Submitted:
22 February 2026
Posted:
26 February 2026
You are already at the latest version
Abstract
Keywords:
1. Introduction
2. Materials and Methods
2.1. Max-Half-Mchart
2.2. Cellwise Minimum Covariance Determinant (CellMCD)
2.3. CellMCD Based-Max Half-Mchart
3. Methodology
| Algorithm 1 Procedure to Compute and Plot the Proposed cellMCD-Based Max-Half-M Chart |
| Step 1. Set . Step 2. Compute the robust mean vector and robust covariance matrix using equations (10) and (11). Step 3. Calculate the mean statistic and the variability statistic using equations (12) and (13). Then form the simultaneous statistic using equation (14). Step 4. Estimate the upper control limit for the proposed based on the bootstrap and Monte Carlo simulation using Algorithm 2. Step 5. Plot against .
|
| Algorithm 2 Bootstrap and Monte Carlo Control Limit |
| Step 1. Set . Step 2. Obtain the robust estimates and using equations (10) and (11). Step 3. For , repeat: a. Generate observations from the multivariate normal distribution b. Compute the cellMCD-based Max-Half-Mchart statistic for using the simulated sample. c. Apply bootstrap resampling (with replacement) to obtain 1000 bootstrap values of . d. For replication , compute the empirical th percentile of the 1000 bootstrap values, denoted by Step 4. Estimate the UCL by averaging these percentile values across the 1000 Monte Carlo replications: |
| Actual | Detection | |
|---|---|---|
| Outlier | Normal | |
| Outlier | True Positives (TP) | False Negatives (FN) |
| Normal | False Positives (FP) | True Negatives (TN) |
4. Result
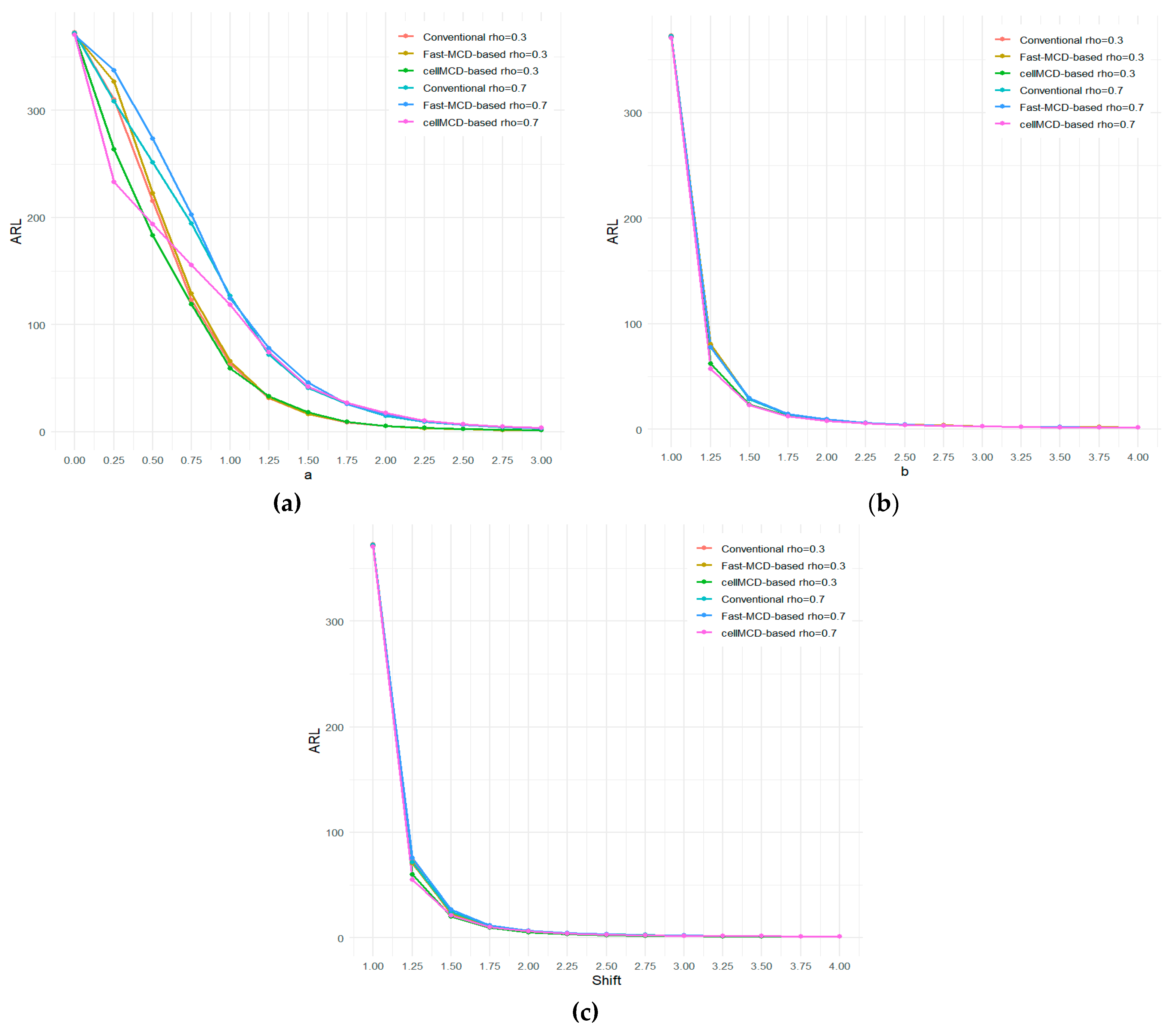
4.1. Simulation Study
4.2. Detecting Shift
| a | b | ||||||||||||
|---|---|---|---|---|---|---|---|---|---|---|---|---|---|
| 1 | 1.25 | 1.5 | 1.75 | 2 | 2.25 | 2.5 | 2.75 | 3 | 3.25 | 3.5 | 3.75 | 4 | |
| 0 | 372.94 | 80.06 | 28.39 | 14.18 | 8.91 | 6.00 | 4.67 | 3.37 | 2.95 | 2.54 | 2.22 | 2.00 | 1.85 |
| 0.25 | 310.41 | 72.76 | 26.31 | 13.54 | 8.58 | 5.78 | 4.60 | 3.66 | 2.85 | 2.53 | 2.20 | 2.00 | 1.85 |
| 0.5 | 215.25 | 52.65 | 22.32 | 12.56 | 7.71 | 5.41 | 4.12 | 3.30 | 2.77 | 2.50 | 2.13 | 1.98 | 1.75 |
| 0.75 | 122.80 | 39.15 | 17.88 | 10.65 | 6.81 | 4.88 | 3.61 | 3.06 | 2.57 | 2.23 | 2.13 | 1.89 | 1.71 |
