Submitted:
12 February 2026
Posted:
12 February 2026
You are already at the latest version
Abstract

Keywords:
1. Introduction
- To identify the most suitable Non-Photosynthetic Vegetation (NPV) index for detecting dieback in subalpine grasslands of the Hrubý Jeseník Mountains.
- To perform a retrospective analysis using archival satellite imagery to determine the onset and progression of dieback events, their spatial localization and extent, as well as the post-event recovery dynamics of subalpine grasslands.
- To evaluate the influence of climate extremes and geomorphology on the spatiotemporal distribution of dieback events, including the relative contribution of factors to explaining the phenomenon.
2. Materials and Methods
2.1. Study Area
2.2. Climate Data
2.3. Construction of a Harmonized Multi-Sensor Surface Reflectance Time Series (1984–2024)
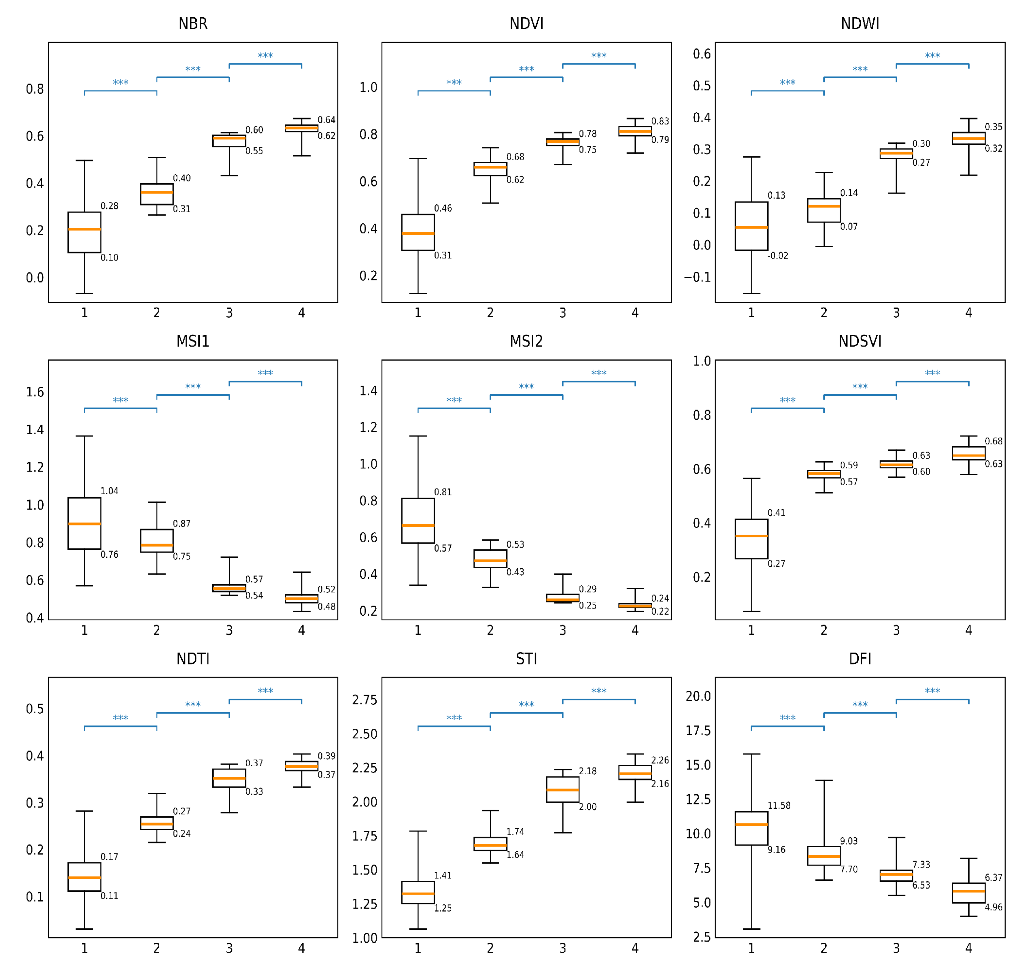
2.4. Selection, Validation, and Thresholding of the Optimal NPV Index
2.5. Geomorphological Feature Analysis
2.6. Declaration on the Use of Artificial Intelligence
3. Results
3.1. Retrospective Detection and Mapping of Dieback Events
- Two short-term events (2000, 2003) characterized by rapid desiccation of grassland vegetation followed by regeneration mainly within the same growing season. These events likely affected primarily aboveground biomass, with root systems remaining mainly intact.
- Two long-term events (2012, 2019) involving complete dieback of grass cover and accumulation of undecomposed biomass, resulting in multi-year persistence of degraded conditions and slow regeneration.
