Preprint
Article

This version is not peer-reviewed.

Meta-Analysis of Paired Binary Data with Unobserved Dependence: Insights from Laterality and Bilateralism in Anatomy

Submitted:

06 February 2026

Posted:

09 February 2026

You are already at the latest version

Abstract
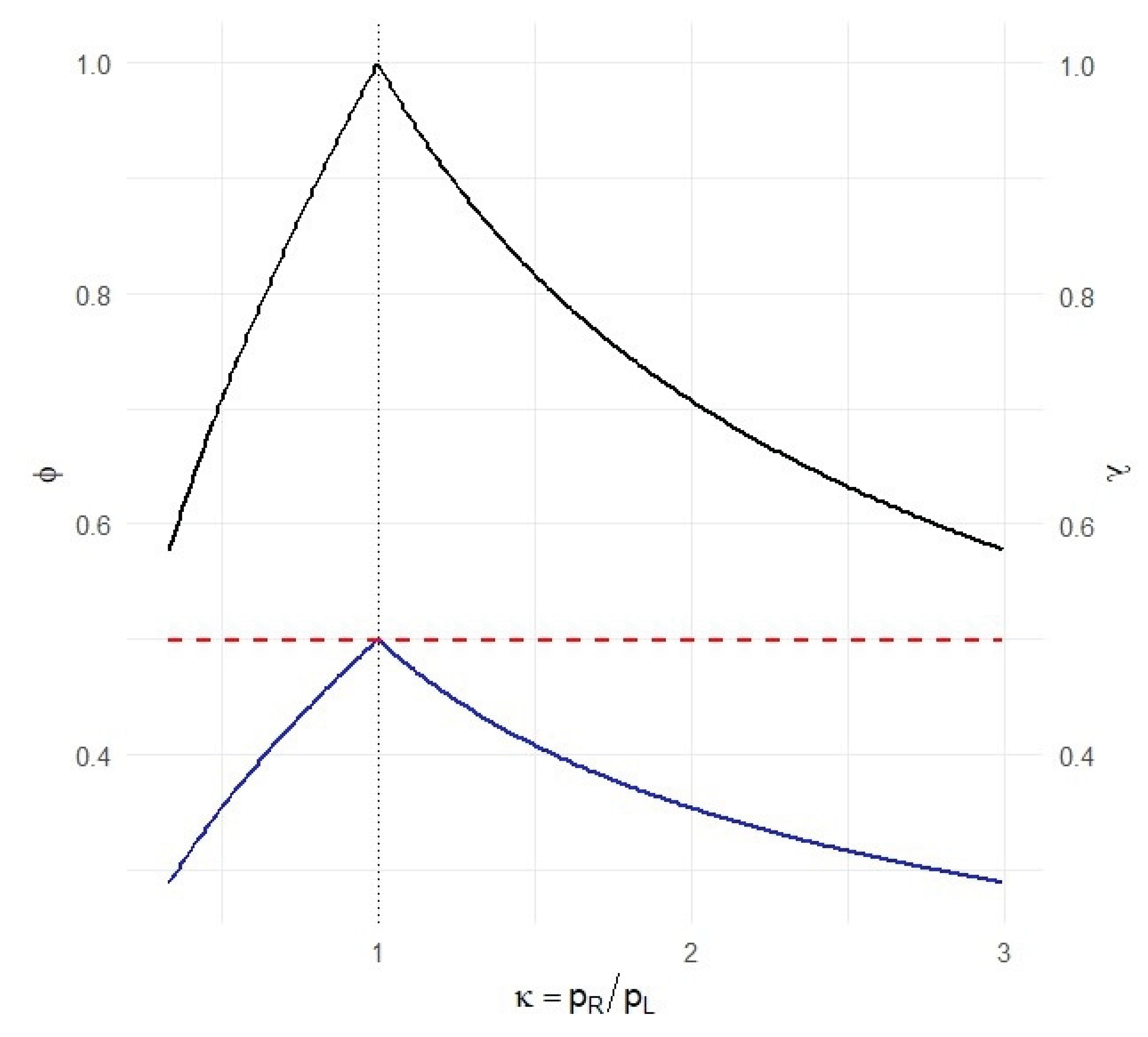
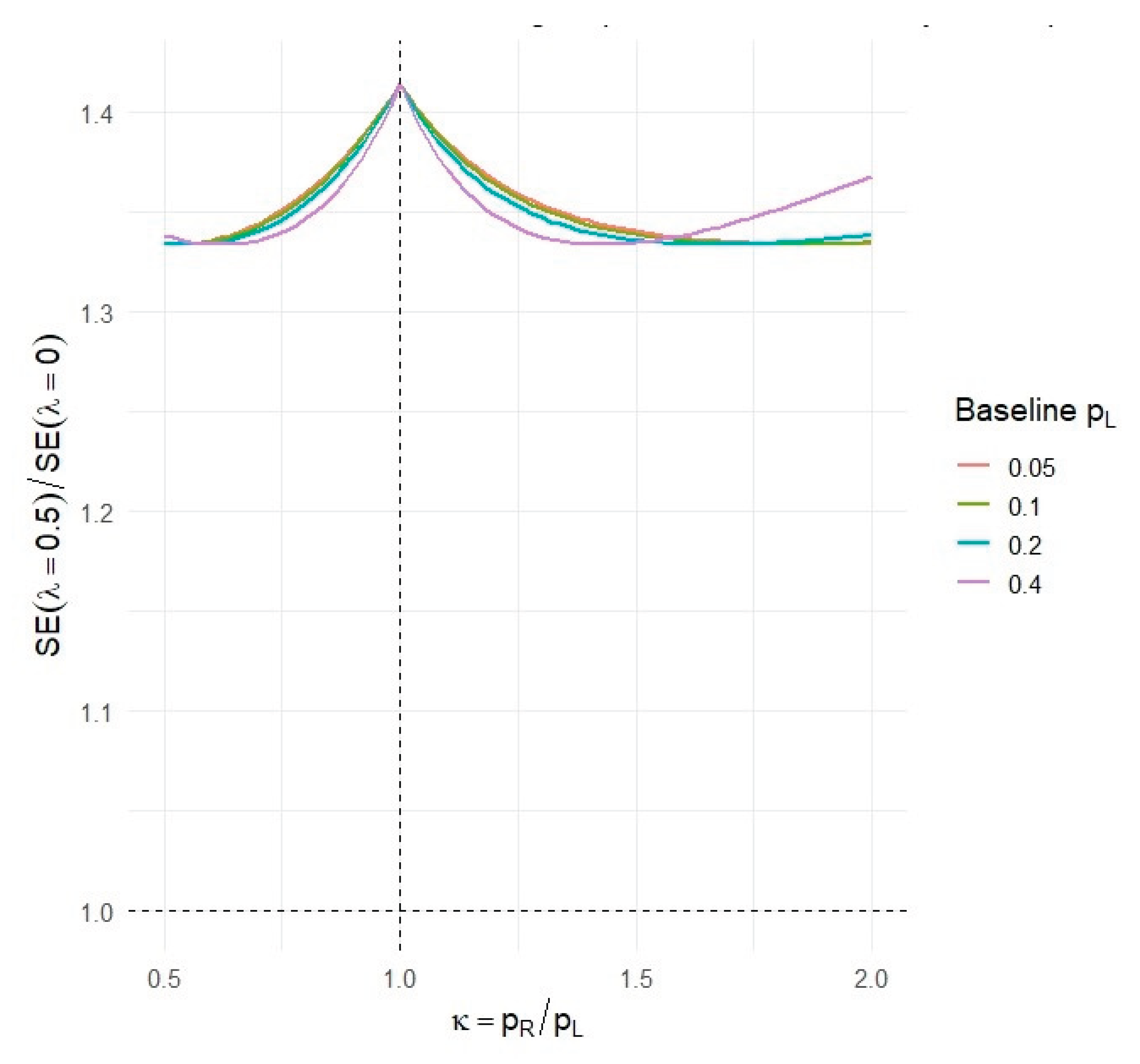
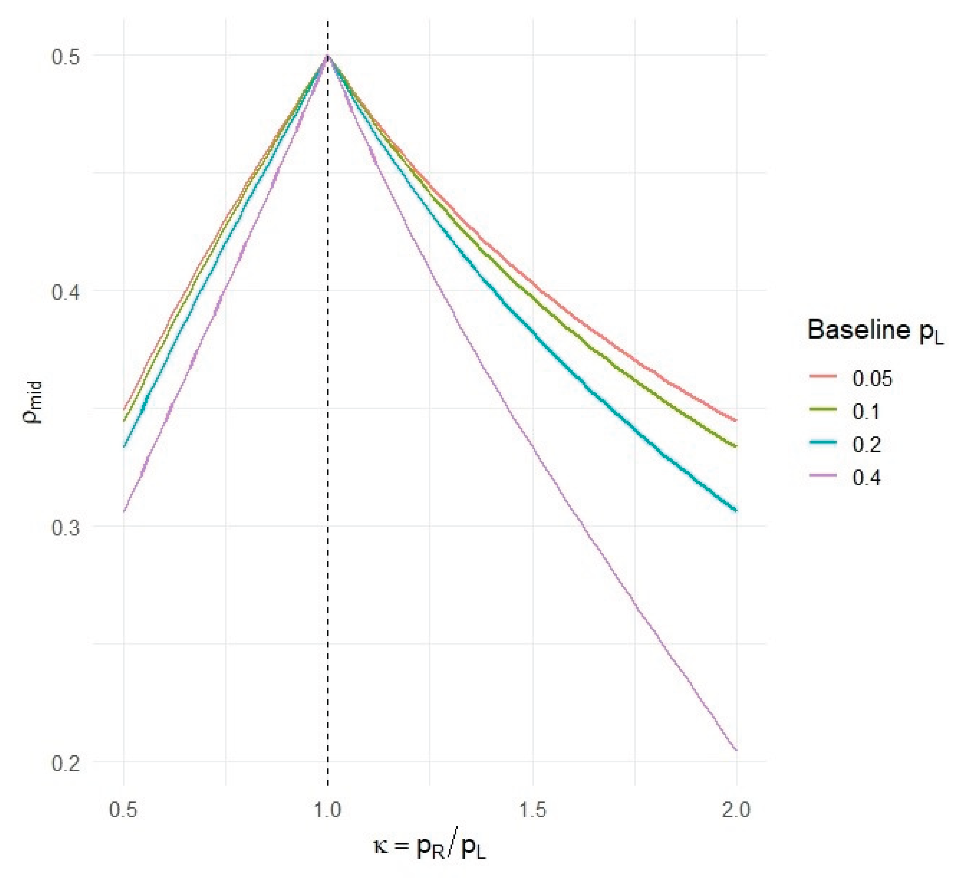
Anatomical variants are observed on paired body sides, yet many prevalence studies—particularly those based on osteological collections—report only right- and left-side frequencies without specifying whether findings occur bilaterally in the same individual. In such cases, the individual-level left–right structure is unobserved. Consequently, inference on laterality and bilateralism cannot be based on the reported data alone and must