| 1 | 63.71 | 25.38 | 12.36 | 8.14 | 5.21 | 4.37 | 3.46 | 2.95 | 2.47 | 2.18 | 1.99 | 1.77 | 1.64 |
| 1.25 | 31.20 | 14.70 | 8.63 | 6.25 | 4.37 | 3.48 | 3.04 | 2.63 | 2.29 | 1.97 | 1.85 | 1.68 | 1.60 |
| 1.5 | 16.26 | 8.80 | 6.37 | 4.23 | 3.53 | 3.02 | 2.51 | 2.20 | 1.94 | 1.81 | 1.71 | 1.59 | 1.48 |
| 1.75 | 8.44 | 5.37 | 4.35 | 3.26 | 2.93 | 2.50 | 2.21 | 1.97 | 1.79 | 1.69 | 1.56 | 1.47 | 1.46 |
| 2 | 5.26 | 3.91 | 3.18 | 2.66 | 2.30 | 2.12 | 1.95 | 1.85 | 1.63 | 1.51 | 1.43 | 1.43 | 1.38 |
| 2.25 | 3.37 | 2.73 | 2.35 | 2.11 | 1.92 | 1.75 | 1.67 | 1.51 | 1.50 | 1.43 | 1.37 | 1.33 | 1.25 |
| 2.5 | 2.41 | 2.07 | 1.92 | 1.73 | 1.62 | 1.63 | 1.52 | 1.45 | 1.36 | 1.39 | 1.33 | 1.24 | 1.24 |
| 2.75 | 1.72 | 1.72 | 1.54 | 1.48 | 1.47 | 1.34 | 1.35 | 1.28 | 1.32 | 1.25 | 1.21 | 1.20 | 1.19 |
| 3 | 1.42 | 1.34 | 1.33 | 1.28 | 1.30 | 1.30 | 1.24 | 1.24 | 1.19 | 1.17 | 1.16 | 1.15 | 1.13 |
| a | b | ||||||||||||
|---|---|---|---|---|---|---|---|---|---|---|---|---|---|
| 1 | 1.25 | 1.5 | 1.75 | 2 | 2.25 | 2.5 | 2.75 | 3 | 3.25 | 3.5 | 3.75 | 4 | |
| 0 | 371.13 | 80.56 | 29.22 | 14.51 | 9.41 | 6.22 | 4.63 | 3.84 | 3.02 | 2.57 | 2.25 | 2.17 | 1.88 |
| 0.25 | 326.69 | 70.36 | 28.05 | 13.81 | 8.47 | 5.83 | 4.53 | 3.53 | 2.92 | 2.50 | 2.24 | 1.97 | 1.88 |
| 0.5 | 222.40 | 59.14 | 23.22 | 12.57 | 7.86 | 5.30 | 4.01 | 3.28 | 2.82 | 2.43 | 2.23 | 1.96 | 1.85 |
| 0.75 | 129.17 | 39.18 | 18.81 | 10.13 | 6.78 | 4.84 | 4.00 | 3.17 | 2.61 | 2.32 | 2.16 | 1.88 | 1.78 |
| 1 | 65.58 | 23.70 | 12.51 | 8.22 | 5.65 | 4.39 | 3.38 | 2.81 | 2.54 | 2.25 | 2.00 | 1.80 | 1.71 |
| 1.25 | 31.82 | 15.46 | 9.08 | 6.34 | 4.69 | 3.55 | 2.99 | 2.47 | 2.23 | 2.05 | 1.81 | 1.77 | 1.64 |
| 1.5 | 16.50 | 9.28 | 6.15 | 4.76 | 3.64 | 3.03 | 2.49 | 2.30 | 2.10 | 1.87 | 1.68 | 1.61 | 1.56 |
| 1.75 | 8.97 | 5.83 | 4.30 | 3.39 | 3.01 | 2.34 | 2.24 | 1.88 | 1.80 | 1.66 | 1.57 | 1.48 | 1.46 |
| 2 | 5.08 | 3.78 | 3.19 | 2.66 | 2.36 | 2.08 | 1.96 | 1.79 | 1.63 | 1.57 | 1.51 | 1.43 | 1.37 |
| 2.25 | 3.33 | 2.66 | 2.53 | 2.19 | 1.95 | 1.81 | 1.69 | 1.56 | 1.47 | 1.41 | 1.38 | 1.34 | 1.31 |
| 2.5 | 2.37 | 2.04 | 1.90 | 1.78 | 1.70 | 1.53 | 1.50 | 1.44 | 1.36 | 1.32 | 1.27 | 1.31 | 1.23 |