3.2. Seasonal Changes in NBR Values
3.3. Role of Geomorphological Factors
3.4. Role of Climate Extremes
4. Discussion
5. Conclusions
Supplementary Materials
Author Contributions
Funding
Data Availability Statement
Acknowledgments
Conflicts of Interest
Abbreviations
| ANOVA | Analysis of variance |
| CHMI | Czech Hydrometeorological Institute |
| ČÚZK | Czech Office for Surveying, Mapping and Cadastre |
| DEM | Digital elevation model |
| DFI | Dead Fuel Index |
| ETM+ | Enhanced Thematic Mapper Plus |
| GEE | Google Earth Engine |
| HLS | Harmonized Landsat and Sentinel-2 framework |
| INSPIRE | Infrastructure for Spatial information in the European Community |
| L(5,7,8,9) | Landsat (5,7,8,9) |
| MSI | Moisture Stress Index |
| MSI A/B | Multispectral Imager A/B |
| NASA | The National Aeronautics and Space Administration |
| NBR | Normalized Burn Ratio |
| NDFI | Normalized Difference Fraction Index |
| NDSVI | Normalized Difference Senescent Vegetation Index |
| NDTI | Normalized Difference Tillage Index |
| NDVI | Normalized Difference Vegetation Index |
| NDWI | Normalized Difference Water Index |
| NIR | Near infrared |
| NPV | Non-Photosynthetic Vegetation |
| OLI | Operational Land Imager |
| PV | Photosynthetic Vegetation |
| RGB | Red, Green, Blue |
| RMSE | Root Mean Squared Error |
| S2 | Sentinel-2 |
| SCL | Scene Classification Layer |
| SPEI | Standardized Precipitation Evapotranspiration Index |
| STI | Soil Tillage Index |
| SWIR | Short-wave infrared |
| TM | Thematic Mapper |
| TPI | Topographic Position Index |
| TWI | Topographic Wetness Index |
| USGS | United States Geological Survey |
References
- Grabherr, G.; Gottfried, M.; Pauli, H. Climate change impacts in alpine environments. Geogr. Compass 2010, 4, 1133–1153. [Google Scholar] [CrossRef]
- Gobiet, A.; Kotlarski, S.; Beniston, M.; Heinrich, G.; Rajczak, J.; Stoffel, M. 21st century climate change in the European Alps—A review. Sci. Total Environ. 2014, 493, 1138–1151. [Google Scholar] [CrossRef]
- Körner, C.; Hiltbrunner, E. Why is the alpine flora comparatively robust against climatic warming? Diversity 2021, 13, 383. [Google Scholar] [CrossRef]
- Calvin, K.; Dasgupta, D.; Krinner, G.; Mukherji, A.; Thorne, P.W.; Trisos, C.; et al. IPCC, 2023: Climate Change 2023: Synthesis Report. Contribution of Working Groups I, II and III to the Sixth Assessment Report of the Intergovernmental Panel on Climate Change; IPCC: Geneva, Switzerland, 2023. [Google Scholar] [CrossRef]
- Peringer, A.; Frank, V.; Snell, R.S. Climate change simulations in Alpine summer pastures suggest a disruption of current vegetation zonation. Glob. Ecol. Conserv. 2022, 37, e02140. [Google Scholar] [CrossRef]
- Leonelli, G.; Pelfini, M.; Morra Di Cella, U.; Garavaglia, V. Climate warming and the recent treeline shift in the European Alps: The role of geomorphological factors in high-altitude sites. AMBIO 2011, 40, 264–273. [Google Scholar] [CrossRef]
- Potůčková, M.; Kupková, L.; Červená, L.; et al. Towards resolving conservation issues through historical aerial imagery: Vegetation cover changes in the Central European tundra. Biodivers. Conserv. 2021, 30, 3433–3455. [Google Scholar] [CrossRef]
- Vitasse, Y.; Ursenbacher, S.; Klein, G.; et al. Phenological and elevational shifts of plants, animals and fungi under climate change in the European Alps. Biol. Rev. 2021, 96, 1816–1835. [Google Scholar] [CrossRef] [PubMed]
- Zeidler, M.; Husek, V.; Banaš, M.; Krahulec, F. Homogenization and species compositional shifts in subalpine vegetation during the 60-year period. Acta Soc. Bot. Pol. 2023, 92, 171689. [Google Scholar] [CrossRef]
- Engler, R.; Randin, C.F.; Thuiller, W.; et al. 21st century climate change threatens mountain flora unequally across Europe: Climate change impacts on mountain florae. Glob. Change Biol. 2011, 17, 2330–2341. [Google Scholar] [CrossRef]
- Jiménez-Alfaro, B.; Gavilán, R.G.; Escudero, A.; Iriondo, J.M.; Fernández-González, F. Decline of dry grassland specialists in Mediterranean high-mountain communities influenced by recent climate warming. J. Veg. Sci. 2014, 25, 1394–1404. [Google Scholar] [CrossRef]
