Preprint
Article

This version is not peer-reviewed.

A Theory-Guided Machine Learning and Molecular Dynamics Approach for Characterizing Fast-Curing Polyurethane Systems

Submitted:

30 January 2026

Posted:

02 February 2026

You are already at the latest version

Abstract
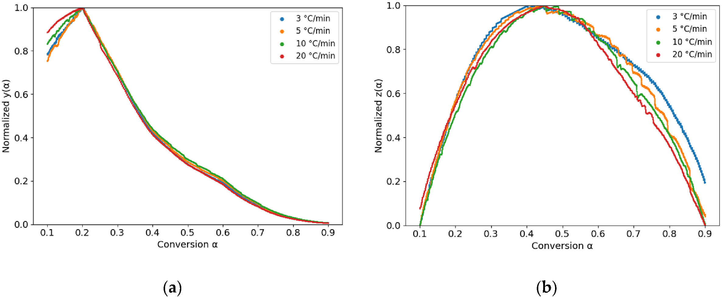
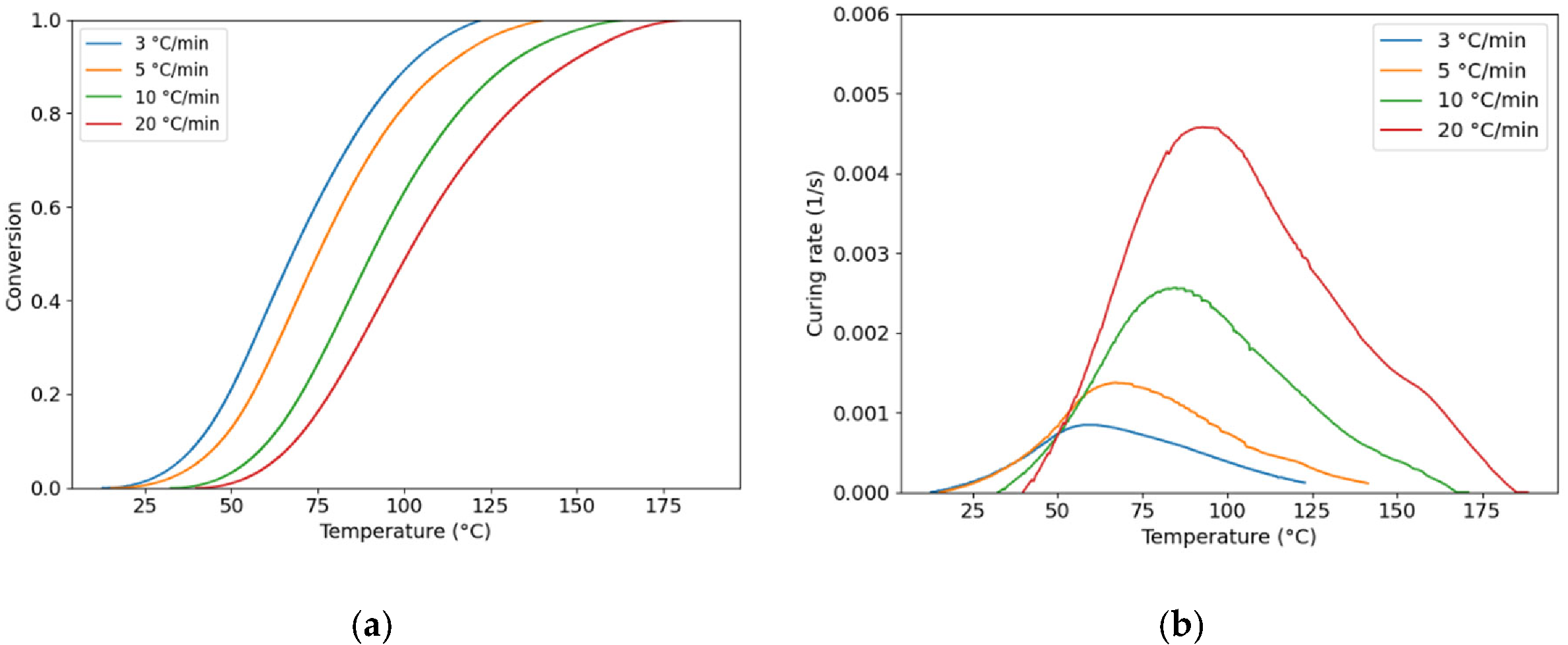
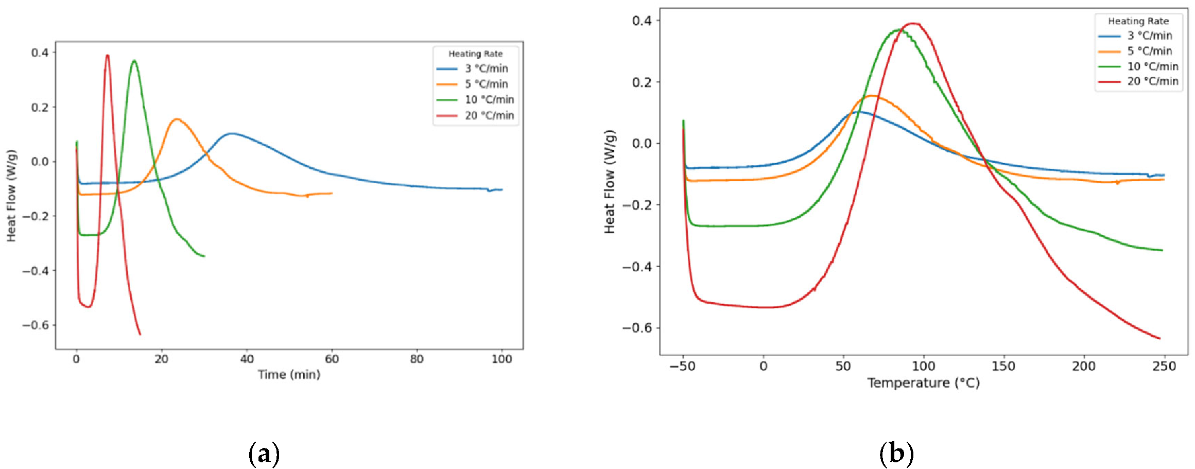
Fast-curing polyurethane (PU) systems are attractive for high throughput manufacturing, but quantifying cure kinetics, gelation, and cure-dependent glass transition temperature (Tg) is difficult, especially at low degree of cure (DoC). Here, a fast-reacting BASF PU formulation was studied using non-isothermal differential scanning calorimetry (DSC) at multiple heating rates, rheometry at 50 °C, and molecular dynamics (MD) simulations to extend Tg(α) in the low-DoC regime. DSC provided reaction enthalpy and conversion histories, and Kamal–Sourour (KS) parameters were identified by robust nonlinear fitting, reproducing conversion and curing-rate profiles (R² > 0.99 and > 0.95). Rheology indicated gelation at ~550–600 s (DoC ≈ 0.53), and DSC-based Tg at uncured, gelation, and fully cured states established the experimental Tg trend. MD (LAMMPS) with topological crosslinking and NPT thermal scans extracted Tg from density–temperature slopes at selected DoC points. Experimental and MD Tg data were fused with Gaussian process regression constrained by the DiBenedetto relationship (5-fold cross-validation), giving λ ≈ 0.28 and confidence intervals. This framework links kinetics, gelation, and Tg evolution for fast-curing PU and identifies the low-DoC region as the main source of uncertainty.
Keywords: 
;  ;  ;  ;  
Copyright: This open access article is published under a Creative Commons CC BY 4.0 license, which permit the free download, distribution, and reuse, provided that the author and preprint are cited in any reuse.
Prerpints.org logo

Preprints.org is a free preprint server supported by MDPI in Basel, Switzerland.

Subscribe

Disclaimer

Terms of Use

Privacy Policy

Privacy Settings

© 2026 MDPI (Basel, Switzerland) unless otherwise stated