| 2.75 | 1.72 | 1.71 | 1.59 | 1.50 | 1.49 | 1.44 | 1.36 | 1.36 | 1.27 | 1.24 | 1.22 | 1.21 | 1.19 |
| 3 | 1.44 | 1.43 | 1.37 | 1.31 | 1.35 | 1.30 | 1.30 | 1.22 | 1.19 | 1.18 | 1.16 | 1.14 | 1.16 |
| a | b | ||||||||||||
|---|---|---|---|---|---|---|---|---|---|---|---|---|---|
| 1 | 1.25 | 1.5 | 1.75 | 2 | 2.25 | 2.5 | 2.75 | 3 | 3.25 | 3.5 | 3.75 | 4 | |
| 0 | 372.44 | 77.84 | 28.33 | 14.09 | 8.70 | 5.85 | 4.56 | 3.48 | 2.93 | 2.59 | 2.30 | 2.00 | 1.87 |
| 0.25 | 308.73 | 71.61 | 26.26 | 14.57 | 9.26 | 6.15 | 4.32 | 3.52 | 2.92 | 2.48 | 2.20 | 1.98 | 1.87 |
| 0.5 | 251.44 | 63.97 | 24.55 | 13.34 | 7.82 | 5.84 | 4.27 | 3.53 | 2.92 | 2.47 | 2.18 | 1.95 | 1.87 |
| 0.75 | 194.19 | 51.68 | 21.28 | 11.60 | 7.64 | 5.18 | 4.22 | 3.40 | 2.83 | 2.37 | 2.10 | 1.94 | 1.80 |
| 1 | 126.91 | 37.13 | 17.74 | 9.83 | 6.47 | 4.70 | 3.81 | 3.09 | 2.75 | 2.23 | 2.10 | 1.92 | 1.79 |
| 1.25 | 72.12 | 27.71 | 13.50 | 7.89 | 5.46 | 4.52 | 3.64 | 2.88 | 2.53 | 2.16 | 1.94 | 1.75 | 1.63 |
| 1.5 | 40.55 | 18.17 | 10.45 | 6.68 | 5.18 | 3.79 | 3.16 | 2.61 | 2.32 | 2.04 | 1.87 | 1.79 | 1.64 |
| 1.75 | 25.97 | 11.60 | 7.67 | 5.51 | 4.27 | 3.32 | 2.83 | 2.57 | 2.12 | 1.92 | 1.76 | 1.59 | 1.51 |
| 2 | 14.65 | 8.97 | 5.80 | 4.17 | 3.36 | 2.91 | 2.56 | 2.30 | 1.99 | 1.83 | 1.70 | 1.55 | 1.50 |
| 2.25 | 9.48 | 5.83 | 4.48 | 3.57 | 2.86 | 2.46 | 2.28 | 2.00 | 1.86 | 1.72 | 1.61 | 1.45 | 1.39 |
| 2.5 | 6.20 | 4.30 | 3.46 | 2.95 | 2.52 | 2.22 | 2.07 | 1.84 | 1.66 | 1.57 | 1.53 | 1.42 | 1.38 |
| 2.75 | 4.23 | 3.37 | 2.78 | 2.42 | 2.10 | 1.90 | 1.79 | 1.69 | 1.58 | 1.49 | 1.46 | 1.41 | 1.35 |
| 3 | 3.27 | 2.48 | 2.31 | 2.04 | 1.89 | 1.75 | 1.67 | 1.53 | 1.49 | 1.40 | 1.32 | 1.31 | 1.27 |
| a | b | ||||||||||||
|---|---|---|---|---|---|---|---|---|---|---|---|---|---|
| 1 | 1.25 | 1.5 | 1.75 | 2 | 2.25 | 2.5 | 2.75 | 3 | 3.25 | 3.5 | 3.75 | 4 | |
| 0 | 370.54 | 77.70 | 29.56 | 14.84 | 9.36 | 6.13 | 4.53 | 3.72 | 3.09 | 2.51 | 2.31 | 1.98 | 1.87 |
| 0.25 | 337.26 | 75.36 | 29.64 | 14.69 | 9.26 | 6.27 | 4.42 | 3.64 | 2.96 | 2.50 | 2.16 | 1.97 | 1.87 |
| 0.5 | 273.39 | 69.17 | 26.64 | 12.82 | 8.02 | 5.88 | 4.42 | 3.46 | 3.00 | 2.44 | 2.16 | 1.94 | 1.86 |
| 0.75 | 202.89 | 54.29 | 22.03 | 11.90 | 7.58 | 5.57 | 4.23 | 3.37 | 2.87 | 2.36 | 2.16 | 2.02 | 1.84 |