- Boutin, M.; Corcket, E.; Alard, D.; et al. Nitrogen deposition and climate change have increased vascular plant species richness and altered the composition of grazed subalpine grasslands. J. Ecol. 2017, 105, 1199–1209. [Google Scholar] [CrossRef]
- Hoyle, G.L.; Venn, S.E.; Steadman, K.J.; et al. Soil warming increases plant species richness but decreases germination from the alpine soil seed bank. Glob. Change Biol. 2013, 19, 1549–1561. [Google Scholar] [CrossRef]
- Doležal, J.; Altman, J.; Jandová, V.; et al. Climate warming and extended droughts drive establishment and growth dynamics in temperate grassland plants. Agric. For. Meteorol. 2022, 313, 108762. [Google Scholar] [CrossRef]
- Breidenbach, A.; Schleuss, P.M.; Liu, S.; et al. Microbial functional changes mark irreversible course of Tibetan grassland degradation. Nat. Commun. 2022, 13, 2681. [Google Scholar] [CrossRef] [PubMed]
- Hafeez, F.; Clément, J.; Bernard, L.; Poly, F.; Pommier, T. Early spring snowmelt and summer droughts strongly impair the resilience of bacterial community and N cycling functions in a subalpine grassland ecosystem. Oikos 2023, 2023, e09836. [Google Scholar] [CrossRef]
- Seneviratne, S.I.; Zhang, X.; Adnan, M.; et al. Weather and climate extreme events in a changing climate. In Climate Change 2021: The Physical Science Basis: Working Group I Contribution to the Sixth Assessment Report of the Intergovernmental Panel on Climate Change; Masson-Delmotte, V.P., Zhai, A., Pirani, S.L., Connors, C., Eds.; Cambridge University Press: Cambridge, UK, 2021; pp. 1513–1766. [Google Scholar] [CrossRef]
- Dai, A. Increasing drought under global warming in observations and models. Nat. Clim. Chang. 2013, 3, 52–58. [Google Scholar] [CrossRef]
- Rumpf, S.B.; Gravey, M.; Brönnimann, O.; et al. From white to green: Snow cover loss and increased vegetation productivity in the European Alps. Science 2022, 376, 1119–1122. [Google Scholar] [CrossRef] [PubMed]
- Van Der Schrier, G.; Efthymiadis, D.; Briffa, K.R.; Jones, P.D. European Alpine moisture variability for 1800–2003. Int. J. Climatol. 2007, 27, 415–427. [Google Scholar] [CrossRef]
- Bayat, B.; Van Der Tol, C.; Verhoef, W. Remote sensing of grass response to drought stress using spectroscopic techniques and canopy reflectance model inversion. Remote Sens. 2016, 8, 557. [Google Scholar] [CrossRef]
- Gu, L.; Hanson, P.J.; Post, W.M.; et al. The 2007 Eastern US spring freeze: Increased cold damage in a warming world? BioScience 2008, 58, 253–262. [Google Scholar] [CrossRef]
- Lubbe, F.C.; Bitomský, M.; Hajek, T.; et al. A tale of two grasslands: How belowground storage organs coordinate their traits with water-use traits. Plant Soil 2021, 465, 533–548. [Google Scholar] [CrossRef]
- Buttler, A.; Teuscher, R.; Deschamps, N.; et al. Impacts of snow-farming on alpine soil and vegetation: A case study from the Swiss Alps. Sci. Total Environ. 2023, 903, 166225. [Google Scholar] [CrossRef] [PubMed]
- Gavazov, K.; Ingrisch, J.; Hasibeder, R.; et al. Winter ecology of a subalpine grassland: Effects of snow removal on soil respiration, microbial structure and function. Sci. Total Environ. 2017, 590–591, 316–324. [Google Scholar] [CrossRef]
- Möhl, P.; Vorkauf, M.; Kahmen, A.; Hiltbrunner, E. Recurrent summer drought affects biomass production and community composition independently of snowmelt manipulation in alpine grassland. J. Ecol. 2023, 111, 2357–2375. [Google Scholar] [CrossRef]
- De Boeck, H.J.; Bassin, S.; Verlinden, M.; Zeiter, M.; Hiltbrunner, E. Simulated heat waves affected alpine grassland only in combination with drought. New Phytol. 2016, 209, 531–541. [Google Scholar] [CrossRef]
- Niu, Q.; Jin, G.; Yin, S.; Gan, L.; Yang, Z.; Dorji, T.; Shen, M. Transcriptional Changes Underlying the Degradation of Plant Community in Alpine Meadow Under Seasonal Warming Impact. Plant Cell Environ. 2025, 48, 526–536. [Google Scholar] [CrossRef] [PubMed]
