Preprint
Article

This version is not peer-reviewed.

A Symplectic Method for Analyzing the Nonlocal Modal Behavior of Kirchhoff Plates and Numerical Validation

Submitted:

04 February 2026

Posted:

06 February 2026

You are already at the latest version

Abstract
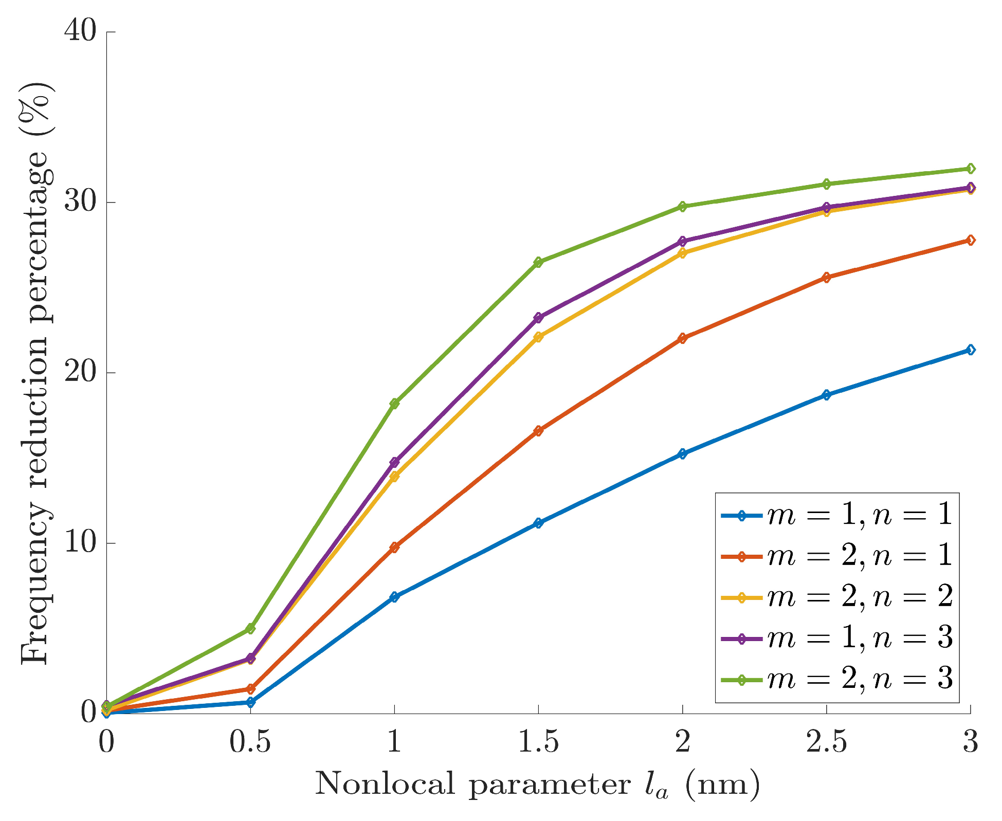
Nonlocal elasticity theory plays a significant role in the analysis of small-scale effects in micro- and nanostructures. In continuum mechanics, Eringen’s integral constitutive relation is often considered more general than its differential counterpart. However, the governing equations are complex integro-differential equations, which complicate numerical solution and can limit their use in nonlocal analyses of micro- and nanostructures. To address this challenge, this paper proposes a numerical solution method based on a symplectic system for the study and resolution of the free vibration problem of small-scale Kirchhoff plates. By integrating an element that accounts for long-range interaction forces, this method effectively discretizes the nonlocal integral operator. The model is used to systematically investigate the effects of nonlocal parameters, mixture parameters, mode numbers, kernel function types, and geometric parameters on the natural frequencies of nonlocal Kirchhoff plates. The numerical results indicate that nonlocal effects soften structural stiffness and that higher-order modes are more sensitive to nonlocal parameters. The convergence and accuracy of the proposed algorithm are verified by comparison with existing differential nonlocal solution schemes.
Keywords: 
;  ;  ;  ;  
Copyright: This open access article is published under a Creative Commons CC BY 4.0 license, which permit the free download, distribution, and reuse, provided that the author and preprint are cited in any reuse.
Prerpints.org logo

Preprints.org is a free preprint server supported by MDPI in Basel, Switzerland.

Subscribe

Disclaimer

Terms of Use

Privacy Policy

Privacy Settings

© 2026 MDPI (Basel, Switzerland) unless otherwise stated