| 1 | 124.60 | 39.58 | 17.35 | 9.97 | 6.77 | 5.32 | 3.92 | 3.20 | 2.55 | 2.33 | 2.16 | 1.93 | 1.83 |
| 1.25 | 78.04 | 26.61 | 14.87 | 8.16 | 6.27 | 4.35 | 3.58 | 2.94 | 2.55 | 2.23 | 1.92 | 1.86 | 1.71 |
| 1.5 | 45.70 | 19.12 | 10.44 | 6.92 | 5.06 | 4.01 | 3.25 | 2.67 | 2.28 | 1.99 | 1.92 | 1.76 | 1.67 |
| 1.75 | 25.59 | 12.95 | 7.85 | 5.57 | 4.46 | 3.48 | 2.92 | 2.53 | 2.18 | 1.92 | 1.77 | 1.65 | 1.53 |
| 2 | 15.94 | 8.75 | 5.59 | 4.45 | 3.58 | 2.96 | 2.57 | 2.29 | 2.10 | 1.82 | 1.67 | 1.62 | 1.48 |
| 2.25 | 9.96 | 6.14 | 4.67 | 3.71 | 3.02 | 2.61 | 2.21 | 2.07 | 1.83 | 1.81 | 1.62 | 1.54 | 1.46 |
| 2.5 | 6.44 | 4.74 | 3.55 | 2.87 | 2.47 | 2.23 | 2.06 | 1.93 | 1.76 | 1.63 | 1.56 | 1.45 | 1.39 |
| 2.75 | 4.59 | 3.54 | 2.85 | 2.47 | 2.18 | 1.91 | 1.81 | 1.68 | 1.64 | 1.48 | 1.44 | 1.41 | 1.31 |
| 3 | 3.16 | 2.58 | 2.36 | 2.09 | 1.94 | 1.77 | 1.65 | 1.55 | 1.47 | 1.37 | 1.34 | 1.33 | 1.30 |
| a | b | ||||||||||||
|---|---|---|---|---|---|---|---|---|---|---|---|---|---|
| 1 | 1.25 | 1.5 | 1.75 | 2 | 2.25 | 2.5 | 2.75 | 3 | 3.25 | 3.5 | 3.75 | 4 | |
| 0 | 370.86 | 57.12 | 23.12 | 12.50 | 8.10 | 5.47 | 3.95 | 3.41 | 2.83 | 2.55 | 2.12 | 1.98 | 1.87 |
| 0.25 | 233.34 | 55.11 | 22.16 | 12.10 | 7.86 | 5.22 | 4.02 | 3.28 | 2.66 | 2.40 | 2.18 | 1.99 | 1.76 |
| 0.5 | 193.92 | 52.54 | 20.88 | 12.01 | 7.50 | 4.96 | 3.92 | 3.25 | 2.57 | 2.31 | 2.14 | 1.83 | 1.77 |
| 0.75 | 155.75 | 40.85 | 17.86 | 10.21 | 6.81 | 4.80 | 3.60 | 3.03 | 2.57 | 2.42 | 1.99 | 1.82 | 1.74 |
| 1 | 118.61 | 35.23 | 15.91 | 9.00 | 6.29 | 4.49 | 3.67 | 3.02 | 2.56 | 2.12 | 2.00 | 1.80 | 1.65 |
| 1.25 | 74.11 | 23.64 | 13.00 | 8.24 | 5.14 | 4.05 | 3.23 | 2.98 | 2.29 | 2.10 | 1.85 | 1.71 | 1.62 |
| 1.5 | 41.96 | 18.23 | 10.36 | 6.47 | 4.71 | 3.71 | 2.90 | 2.61 | 2.36 | 1.94 | 1.77 | 1.64 | 1.59 |
| 1.75 | 26.91 | 12.99 | 7.85 | 5.45 | 3.97 | 3.17 | 2.64 | 2.44 | 2.10 | 1.86 | 1.72 | 1.62 | 1.52 |
| 2 | 17.68 | 8.84 | 6.13 | 4.56 | 3.36 | 2.87 | 2.57 | 2.19 | 1.95 | 1.83 | 1.63 | 1.52 | 1.44 |
| 2.25 | 10.49 | 6.56 | 4.77 | 3.70 | 3.05 | 2.53 | 2.25 | 1.94 | 1.85 | 1.63 | 1.60 | 1.48 | 1.45 |
| 2.5 | 6.88 | 4.78 | 3.64 | 2.99 | 2.52 | 2.18 | 2.05 | 1.78 | 1.72 | 1.58 | 1.47 | 1.42 | 1.35 |