- Niu, Y.; Schuchardt, M.A.; Von Heßberg, A.; Jentsch, A. Stable plant community biomass production despite species richness collapse under simulated extreme climate in the European Alps. Sci. Total Environ. 2023, 864, 161166. [Google Scholar] [CrossRef] [PubMed]
- Steinbauer, K.; Lamprecht, A.; Semenchuk, P.; Winkler, M.; Pauli, H. Dieback and expansions: Species-specific responses during 20 years of amplified warming in the high Alps. Alp. Bot. 2020, 130, 1–11. [Google Scholar] [CrossRef]
- Büntgen, U.; Urban, O.; Krusic, P.J.; et al. Recent European drought extremes beyond common era background variability. Nat. Geosci. 2021, 14, 190–196. [Google Scholar] [CrossRef]
- Trnka, M.; Brázdil, R.; Možný, M.; et al. Soil moisture trends in the Czech Republic between 1961 and 2012. Int. J. Climatol. 2015, 35, 3733–3747. [Google Scholar] [CrossRef]
- Řehoř, J.; Brázdil, R.; Trnka, M.; et al. Effects of climatic and soil data on soil drought monitoring based on different modelling schemes. Atmosphere 2021, 12, 913. [Google Scholar] [CrossRef]
- Řehoř, J.; Brázdil, R.; Trnka, M.; et al. Flash droughts in Central Europe and their circulation drivers. Clim. Dyn. 2024, 62, 1107–1121. [Google Scholar] [CrossRef]
- Ciais, P.; Reichstein, M.; Viovy, N.; et al. Europe-wide reduction in primary productivity caused by the heat and drought in 2003. Nature 2005, 437, 529–533. [Google Scholar] [CrossRef] [PubMed]
- Stanik, N.; Peppler-Lisbach, C.; Rosenthal, G. Extreme droughts in oligotrophic mountain grasslands cause substantial species abundance changes and amplify community filtering. Appl. Veg. Sci. 2021, 24, e12617. [Google Scholar] [CrossRef]
- Ionita, M.; Tallaksen, L.M.; Kingston, D.G.; et al. The European 2015 drought from a climatological perspective. Hydrol. Earth Syst. Sci. 2017, 21, 1397–1419. [Google Scholar] [CrossRef]
- Hari, V.; Rakovec, O.; Markonis, Y.; Hanel, M.; Kumar, R. Increased future occurrences of the exceptional 2018–2019 Central European drought under global warming. Sci. Rep. 2020, 10, 12207. [Google Scholar] [CrossRef] [PubMed]
- Kowalski, K.; Okujeni, A.; Brell, M.; Hostert, P. Quantifying drought effects in Central European grasslands through regression-based unmixing of intra-annual Sentinel-2 time series. Remote Sens. Environ. 2022, 268, 112781. [Google Scholar] [CrossRef]
- Bevacqua, E.; Rakovec, O.; Schumacher, D.L.; et al. Direct and lagged climate change effects intensified the 2022 European drought. Nat. Geosci. 2024, 17, 1100–1107. [Google Scholar] [CrossRef]
- Gyalus, A.; Bertalan, L.; Csonka, A.C.; et al. Nearby woody patches and microtopography reduce grass dieback during extreme drought. Glob. Ecol. Conserv. 2025, 60, e03596. [Google Scholar] [CrossRef]
- Griffin, P.C.; Hoffmann, A.A. Mortality of Australian alpine grasses (Poa spp.) after drought: Species differences and ecological patterns. J. Plant Ecol. 2012, 5, 121–133. [Google Scholar] [CrossRef]
- Vymazalová, M.; Fabšičová, M.; Mrázková, M.; Hédl, R.; Kachalova, O. Spontaneous regeneration of subalpine grasslands after large-scale dieback events. Ecosystems submitted. 2026. [Google Scholar]
- Mrázková-Štýbnarová, M.; Kolářová, M.; Štencl, R.; et al. Revitalising subalpine grasslands: Floristic shifts under renewed grazing. Plant Soil Environ. 2025, 71, 338–352. [Google Scholar] [CrossRef]
- Szabó, P.; Bobek, P.; Dudová, L.; Hédl, R. From oxen to tourists: The management history of subalpine grasslands in the Sudeten mountains and its significance for nature conservation. Anthropocene Rev. 2025, 12, 18–34. [Google Scholar] [CrossRef]
- Dennison, P.E.; Qi, Y.; Meerdink, S.K.; et al. Comparison of methods for modeling fractional cover using simulated satellite hyperspectral imager spectra. Remote Sens. 2019, 11, 2072. [Google Scholar] [CrossRef]
- Bai, X.; Zhao, W.; Ji, S.; Qiao, R.; Dong, C.; Chang, X. Estimating fractional cover of non-photosynthetic vegetation for various grasslands based on CAI and DFI. Ecol. Indic. 2021, 131, 108252. [Google Scholar] [CrossRef]
- Guerschman, J.P.; Hill, M.J.; Renzullo, L.J.; et al. Estimating fractional cover of photosynthetic vegetation, non-photosynthetic vegetation and bare soil in the Australian tropical savanna region upscaling the EO-1 Hyperion and MODIS sensors. Remote Sens. Environ. 2009, 113, 928–945. [Google Scholar] [CrossRef]
