Preprint
Article

This version is not peer-reviewed.

Methodology for Selecting Parameters of Electric Energy Storage Systems in Microgrid with Integration of Electric Vehicle Charging Stations

Submitted:

06 February 2026

Posted:

06 February 2026

You are already at the latest version

Abstract
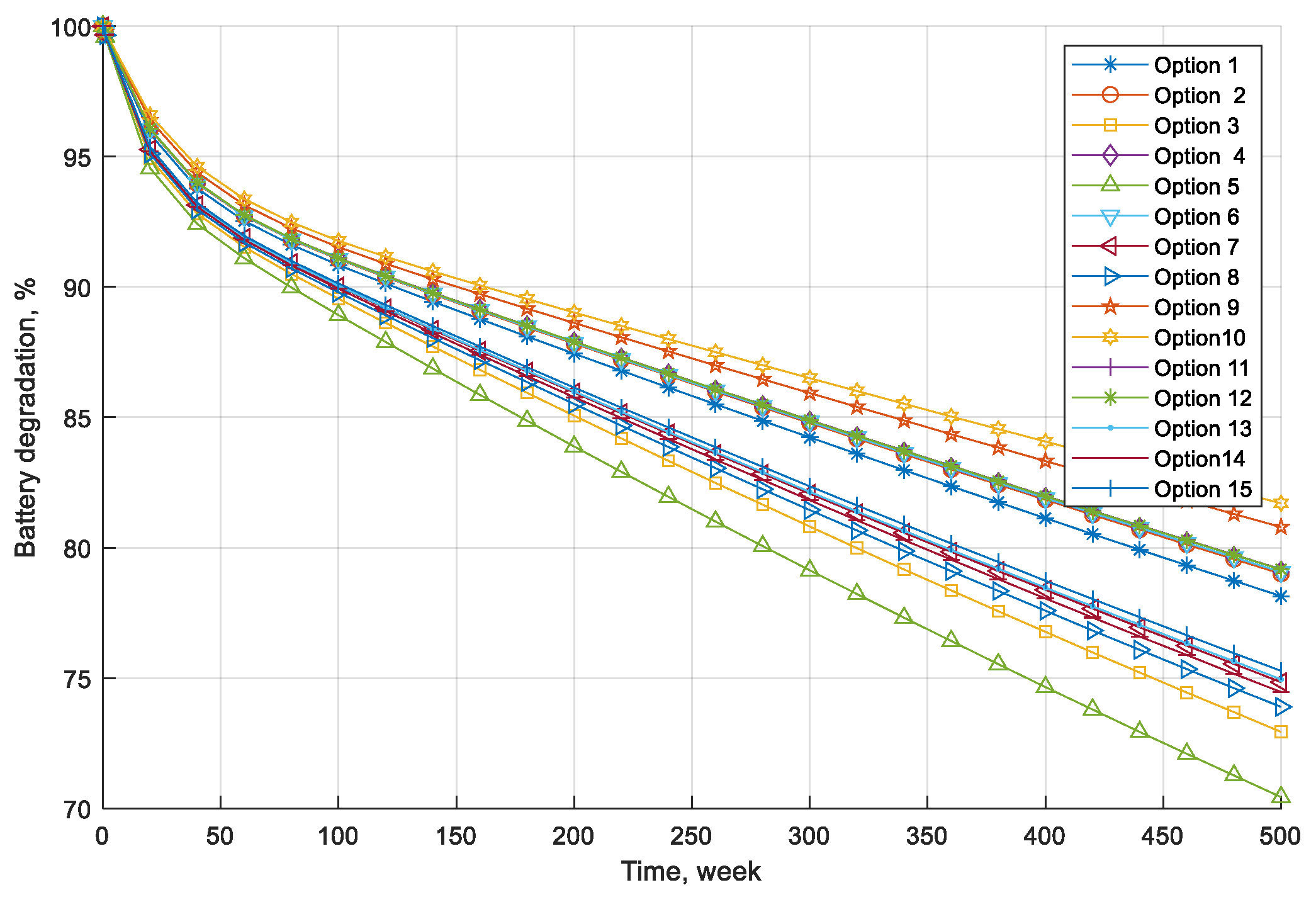
Currently, research aimed at optimizing the power rating and energy capacity of electrical energy storage (EES) systems while accounting for multiple sources of uncertainty remains underrepresented in the scientific literature, due to the complexity of solving multidimensional uncertainty problems in microgrids. Regarding the comprehensive assessment of EES parameters considering the influence of various factors, despite numerous studies dedicated to the evaluation and rational selection of EES parameters, this task remains largely unresolved. This paper proposes a methodology for selecting EES parameters that accounts for the uncertainty of wind power plant (WPP) generation and electric vehicle charging station (EVCS) load, EES performance degradation, as well as the reliability and cost of microgrid implementation to ensure uninterrupted operation of EV supply equipment within a distribution network with limited available power capacity. The developed method and EVCS load profile model enable the generation of a time-based power profile under input data uncertainty. The work presents a mathematical model of microgrid operation that considers the integrated performance of EES, WPP, and EVCS. The EES parameter selection methodology is demonstrated using examples of various system configuration scenarios.
Keywords: 
;  ;  ;  ;  ;  ;  
Copyright: This open access article is published under a Creative Commons CC BY 4.0 license, which permit the free download, distribution, and reuse, provided that the author and preprint are cited in any reuse.
Prerpints.org logo

Preprints.org is a free preprint server supported by MDPI in Basel, Switzerland.

Subscribe

Disclaimer

Terms of Use

Privacy Policy

Privacy Settings

© 2026 MDPI (Basel, Switzerland) unless otherwise stated