| 2.75 | 4.72 | 3.67 | 3.00 | 2.51 | 2.23 | 2.02 | 1.86 | 1.71 | 1.60 | 1.50 | 1.42 | 1.38 | 1.30 |
| 3 | 3.52 | 2.86 | 2.47 | 2.12 | 1.90 | 1.81 | 1.60 | 1.56 | 1.46 | 1.43 | 1.33 | 1.31 | 1.28 |
4.3. Application Scheme
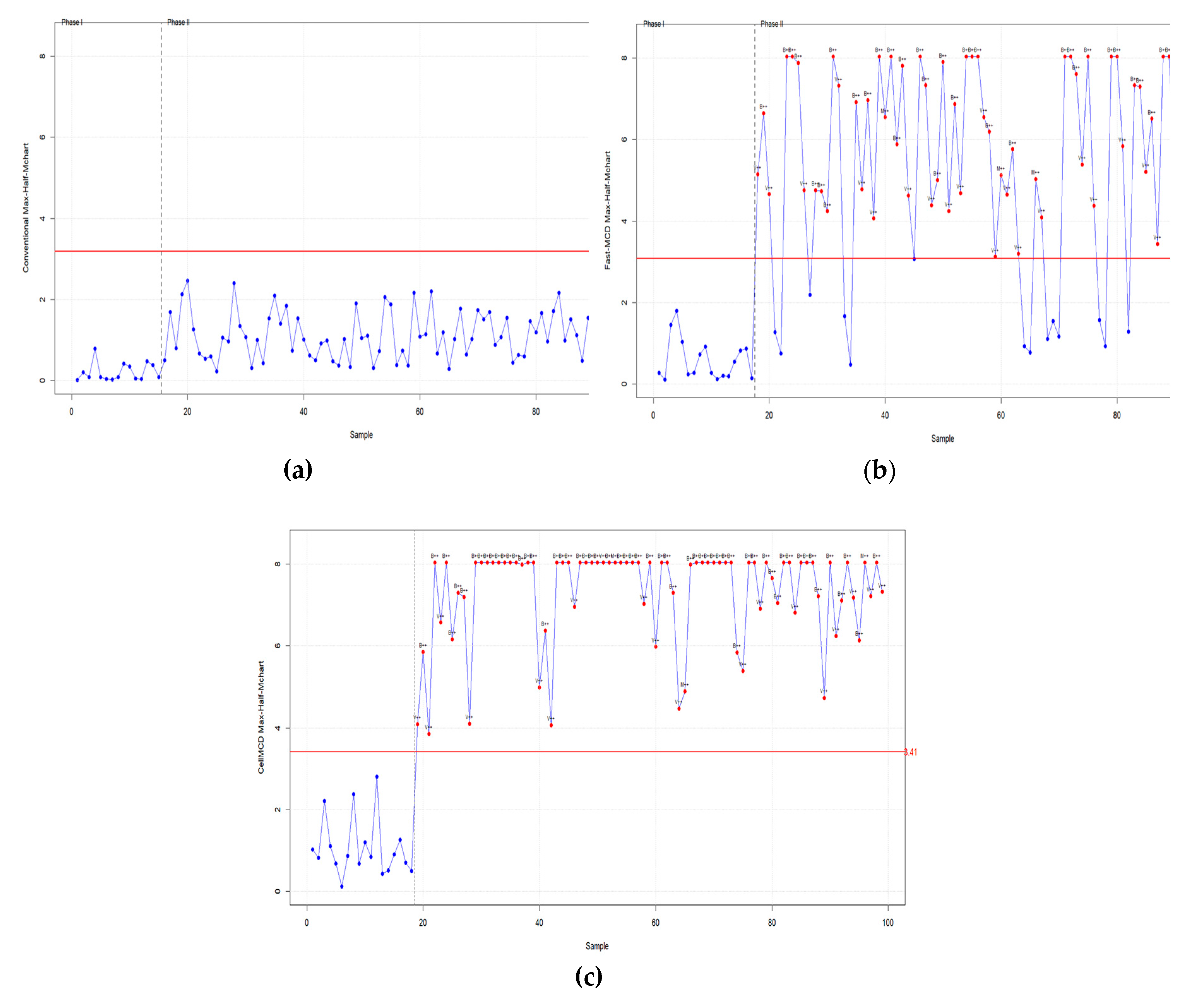
4.3.1. Application to Synthetic Data
4.3.2. Application to Data Real
| Control Chart | Out-of-Control | Mean Shift | Variability Shift |
|---|---|---|---|
| Max-Half-Mchart | 2 | 2 | 0 |
| Robust Max-Half-Mchart Based on Fast-MCD |
5 | 3 | 2 |
| Robust Max-Half-Mchart Based on cell-MCD |
7 | 4 | 3 |
5. Conclusions and Future Research
Author Contributions
Funding
Institutional Review Board Statement
Informed Consent Statement
Data Availability Statement
Acknowledgments
Conflicts of Interest
References
- D. C. Montgomery, Introduction to Statistical Quality Control. New York: John Wiley & Sons, 2020.
- W. Andrew. Shewhart, Economic Control of Quality of Manufactured Product. Books On Demand, 1931.
- H. Hotelling, “Multivariate Quality Control Illustrated by Air Testing of Sample Bombsights,” Techniques of Statistical Analysis, pp. 111–184, 1947.
- W. H. Woodall and M. M. Ncube, “Multivariate CUSUM Quality-Control Procedures,” Technometrics, vol. 27, no. 3, p. 285, Aug. 1985. [CrossRef]
- C. A. Lowry, W. H. Woodall, C. W. Champ, and S. E. Rigdon, “A Multivariate Exponentially Weighted Moving Average Control Chart,” Technometrics, vol. 34, no. 1, p. 46, Feb. 1992. [CrossRef]
- M. B. C. Khoo and S. H. Quah, “Multivariate control chart for process dispersion based on individual observations,” Qual. Eng., vol. 15, no. 4, pp. 639–642, Jun. 2003. [CrossRef]
- M. A. Djauhari, “Improved Monitoring of Multivariate Process Variability,” Journal of Quality Technology, vol. 37, no. 1, pp. 32–39, Jan. 2005. [CrossRef]
- M. A. Djauhari, M. Mashuri, and D. E. Herwindiati, “Multivariate Process Variability Monitoring,” Commun. Stat. Theory Methods, vol. 37, no. 11, pp. 1742–1754, May 2008. [CrossRef]
- M. A. Djauhari, “A Multivariate Process Variability Monitoring Based on Individual Observations,” 2010. [Online]. Available: www.ccsenet.org/mas.
- M. F. Sindelar, “Multivariate Statistical Process Control for Correlation Matrices,” Pittsburgh, PA, 2007.