- Wang, G.; Wang, J.; Zou, X.; et al. Estimating the fractional cover of photosynthetic vegetation, non-photosynthetic vegetation and bare soil from MODIS data: Assessing the applicability of the NDVI-DFI model in the typical Xilingol grasslands. Int. J. Appl. Earth Obs. Geoinf. 2019, 76, 154–166. [Google Scholar] [CrossRef]
- Zheng, B.; Campbell, J.B.; De Beurs, K.M. Remote sensing of crop residue cover using multi-temporal Landsat imagery. Remote Sens. Environ. 2012, 117, 177–183. [Google Scholar] [CrossRef]
- Tian, J.; Su, S.; Tian, Q.; et al. A novel spectral index for estimating fractional cover of non-photosynthetic vegetation using near-infrared bands of Sentinel satellite. Int. J. Appl. Earth Obs. Geoinf. 2021, 101, 102361. [Google Scholar] [CrossRef]
- Tian, J.; Zhang, Z.; Philpot, W.D.; et al. Simultaneous estimation of fractional cover of photosynthetic and non-photosynthetic vegetation using visible-near infrared satellite imagery. Remote Sens. Environ. 2023, 290, 113549. [Google Scholar] [CrossRef]
- Daughtry, C.S.T. Discriminating crop residues from soil by shortwave infrared reflectance. Agron. J. 2001, 93, 125–131. [Google Scholar] [CrossRef]
- Hively, W.D.; Lamb, B.T.; Daughtry, C.S.T.; et al. Mapping crop residue and tillage intensity using WorldView-3 satellite shortwave infrared residue indices. Remote Sens. 2018, 10, 1657. [Google Scholar] [CrossRef]
- Kowalski, K.; Okujeni, A.; Hostert, P. A generalized framework for drought monitoring across Central European grassland gradients with Sentinel-2 time series. Remote Sens. Environ. 2023, 286, 113449. [Google Scholar] [CrossRef]
- Moon, M.; Zhang, X.; Henebry, G.M.; et al. Long-term continuity in land surface phenology measurements: A comparative assessment of the MODIS land cover dynamics and VIIRS land surface phenology products. Remote Sens. Environ. 2019, 226, 74–92. [Google Scholar] [CrossRef]
- Luna, D.A.; Pottier, J.; Picon-Cochard, C. Variability and drivers of grassland sensitivity to drought at different timescales using satellite image time series. Agric. For. Meteorol. 2023, 331, 109325. [Google Scholar] [CrossRef]
- Reinermann, S.; Gessner, U.; Asam, S.; et al. The effect of droughts on vegetation condition in Germany: An analysis based on two decades of satellite Earth observation time series and crop yield statistics. Remote Sens. 2019, 11, 1783. [Google Scholar] [CrossRef]
- Dolák, L.; Řehoř, J.; Láska, K.; et al. Air temperature variability of the northern mountains in the Czech Republic. Atmosphere 2023, 14, 1063. [Google Scholar] [CrossRef]
- Lipina, P.; Šustková, V. The climate of the Jeseníky Mountains and its development. Meteorologické Zprávy 2024, 77, 151–163. [Google Scholar] [CrossRef]
- Kachalova, O.; Červenka, J.; Hédl, R.; Houška, J. Map of vegetation types on the main ridge of the Hrubý Jeseník Mountains in 2022. Landscape Research Institute, 2024. Available online: https://agp.vukoz.cz/arcgis/apps/experiencebuilder/experience/?id=4308fc92df6e45f8bcca65b4c8906cc5 (accessed on 09 February 2026).
- Hlavinka, P.; Trnka, M.; Balek, J.; et al. Development and evaluation of the SoilClim model for water balance and soil climate estimates. Agric. Water Manag. 2011, 98, 1249–1261. [Google Scholar] [CrossRef]
- Frich, P.; Alexander, L.; Della-Marta, P.; et al. Observed coherent changes in climatic extremes during the second half of the twentieth century. Clim. Res. 2002, 19, 193–212. [Google Scholar] [CrossRef]
- Claverie, M.; Ju, J.; Masek, J.G.; et al. The Harmonized Landsat and Sentinel-2 surface reflectance data set. Remote Sens. Environ. 2018, 219, 145–161. [Google Scholar] [CrossRef]
- Claverie, M. Evaluation of surface reflectance bandpass adjustment techniques. ISPRS J. Photogramm. Remote Sens. 2023, 198, 210–222. [Google Scholar] [CrossRef]
- U.S. Geological Survey. Landsat Collection 2 (ver. 1.1, January 15, 2021). U.S. Geological Survey Fact Sheet 2021–3002; U.S. Geological Survey: Reston, VA, USA, 2021; p. 4 pp. [Google Scholar] [CrossRef]