rely on explicit assumptions about within-individual dependence.We study this problem in the context of anatomic prevalence data, although the framework applies more broadly to paired binary outcomes. We parameterize the admissible joint distributions using a feasibility-based dependence index, λ, spanning the full range from independence to maximal feasible concordance implied by the marginal prevalences. Within this framework, we examine two complementary estimands: the paired odds ratio for laterality and bilateral prevalence.Analytic results and Monte Carlo simulations show that bilateral prevalence varies linearly and remains stable across the admissible dependence range, whereas the paired odds ratio exhibits intrinsic boundary instability as dependence approaches its feasible maximum due to vanishing discordant counts. Uncertainty-propagation analyses further indicate that laterality inference is robust to moderate misspecification of the dependence assumption. These results demonstrate that unobserved within-subject dependence is a structural inferential issue in paired binary meta-analysis and motivate feasibility-based sensitivity analysis when only marginal data are available.
Keywords: 
;  ;  ;  ;  
Copyright: This open access article is published under a Creative Commons CC BY 4.0 license, which permit the free download, distribution, and reuse, provided that the author and preprint are cited in any reuse.
Prerpints.org logo

Preprints.org is a free preprint server supported by MDPI in Basel, Switzerland.

Subscribe

Disclaimer

Terms of Use

Privacy Policy

Privacy Settings

© 2026 MDPI (Basel, Switzerland) unless otherwise stated