- M. Mashuri, H. Haryono, D. F. Aksioma, W. Wibawati, M. Ahsan, and H. Khusna, “Tr(R2) Control Charts Based on Kernel Density Estimation for Monitoring Multivariate Variability Process,” Cogent Eng., vol. 6, no. 1, Jan. 2019. [CrossRef]
- E. M. White and R. Schroeder, “A Simultaneous Control Chart,” Journal of Quality Technology, vol. 19, no. 1, pp. 1–10, Jan. 1987. [CrossRef]
- G. Chen and S. W. Cheng, “MAX CHART: COMBINING X-BAR CHART AND S CHART,” 1998. [Online]. Available: http://about.jstor.org/terms.
- M. B. C. Khoo, “A new bivariate control chart to monitor the multivariate process mean and variance simultaneously,” Qual. Eng., vol. 17, no. 1, pp. 109–118, Jan. 2005. [CrossRef]
- K. Thaga and L. Gabaitiri, “Multivariate Max-Chart,” Economic Quality Control, vol. 21, no. 1, pp. 113–125, 2006.
- H. Sabahno, A. Amiri, and P. Castagliola, “A new adaptive control chart for the simultaneous monitoring of the mean and variability of multivariate normal processes,” Comput. Ind. Eng., vol. 151, Jan. 2021. [CrossRef]
- R. Kruba, M. Mashuri, and D. D. Prastyo, “The effectiveness of Max-half-Mchart over Max-Mchart in simultaneously monitoring process mean and variability of individual observations,” Qual. Reliab. Eng. Int., vol. 37, no. 6, pp. 2334–2347, Oct. 2021. [CrossRef]
- R. Kruba, M. Mashuri, and D. D. Prastyo, “Max-Half-Mchart: A Simultaneous Control Chart Using a Half-Normal Distribution for Subgroup Observations,” IEEE Access, vol. 9, pp. 105369–105381, 2021. [CrossRef]
- D. M. Rocke, “Robust control charts,” Technometrics, vol. 31, no. 2, pp. 173–184, 1989. [CrossRef]
- S. M. Bendre and B. K. Kale, “Masking effect on tests for outliers in normal samples,” 1987. [Online]. Available: http://biomet.oxfordjournals.org/.
- A. S. Hadi, A. H. M. Rahmatullah Imon, and M. Werner, “Detection of outliers,” WIREs Comp Stat, vol. 1, pp. 57–70, 2009. [CrossRef]
- P. J. Rousseeuw, “Multivariate Estimation with High Breakdown Point,” Mathematical Statistics and Applications (Vol. B), 1985.
- P. J. Rousseeuw and K. Van Driessen, “A fast algorithm for the minimum covariance determinant estimator,” Technometrics, vol. 41, no. 3, pp. 212–223, 1999. [CrossRef]
- G. Willems, G. Pison, P. J. Rousseeuw, and S. Van Aelst, “A robust Hotelling test,” Metrika, vol. 55, no. 1–2, pp. 125–138.
- M. Hubert, P. J. Rousseeuw, and T. Verdonck, “A deterministic algorithm for robust location and scatter,” Journal of Computational and Graphical Statistics, vol. 21, no. 3, pp. 618–637, 2012. [CrossRef]
- K. Boudt, P. J. Rousseeuw, S. Vanduffel, and T. Verdonck, “The minimum regularized covariance determinant estimator,” Stat. Comput., vol. 30, no. 1, pp. 113–128, Feb. 2020. [CrossRef]
- J. Schreurs, I. Vranckx, M. Hubert, J. A. K. Suykens, and P. J. Rousseeuw, “Outlier detection in non-elliptical data by kernel MRCD,” Stat. Comput., vol. 31, no. 5, Sep. 2021. [CrossRef]
- F. Alqallaf, S. Van Aelst, V. J. Yohai, and R. H. Zamar, “Propagation of outliers in multivariate data,” Ann. Stat., vol. 37, no. 1, pp. 311–331, Feb. 2009. [CrossRef]
- P. J. Rousseeuw and W. Van Den Bossche, “Detecting Deviating Data Cells,” Technometrics, vol. 60, no. 2, pp. 135–145, Apr. 2018. [CrossRef]
- V. Öllerer and C. Croux, “Robust High-Dimensional Precision Matrix Estimation,” in Modern Nonparametric, Robust and Multivariate Methods, Cham: Springer International Publishing, 2015, pp. 325–350. [CrossRef]
- V. Öllerer, A. Alfons, and C. Croux, “The shooting S-estimator for robust regression,” Comput. Stat., vol. 31, no. 3, pp. 829–844, Sep. 2016. [CrossRef]
- G. Tarr, S. Müller, and N. C. Weber, “Robust estimation of precision matrices under cellwise contamination,” Comput. Stat. Data Anal., vol. 93, pp. 404–420, Jan. 2016. [CrossRef]