- Roy, D.P.; Kovalskyy, V.; Zhang, H.K.; et al. Characterization of Landsat-7 to Landsat-8 reflective wavelength and normalized difference vegetation index continuity. Remote Sens. Environ. 2016, 185, 57–70. [Google Scholar] [CrossRef]
- Yue, J.; Tian, Q. Estimating fractional cover of crop, crop residue, and soil in cropland using broadband remote sensing data and machine learning. Int. J. Appl. Earth Obs. Geoinf. 2020, 89, 102089. [Google Scholar] [CrossRef]
- Guo, Z.; Kurban, A.; Ablekim, A.; et al. Estimation of photosynthetic and non-photosynthetic vegetation coverage in the lower reaches of Tarim River based on Sentinel-2A data. Remote Sens. 2021, 13, 1458. [Google Scholar] [CrossRef]
- Cao, X.; Chen, J.; Matsushita, B.; Imura, H. Developing a MODIS-based index to discriminate dead fuel from photosynthetic vegetation and soil background in the Asian steppe area. Int. J. Remote Sens. 2010, 31, 1589–1604. [Google Scholar] [CrossRef]
- Gao, B.C. NDWI—A normalized difference water index for remote sensing of vegetation liquid water from space. Remote Sens. Environ. 1996, 58, 257–266. [Google Scholar] [CrossRef]
- Key, C.H.; Benson, N.C. Landscape Assessment (LA). In FIREMON: Fire Effects Monitoring and Inventory System; Lutes, D.C., Keane, R.E., Caratti, J.F., Key, C.H., Benson, N.C., Sutherland, S., Gangi, L.J., Eds.; U.S. Department of Agriculture, Forest Service, Rocky Mountain Research Station: Fort Collins, CO, USA, 2006; p. pp. LA-1–LA-55. [Google Scholar]
- Rouse, J.W.; Haas, R.H.; Scheel, J.A.; Deering, D.W. Monitoring vegetation systems in the Great Plains with ERTS. Proceedings of the 3rd Earth Resource Technology Satellite (ERTS) Symposium 1974, Vol. 1, 48–62. Available online: https://ntrs.nasa.gov/citations/19740022614 (accessed on 09 February 2026).
- Qi, J.; Marsett, R.; Heilman, P.; et al. RANGES improve satellite-based information and land cover assessments in southwest United States. Eos Trans. Am. Geophys. Union 2002, 83, 601–605. [Google Scholar] [CrossRef]
- Hunt, E.R., Jr.; Rock, B.N. Detection of changes in leaf water content using near- and middle-infrared reflectances. Remote Sens. Environ. 1989, 30, 43–54. [Google Scholar] [CrossRef]
- Van Deventer, A.P.; Ward, A.D.; Gowda, P.M.H.M.; Lyon, J.G. Using thematic mapper data to identify contrasting soil plains and tillage practices. Photogramm. Eng. Remote Sens. 1997, 63, 87–93. [Google Scholar] [CrossRef]
- Conrad, O.; Bechtel, B.; Bock, M.; et al. System for Automated Geoscientific Analyses (SAGA) v. 2.1.4. Geosci. Model Dev. 2015, 8, 1991–2007. [Google Scholar] [CrossRef]
- Kopecký, M.; Macek, M.; Wild, J. Topographic Wetness Index calculation guidelines based on measured soil moisture and plant species composition. Sci. Total Environ. 2021, 757, 143785. [Google Scholar] [CrossRef]
- De Boeck, H.J.; Hiltbrunner, E.; Verlinden, M.; et al. Legacy effects of climate extremes in alpine grassland. Front. Plant Sci. 2018, 9, 1586. [Google Scholar] [CrossRef]
- Luo, W.; Ma, W.; Song, L.; et al. Compensatory dynamics drive grassland recovery from drought. J. Ecol. 2023, 111, 1281–1291. [Google Scholar] [CrossRef]
- Yu, H.; Zhu, L.; He, X.; et al. Resistance, resilience, and recovery time of grasslands in response to different drought patterns. Remote Sens. 2025, 17, 559. [Google Scholar] [CrossRef]
- Ohlert, T.; et al. Drought intensity and duration interact to magnify losses in primary productivity. Science 2025, 390, 284–289. [Google Scholar] [CrossRef] [PubMed]
- Morgan, J. Drought-related dieback in four subalpine shrub species, Bogong High Plains, Victoria. Cunninghamia 2004, 8, 326–330. [Google Scholar]
- Gjedrem, A.M.; Log, T. Study of heathland succession, prescribed burning, and future perspectives at Kringsjå, Norway. Land 2020, 9, 485. [Google Scholar] [CrossRef]
- Zeidler, M.; Chmelinová, B.; Banaš, M.; Lešková, M. Dlouhodobé změny subalpínské vegetace svahu Petrových kamenů v Hrubém Jeseníku. Příroda 2014, 32, 5–17. Available online: https://www.priroda.nature.cz/index.php/priroda/article/view/34/64 (accessed on 09 February 2026).
