Preprint
Article

This version is not peer-reviewed.

Generalized Quasi-Continuities of Multifunctions on Bitopological Spaces

Submitted:

12 February 2026

Posted:

13 February 2026

You are already at the latest version

Abstract
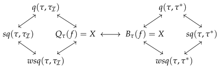
The aim of the article is to introduce a few variants of generalized quasi-continuity of multifunctions defined on a bitopological space and to study their mutual relationship. The results known for functions are extended to multifunctions which provide a wider range of relationships, mainly in terms of upper and lower semi continuities and corresponding continuities with respect to a dual bitopology. The proof procedures are based on a notion of pseudo refinement of two topologies and the Baire property in a bitopological space. A characterization of some continuities depending on two topologies by continuities depending only on one topology and the structure of the sets of semi discontinuity points are given. The end of the article is dedicated to several interpretations that facilitate and clarify orientation in the achieved results.
Keywords: 
;  ;  ;  ;  ;  ;  ;  ;  
Copyright: This open access article is published under a Creative Commons CC BY 4.0 license, which permit the free download, distribution, and reuse, provided that the author and preprint are cited in any reuse.
Prerpints.org logo

Preprints.org is a free preprint server supported by MDPI in Basel, Switzerland.

Subscribe

Disclaimer

Terms of Use

Privacy Policy

Privacy Settings

© 2026 MDPI (Basel, Switzerland) unless otherwise stated