  14. Insani WN, Whittlesea C, Alwafi H, Man KK, Chapman S, Wei L. Prevalence of adverse drug reactions in the primary care setting: A systematic review and meta-analysis. PLoS One. 2021 May 26;16(5):e0252161. [CrossRef]
  15. Ghabri S, Dawoud D, Drummond M. Methods for including adverse events in economic evaluations: suggestions for improvement. Value in Health. 2024 Jul 1;27(7):936-42. [CrossRef]
  16. Classen DC, Pestotnik SL, Evans RS, Lloyd JF, Burke JP. Adverse drug events in hospitalized patients: excess length of stay, extra costs, and attributable mortality. Jama. 1997 Jan 22;277(4):301-6.
  17. Bates DW, Spell N, Cullen DJ, Burdick E, Laird N, Petersen LA, Small SD, Sweitzer BJ, Leape LL. The costs of adverse drug events in hospitalized patients. Jama. 1997 Jan 22;277(4):307-11.
  18. Iwasaki H, Sakuma M, Ida H, Morimoto T. The burden of preventable adverse drug events on hospital stay and healthcare costs in Japanese pediatric inpatients: the JADE study. Clinical Medicine Insights: Pediatrics. 2021 Feb;15:1179556521995833. [CrossRef]
  19. Fernández EV, Warriner CL, David T, Gordon E, Twigg G, Carroll NV. Potential cost savings by prevention of adverse drug events with a novel medication review program. Journal of the American Pharmacists Association. 2020 May 1;60(3):462-9.
  20. Slight, SP; Seger, DL; Franz, C; Wong, A; Bates, DW. Journal of the American Medical Informatics Association, Sep 2018; 25, 9, pp. 1183–8.
Figure 1. A comparison of the ZM law for each of the six medications examined. Note that these graphs were generated using their medication-specific predicted values based upon curve fitting coefficients a and b .
Figure 1. A comparison of the ZM law for each of the six medications examined. Note that these graphs were generated using their medication-specific predicted values based upon curve fitting coefficients a and b .
Preprints 206687 g001
Figure 2. Coefficients a and b are illustrated for each medication. Note that some negative correlation is evident.
Figure 2. Coefficients a and b are illustrated for each medication. Note that some negative correlation is evident.
Preprints 206687 g002
Figure 3. A statistical comparison of coefficients a and b .
Figure 3. A statistical comparison of coefficients a and b .
Preprints 206687 g003
Figure 4. The ratio of a · b 1 negatively correlates with the the reported average derivative for each medication.
Figure 4. The ratio of a · b 1 negatively correlates with the the reported average derivative for each medication.
Preprints 206687 g004
Figure 5. The ratio of a · b 1 correlates with the reported sum for each medication.
Figure 5. The ratio of a · b 1 correlates with the reported sum for each medication.
Preprints 206687 g005
Figure 6. Each reported average derivative correlates with its predicted average derivative.
Figure 6. Each reported average derivative correlates with its predicted average derivative.
Preprints 206687 g006
Figure 7. Correlation of reported and predicted sums.
Figure 7. Correlation of reported and predicted sums.
Preprints 206687 g007
Figure 8. Predicted average derivatives correlate with predicted sums.
Figure 8. Predicted average derivatives correlate with predicted sums.
Preprints 206687 g008
Figure 9. Correlation of medication-specific root mean square error using percentage, RMSE(%), and its respective coefficient of determination, R2. Note that RMSE(%) is calculated using the non-linear ZM model whereas R2 is calculated using the natural logarithmic model.
Figure 9. Correlation of medication-specific root mean square error using percentage, RMSE(%), and its respective coefficient of determination, R2. Note that RMSE(%) is calculated using the non-linear ZM model whereas R2 is calculated using the natural logarithmic model.
Preprints 206687 g009
Table 1. Results of nonlinear and natural logarithmic curve fitting. * (p < 0.0001).
Table 1. Results of nonlinear and natural logarithmic curve fitting. * (p < 0.0001).
Coefficients Ratio Nonlinear Model Natural Logarithmic Model*
Medication a b a·b−1 RMSE(%) R2
Fentanyl 1.211 2.670 0.453 0.05 0.976
Albumin 1.096 5.128 0.214 0.20 0.959
Succinylcholine 1.152 4.674 0.246 0.12 0.970
Ketamine 1.070 6.547 0.163 0.02 0.960
Isoflurane 1.149 5.450 0.211 0.33 0.957
Propofol 1.120 8.586 0.130 0.06 0.955
Disclaimer/Publisher’s Note: The statements, opinions and data contained in all publications are solely those of the individual author(s) and contributor(s) and not of MDPI and/or the editor(s). MDPI and/or the editor(s) disclaim responsibility for any injury to people or property resulting from any ideas, methods, instructions or products referred to in the content.
Copyright: This open access article is published under a Creative Commons CC BY 4.0 license, which permit the free download, distribution, and reuse, provided that the author and preprint are cited in any reuse.
Prerpints.org logo

Preprints.org is a free preprint server supported by MDPI in Basel, Switzerland.

Subscribe

Disclaimer

Terms of Use

Privacy Policy

Privacy Settings

© 2026 MDPI (Basel, Switzerland) unless otherwise stated