- Deutsch, E.S.; Bork, E.W.; Willms, W.D. Soil moisture and plant growth responses to litter and defoliation impacts in Parkland grasslands. Agric. Ecosyst. Environ. 2010, 135, 1–9. [Google Scholar] [CrossRef]
- Inauen, N.; Körner, C.; Hiltbrunner, E. Hydrological consequences of declining land use and elevated CO2 in alpine grassland. J. Ecol. 2013, 101, 86–96. [Google Scholar] [CrossRef]
- Karlowsky, S.; Augusti, A.; Ingrisch, J.; et al. Land use in mountain grasslands alters drought response and recovery of carbon allocation and plant-microbial interactions. J. Ecol. 2018, 106, 1230–1243. [Google Scholar] [CrossRef] [PubMed]
- Šustková, V.; Valík, A.; Tolasz, R.; Dvoretska, I. Scenarios of future climate development in the Jeseníky Mountains according to the ALADIN-CLIMATE/CZ model. Meteorologické Zprávy 2024, 77, 173–178. [Google Scholar] [CrossRef]
- Kachalova, O. Retrospective Analysis of The Sudden Mortality and Recovery of Subalpine Grasslands in the Czech Republic Using Remote Sensed Satellite Data. Proceedings of IALE 2023 World Congress, Nairobi, Kenia, 9 - 15 July, 2023. [Google Scholar]
- Kachalova, O.; Houška, J.; Hédl, R. Assessing subalpine grassland mortality in the Czech Republic using satellite multispectral imagery combined with machine learning techniques. In Proceedings of the ESA Living Planet Symposium 2025, Vienna, Austria, 23 - 27 June, 2025. [Google Scholar]











| Abbreviation | Index formulation | Reference |
|---|---|---|
| DFI | DFI=100×(1−(SWIR2/SWIR1))×(Red/NIR) | [70] |
| NDWI | NDWI = (NIR – SWIR1) / (NIR + SWIR1) | [71] |
| NBR | NBR = (NIR − SWIR2) / (NIR + SWIR2) | [72] |
| NDVI | NDVI = (NIR − Red) / (NIR + Red) | [73] |
| NDSVI | NDSVI = (SWIR1 – Red) / (SWIR1 + Red) | [74] |
| MSI(1) | MSI(1) = SWIR1 / NIR | [75] |
| MSI(2) | MSI(2) = SWIR2 / NIR | [75] |
| NDTI | NDTI = (SWIR1 − SWIR2) / (SWIR1 + SWIR2) | [76] |
| STI | STI = SWIR1 / SWIR2 | [76] |
| NPV index | Cohen’s d (absolute values) | ||
|---|---|---|---|
| unvegetated vs dead | dead vs windswept | windswept vs dense | |
| NBR | 1.51981 | 3.79886 | 2.08758 |
| MSI2 | 1.41773 | 3.77823 | 2.07653 |
| NDWI | 0.69399 | 3.43319 | 1.79646 |
| MSI1 | 0.71761 | 3.33757 | 1.80475 |
| NDTI | 2.36804 | 3.26404 | 1.83914 |
| STI | 2.54613 | 3.13174 | 1.79815 |
| NDVI | 2.20674 | 2.93388 | 1.73470 |
| NDSVI | 2.35602 | 1.89167 | 1.32456 |
| DFI | 0.59534 | 1.76564 | 1.33966 |
| Dieback event | Year | Locality | Pecný- Břidličná |
Jelení hřbet | Velký Máj | Vysoká hole | In total | |||||
|---|---|---|---|---|---|---|---|---|---|---|---|---|
| Reference date | T | P | T | P | T | P | T | P | T | P | ||
| I (short-term) |
2000a | 22-Jun | 3.72 | 3.70 | 0.45 | 6.57 | 3.97 | 13.81 | 9.43 | 20.56 | 17.57 | 44.64 |
| 2000b | 2-Aug | 0.61 | 3.56 | 0.00 | 1.34 | 0.00 | 1.35 | 0.99 | 12.50 | 1.60 | 18.75 | |
| 2000c | 18-Aug | 0.00 | 0.45 | 0.00 | 0.17 | 0.00 | 0.00 | 0.18 | 6.94 | 0.18 | 7.56 | |
| 2001 | 28-Jul | 0.00 | 0.00 | 0.00 | 0.00 | 0.02 | 1.63 | 0.00 | 0.00 | 0.02 | 1.63 | |
| 2002 | 24-Aug | 0.00 | 3.30 | 0.00 | 1.39 | 0.00 | 4.72 | 0.09 | 14.76 | 0.09 | 24.17 | |