- J. Raymaekers and P. J. Rousseeuw, “Fast Robust Correlation for High-Dimensional Data,” Technometrics, vol. 63, no. 2, pp. 184–198, 2021. [CrossRef]
- J. Raymaekers and P. J. Rousseeuw, “The Cellwise Minimum Covariance Determinant Estimator,” J. Am. Stat. Assoc., vol. 119, no. 548, pp. 2610–2621, 2024. [CrossRef]
- A. P. Dempster, N. M. Laird, and D. B. Rubin, “Maximum Likelihood from Incomplete Data Via the EM Algorithm,” J. R. Stat. Soc. Series B Stat. Methodol., vol. 39, no. 1, pp. 1–22, Sep. 1977. [CrossRef]
- R. Little and D. Rubin, Statistical Analysis with Missing Data, Third Edition. Wiley, 2019. [CrossRef]
- J. Raymaekers and P. Rousseeuw, “Handling Cellwise Outliers by Sparse Regression and Robust Covariance,” Journal of Data Science, Statistics, and Visualisation, vol. 1, no. 3, Dec. 2021. [CrossRef]
- A. P. R. Sembada, M. Ahsan, and W. Wibawati, “Advanced process monitoring in ordinary portland cement (OPC) data using robust Max-Half-Mchart control charts with Fast-MCD and Dxcet-MCD estimators,” 2025, p. 050006. [CrossRef]
- M. Ahsan, M. Mashuri, H. Kuswanto, and D. D. Prastyo, “Intrusion Detection System Using Multivariate Control Chart Hotelling’s T2 Based on PCA,” Int. J. Adv. Sci. Eng. Inf. Technol., vol. 8, no. 5, pp. 1905–1911, Oct. 2018. [CrossRef]
- S. Hidayatulloh, M. A. Mustajab, and Y. Ramdhani, “PENGGUNAAN OTIMASI ATRIBUT DALAM PENINGKATAN AKURASI PREDIKSI DEEP LEARNING PADA BIKE SHARING DEMAND,” INFOTECH journal, vol. 9, no. 1, pp. 54–61, Feb. 2023. [CrossRef]
- J. Raymaekers and P. Rousseeuw, “cellWise: Analyzing Data with Cellwise Outliers,” Dec. 07, 2016. [CrossRef]
- M. Ahsan, A. P. S. R, M. Mashuri, W. Wibawati, D. A. Safira, and M. H. Lee, “Robust Maximum Half-Normal Multivariate Control Chart,” Feb. 12, 2026. [CrossRef]
- J. Kalina and J. Tichavský, “The minimum weighted covariance determinant estimator for high-dimensional data,” Adv. Data Anal. Classif., vol. 16, no. 4, pp. 977–999, Dec. 2022. [CrossRef]
- F. Centofanti, M. Hubert, and P. J. Rousseeuw, “Cellwise and Casewise Robust Covariance in High Dimensions,” May 2025, [Online]. Available: http://arxiv.org/abs/2505.19925.
- M. Ahsan, H. Khusna, Wibawati, and M. H. Lee, “Support vector data description with kernel density estimation (SVDD-KDE) control chart for network intrusion monitoring,” Sci. Rep., vol. 13, no. 1, p. 19149, Nov. 2023. [CrossRef]
- Sulistiawanti Nur, M. Ahsan, and H. Khusna, “Multivariate Exponentially Weighted Moving Average (MEWMA) and Multivariate Exponentially Weighted Moving Variance (MEWMV) Chart Based on Residual XGBoost Regression for Monitoring Water Quality,” Engineering Letters, vol. 31, no. 3, pp. 1001–1008, 2023.
- I. M. P. Loka, M. Ahsan, and W. Wibawati, “Comparing the performance of Max-Mchart, Max-Half-Mchart, and kernel-based Max-Mchart for individual observation in monitoring cement quality,” 2025, p. 050012. [CrossRef]










| ρ | %Out | Conventional Max-Half-Mchart | |||
|---|---|---|---|---|---|
| Accuracy | FP Rate | FN Rate | AUC | ||
| 0.3 | 5 | 0.6278 | 0.0000 | 0.9273 | 0.5363 |
| 10 | 0.3532 | 0.0000 | 0.9926 | 0.5037 | |
| 15 | 0.1977 | 0.0000 | 0.9992 | 0.5004 | |
| 20 | 0.1069 | 0.0000 | 0.9999 | 0.5001 | |
| 0.5 | 5 | 0.6366 | 0.0000 | 0.9044 | 0.5478 |
| 10 | 0.3559 | 0.0000 | 0.9892 | 0.5054 | |
| 15 | 0.1975 | 0.0000 | 0.9985 | 0.5007 | |
| 20 | 0.1076 | 0.0000 | 0.9997 | 0.5002 | |
| 0.7 | 5 | 0.6557 | 0.0000 | 0.8579 | 0.5710 |
| 10 | 0.3602 | 0.0000 | 0.9823 | 0.5089 | |
| 15 | 0.1984 | 0.0000 | 0.9975 | 0.5013 | |
| 20 | 0.1081 | 0.0000 | 0.9994 | 0.5003 | |
| ρ | %Out | Fast-MCD–based Max-Half-Mchart | |||
|---|---|---|---|---|---|
