Preprint
Article

This version is not peer-reviewed.

Words and Numbers: A Dynamical Systems Perspective

Submitted:

09 March 2026

Posted:

10 March 2026

You are already at the latest version

Abstract
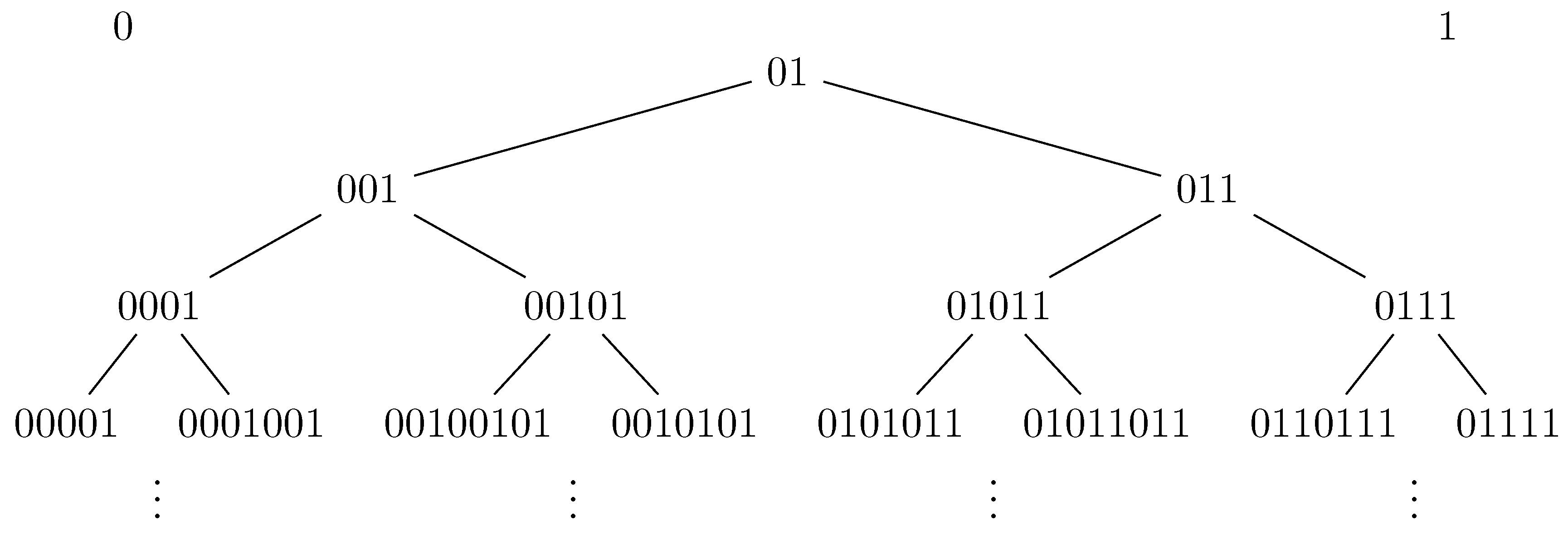
Along with some known and less known results, we discuss new insights relating combinatorics of words and the ordering of the rationals from a dynamical systems point of view, somehow continuing along the path started in [BI]. We obtain in particular a set of results that structure and enrich the correspondence between the Stern-Brocot (SB) ordering of rational numbers and the corresponding ordering of Farey-Christoffel (FC) words, a class of words that, since their appearance in literature at the end of the 18th century, have revealed numerous relationships with other fields of mathematics. Among the results obtained here is the construction of substitution rules that act on the FC words in a parallel way to the maps on the positive reals that generate the permuted SB tree both vertically and horizontally. A complete correspondence is obtained between the vertical and horizontal motions on the SB tree and the geodesic motions along scattering geodesics and the horocyclic motion along Ford circles in the upper half-plane, respectively.
Keywords: 
;  ;  ;  ;  ;  
Copyright: This open access article is published under a Creative Commons CC BY 4.0 license, which permit the free download, distribution, and reuse, provided that the author and preprint are cited in any reuse.
Prerpints.org logo

Preprints.org is a free preprint server supported by MDPI in Basel, Switzerland.

Subscribe

Disclaimer

Terms of Use

Privacy Policy

Privacy Settings

© 2026 MDPI (Basel, Switzerland) unless otherwise stated