| II (short-term) |
2003a | 23-Jun | 6.17 | 4.58 | 19.34 | 14.53 | 4.43 | 16.46 | 12.25 | 61.38 | 42.19 | 96.95 |
| 2003b | 11-Aug | 0.27 | 7.48 | 8.27 | 8.75 | 0.63 | 20.29 | 1.24 | 29.31 | 10.41 | 65.83 | |
| 2004 | 29-Aug | 0.00 | 0.12 | 0.18 | 2.87 | 0.00 | 0.05 | 0.00 | 3.25 | 0.18 | 6.29 | |
| 2005 | 30-Jul | 0.00 | 0.00 | 0.00 | 0.36 | 0.00 | 0.01 | 0.00 | 0.18 | 0.00 | 0.55 | |
| 2006 | 17-Jul | 0.00 | 0.00 | 0.00 | 0.00 | 0.00 | 0.05 | 0.00 | 0.00 | 0.00 | 0.05 | |
| 2007 | 5-Aug | 0.00 | 0.00 | 0.00 | 0.00 | 0.00 | 0.05 | 0.00 | 0.00 | 0.00 | 0.05 | |
| 2008 | 31-Aug | 0.00 | 0.00 | 0.00 | 0.00 | 0.00 | 0.23 | 0.00 | 1.08 | 0.00 | 1.31 | |
| 2009a | 17-Jul | 0.00 | 0.00 | 0.00 | 0.00 | 0.00 | 0.00 | 0.00 | 0.09 | 0.00 | 0.09 | |
| 2009b | 2-Aug | 0.00 | 0.00 | 0.00 | 0.00 | 0.00 | 0.04 | 0.00 | 0.00 | 0.00 | 0.04 | |
| 2010 | 21-Aug | 0.00 | 0.47 | 0.00 | 0.00 | 0.00 | 0.00 | 0.00 | 0.09 | 0.00 | 0.56 | |
| 2011 | 29-Jun | 0.00 | 0.00 | 0.00 | 0.00 | 0.00 | 0.14 | 0.00 | 0.09 | 0.00 | 0.23 | |
| III (long-term) |
2012a | 23-Jun | 3.88 | 2.42 | 0.00 | 0.00 | 0.00 | 0.04 | 0.00 | 6.38 | 3.88 | 8.84 |
| 2012b | 4-Sep | 3.98 | 1.75 | 0.00 | 0.09 | 0.00 | 0.66 | 0.00 | 4.95 | 3.98 | 7.45 | |
| 2013 | 29-Jul | 2.72 | 3.43 | 0.00 | 0.18 | 1.33 | 4.36 | 0.00 | 0.45 | 4.05 | 8.42 | |
| 2014 | 9-Aug | 1.83 | 1.51 | 0.00 | 0.00 | 0.00 | 0.00 | 0.00 | 0.00 | 1.83 | 1.51 | |
| 2015 | 20-Aug | 1.73 | 3.65 | 0.00 | 0.00 | 0.00 | 0.00 | 0.00 | 0.00 | 1.73 | 3.65 | |
| 2016 | 21-Jul | 1.52 | 1.06 | 0.00 | 0.00 | 0.00 | 0.09 | 0.00 | 0.00 | 1.52 | 1.15 | |
| 2017 | 1-Aug | 1.36 | 1.28 | 0.00 | 0.00 | 0.00 | 0.00 | 0.00 | 0.03 | 1.36 | 1.31 | |
| 2018a | 5-Jul | 1.24 | 1.26 | 0.00 | 0.00 | 0.00 | 0.41 | 0.00 | 0.00 | 1.24 | 1.67 | |
| 2018b | 9-Aug | 8.64 | 3.26 | 0.16 | 20.41 | 2.68 | 32.01 | 0.51 | 53.88 | 11.99 | 109.56 | |
| IV (long-term) |
2019a | 25-Jul | 0.28 | 1.64 | 9.83 | 4.24 | 17.46 | 11.54 | 0.00 | 0.25 | 27.57 | 17.67 |
| 2019b | 31-Aug | 2.14 | 7.22 | 4.82 | 11.21 | 11.61 | 15.54 | 1.74 | 35.18 | 20.31 | 69.15 | |
| 2020 | 31-Jul | 2.08 | 3.20 | 0.00 | 0.20 | 1.43 | 2.88 | 0.00 | 0.01 | 3.51 | 6.29 | |
| 2021 | 15-Aug | 0.28 | 0.68 | 0.00 | 0.12 | 0.90 | 2.86 | 0.00 | 0.13 | 1.18 | 3.79 | |
| 2022 | 5-Aug | 0.16 | 1.27 | 0.00 | 0.50 | 0.80 | 2.70 | 0.00 | 1.82 | 0.96 | 6.29 | |
| 2023 | 25-Aug | 0.00 | 3.76 | 0.00 | 2.55 | 0.54 | 4.50 | 0.00 | 5.55 | 0.54 | 16.36 | |
| 2024 | 12-Aug | 0.00 | 1.31 | 0.00 | 0.73 | 0.16 | 2.06 | 0.00 | 2.57 | 0.16 | 6.67 | |
Disclaimer/Publisher’s Note: The statements, opinions and data contained in all publications are solely those of the individual author(s) and contributor(s) and not of MDPI and/or the editor(s). MDPI and/or the editor(s) disclaim responsibility for any injury to people or property resulting from any ideas, methods, instructions or products referred to in the content. |
© 2026 by the authors. Licensee MDPI, Basel, Switzerland. This article is an open access article distributed under the terms and conditions of the Creative Commons Attribution (CC BY) license.