| Accuracy | FP Rate | FN Rate | AUC | ||
| 0.3 | 5 | 0.9150 | 0.0025 | 0.2080 | 0.8948 |
| 10 | 0.8262 | 0.0008 | 0.2660 | 0.8666 | |
| 15 | 0.4353 | 0.0000 | 0.7018 | 0.6491 | |
| 20 | 0.2131 | 0.0000 | 0.8816 | 0.5592 | |
| 0.5 | 5 | 0.9559 | 0.0025 | 0.1059 | 0.9458 |
| 10 | 0.9390 | 0.0019 | 0.0925 | 0.9528 | |
| 15 | 0.7933 | 0.0001 | 0.2571 | 0.8714 | |
| 20 | 0.6166 | 0.0000 | 0.4293 | 0.7853 | |
| 0.7 | 5 | 0.9896 | 0.0025 | 0.0222 | 0.9877 |
| 10 | 0.9882 | 0.0023 | 0.0169 | 0.9904 | |
| 15 | 0.9067 | 0.0009 | 0.1160 | 0.9416 | |
| 20 | 0.8119 | 0.0002 | 0.2107 | 0.8945 | |
| ρ | %Out | cellMCD–based Max-Half-Mchart | |||
|---|---|---|---|---|---|
| Accuracy | FP Rate | FN Rate | AUC | ||
| 0.3 | 5 | 0.9073 | 0.0019 | 0.2279 | 0.8851 |
| 10 | 0.8741 | 0.0015 | 0.1924 | 0.9031 | |
| 15 | 0.8764 | 0.0010 | 0.1535 | 0.9227 | |
| 20 | 0.8956 | 0.0008 | 0.1167 | 0.9413 | |
| 0.5 | 5 | 0.9495 | 0.0018 | 0.1231 | 0.9375 |
| 10 | 0.9301 | 0.0014 | 0.1064 | 0.9461 | |
| 15 | 0.9297 | 0.0011 | 0.0872 | 0.9558 | |
| 20 | 0.9400 | 0.0009 | 0.0671 | 0.9660 | |
| 0.7 | 5 | 0.9885 | 0.0020 | 0.0258 | 0.9861 |
| 10 | 0.9838 | 0.0015 | 0.0241 | 0.9872 | |
| 15 | 0.9836 | 0.0011 | 0.0202 | 0.9894 | |
| 20 | 0.9862 | 0.0011 | 0.0153 | 0.9918 | |
| a | b | ||||||||||||
|---|---|---|---|---|---|---|---|---|---|---|---|---|---|
| 1 | 1.25 | 1.5 | 1.75 | 2 | 2.25 | 2.5 | 2.75 | 3 | 3.25 | 3.5 | 3.75 | 4 | |
| 0 | 371.18 | 62.39 | 23.23 | 12.83 | 7.76 | 5.59 | 4.28 | 3.40 | 2.85 | 2.44 | 2.07 | 2.01 | 1.82 |
| 0.25 | 263.72 | 59.82 | 23.67 | 12.23 | 7.66 | 5.40 | 4.14 | 3.20 | 2.72 | 2.45 | 2.11 | 1.94 | 1.69 |
| 0.5 | 183.27 | 49.78 | 19.93 | 10.88 | 6.99 | 5.14 | 3.86 | 3.05 | 2.71 | 2.26 | 2.08 | 1.86 | 1.75 |
| 0.75 | 118.93 | 35.40 | 16.55 | 9.75 | 6.47 | 4.51 | 3.53 | 2.91 | 2.71 | 2.35 | 2.01 | 1.81 | 1.74 |
| 1 | 59.12 | 23.33 | 11.85 | 7.44 | 5.13 | 4.04 | 3.25 | 2.74 | 2.39 | 2.02 | 1.90 | 1.74 | 1.61 |
| 1.25 | 32.83 | 14.73 | 8.24 | 5.73 | 4.33 | 3.46 | 2.89 | 2.50 | 2.27 | 1.96 | 1.78 | 1.69 | 1.54 |
| 1.5 | 18.20 | 9.49 | 5.98 | 4.63 | 3.41 | 2.86 | 2.45 | 2.20 | 1.91 | 1.76 | 1.73 | 1.57 | 1.47 |
| 1.75 | 9.47 | 6.08 | 4.09 | 3.47 | 2.75 | 2.42 | 2.11 | 1.94 | 1.76 | 1.61 | 1.55 | 1.45 | 1.41 |
| 2 | 5.47 | 3.99 | 3.19 | 2.83 | 2.36 | 2.14 | 1.89 | 1.71 | 1.66 | 1.56 | 1.47 | 1.41 | 1.35 |
| 2.25 | 3.45 | 2.85 | 2.51 | 2.16 | 1.83 | 1.83 | 1.68 | 1.55 | 1.50 | 1.43 | 1.35 | 1.30 | 1.25 |
| 2.5 | 2.53 | 2.03 | 1.90 | 1.74 | 1.66 | 1.61 | 1.45 | 1.42 | 1.38 | 1.32 | 1.33 | 1.26 | 1.20 |
| 2.75 | 1.80 | 1.68 | 1.58 | 1.53 | 1.43 | 1.40 | 1.34 | 1.29 | 1.26 | 1.24 | 1.21 | 1.21 | 1.16 |
| 3 | 1.46 | 1.40 | 1.40 | 1.38 | 1.30 | 1.28 | 1.22 | 1.22 | 1.19 | 1.17 | 1.14 | 1.15 | 1.13 |
| Max-Half-Mchart | Scenario | Evaluation Metrics | |||
|---|---|---|---|---|---|
| Accuracy | FP Rate | FN Rate | AUC | ||
| Conventional | 1 | 0.6263 | 0.0000 | 0.9024 | 0.5488 |
| 2 | 0.1515 | 0.0000 | 1.0000 | 0.5000 | |
| Fast-MCD | 1 | 0.9798 | 0.0000 | 0.0541 | 0.9730 |
| 2 | 0.8182 | 0.0000 | 0.2195 | 0.8902 | |
| cellMCD | 1 | 0.9899 | 0.0182 | 0.0000 | 0.9909 |
| 2 | 0.9899 | 0.0000 | 0.0122 | 0.9939 | |
Disclaimer/Publisher’s Note: The statements, opinions and data contained in all publications are solely those of the individual author(s) and contributor(s) and not of MDPI and/or the editor(s). MDPI and/or the editor(s) disclaim responsibility for any injury to people or property resulting from any ideas, methods, instructions or products referred to in the content. |
© 2026 by the authors. Licensee MDPI, Basel, Switzerland. This article is an open access article distributed under the terms and conditions of the Creative Commons Attribution (CC BY) license.