Preprint
Article

This version is not peer-reviewed.

Assessment of Three High-Resolution Forest Canopy Height Products in China

Submitted:

22 January 2026

Posted:

23 January 2026

You are already at the latest version

Abstract
Large-scale mapping of forest canopy height (FCH) is crucial for accurately understanding ecosystem succession and forest carbon sinks. Recently, three high-resolution FCH products have been released, including global forest canopy height (GFCH), NNGI_FCH_China (NNGI_FCH), and ETH_GlobalCanopyHeight (ETH_GCH). This study provides a detailed assessment of these FCH products across China from forest area, spatial consistency, and overall accuracy using forest inventory, CLCD and field measurement data. The results showed that NNGI_FCH had the smallest relative error of 13.9% and achieved better estimates of forest area in all regions but the north and northeast regions. GFCH had the highest spatial consistency of 71.2% nationwide, followed by NNGI_FCH (69.7%), which performed slightly better than GFCH in the east and northwest regions. ETH_GCH exhibited the lowest spatial consistency of 35.6% and remained below 50% across all regions except the northeast and south regions. ETH_GCH demonstrated the highest overall accuracy across the country, with R2 and RMSE of 0.56 and 4.40 m, followed by NNGI_FCH (R2=0.48, RMSE=4.14 m) and GFCH (R2=0.48, RMSE=4.15 m). Validation results of ETH_GCH were relatively stable in different regions of China, while those of NNGI_FCH varied more but still outperformed GFCH. This study offers valuable insights by evaluating large-scale FCH products, which will be a key basis for in-depth studies on the utilization and improvement of future FCH mapping.
Keywords: 
;  ;  ;  ;  

1. Introduction

Forest form a critical component of the terrestrial carbon cycle. Enhancing forest carbon sinks is regarded as a primary approach to mitigate the rise of atmospheric CO2 concentrations and global warming, and it is also an effective way to achieve the carbon-neutrality strategy [1,2]. Forest canopy height (FCH), as a key parameter describing forest vertical structure, is fundamental to the forest carbon cycle and global climate change [3,4]. The high-resolution FCH product at a large scale plays an irreplaceable role in accurately estimating forest carbon sinks, understanding forest ecosystem processes, and optimizing forest management strategies [5,6].
Light detection and ranging (LiDAR) is capable of penetrating the forest canopy for vertical structure information [7]. Therefore, LiDAR has been extensively regarded as an important data source for forest height estimation [8]. In particular, spaceborne LiDAR data have unparalleled advantages in the inversion and mapping of forest height over large areas [9,10]. The first earth observation spaceborne LiDAR instrument, the Geoscience Laser Altimeter System (GLAS), is onboard the Ice, Cloud, and land Elevation Satellite (ICESat) and has been successfully adopted for the FCH retrieval at regional or global scale [11,12,13]. However, the existing forest height maps produced by ICESat-1 GLAS are typically undertaken at coarser spatial resolution (e.g., 500 m or 1 km) because of discrete ground sampling footprints. Compared with ICESat-1 GLAS, the recently launched ICESat-2 Advanced Topographic Laser Altimeter System (ATLAS) and Global Ecosystem Dynamics Investigation (GEDI) have smaller footprint diameters and higher sampling density, providing an unprecedented opportunity for large-scale high resolution FCH mapping [4,14,15,16]. To overcome the spatial discontinuity problem of ICESat-2 ATLAS and GEDI data, researchers have tried to fuse these data with passive optical images to develop spatially continuous FCH distribution through the aid of statistical models, machine learning algorithms, and geostatistical methods. At national and continental scales, Zhu established a forest height extrapolation model based on ICESat-2 ATLAS, GEDI and optical remote sensing data to produce the FCH map with 30 m resolution across China (RMSE=2.67 m) 15. Liu et al. developed a novel neural network guided interpolation (NNGI) method for mapping a 30 m FCH product of China by integrating GEDI, ICESat-2 ATLAS, and Sentinel-2 images (RMSE=4.88–5.32 m) 5. Malambo and Popescu applied a gradient-boosted trees regression model and ICESat-2 canopy heights with ancillary Landsat, LANDFIRE (Landscape Fire and Resource Management Planning Tools) and topographic variables to produce a spatially explicit 30 m FCH product across the contiguous United States (MAE=2.50 m) 17. By integrating the multidecadal spectral data from the Landsat archive and calibration data from Airborne Laser Scanning (ALS) and GEDI, Turubanova et al. created a spatiotemporally consistent annual FCH dataset at a 30 m resolution for Europe based on improved regression tree ensembles (RMSE≤4 m) 18. On a global scale, Potapov et al. developed a 30 m spatial resolution FCH map using the bagged regression tree ensemble method through integration of GEDI and Landsat data (RMSE=6.60–9.07 m) 10. Lang et al. produced a global FCH map with a spatial resolution of 10 m by using the fully convolutional neural network that fused GEDI observations and Sentinel-2 data 6. More recently, Meta and World Resources Institute generated a global FCH map at a 1 m resolution based on multiple remote sensing data such as WorldView, Quickbird, ALS and GEDI (MAE=2.80 m) 19. These products provide a new approach for obtaining large-scale and high-resolution FCH data, which are key to understand terrestrial ecosystem functions. However, the FCH estimates of different products suffered from limited accuracy related to, for example, the different definitions of forest tree height, the quality of input data, and the accuracy of modeling procedures [3,20], which caused the inconsistencies in the magnitude of FCH values and their spatial distribution across the same area 21. Therefore, evaluating the existing high-resolution FCH maps has scientific significance for reasonably using the relevant data and developing more accurate FCH products.
Due to the implementation of intensive afforestation and reforestation practices since the late 1970s, China’s forests in the area and FCH have undergone notable changes. This poses a challenge for accurately quantifying forest biomass and carbon sink potential. In this study, we utilized three high-resolution FCH products across China, including Global Forest Canopy Height 10, NNGI_FCH_China 5, and ETH_GlobalCanopyHeight 6. The main objectives are to: (1) assess the accuracy of canopy height estimates in these products from forest area, spatial consistency, and overall accuracy; (2) demonstrate the applicability and uncertainty of the FCH products in the Chinese region; and (3) analyze the potential reasons for inconsistencies among the three FCH products. The results obtained in this study can help related researchers to select suitable FCH products for China, and provide new implications for improving FCH mapping.

2. Materials and Methods

2.1. Data

2.1.1. Forest Canopy Height Products

The global forest canopy height (GFCH) map with a spatial resolution of 30 m for the year 2019 (https://glad.umd.edu/dataset/gedi/) was developed through the integration of GEDI data available April-October 2019 and Landsat analysis-ready data time-series 10. It provided footprint-based measurements of vegetation structure, including FCH between 52°N and 52°S globally (Table 1). The 95th percentile of energy return height relative to the ground (RH95) was used as the estimate of FCH. The Landsat multi-temporal metrics that represent the surface phenology serve as the independent variable for FCH modeling. The “moving window” locally calibrated and applied bagged regression tree ensemble model was implemented to ensure high quality of forest height prediction and global map consistency. The GFCH map was compared to the GEDI validation data (R2=0.62, RMSE=6.6 m) and available airborne LiDAR data (R2=0.61, RMSE=9.07 m).
Liu et al. 5 developed a novel NNGI method to map FCH (NNGI_FCH) of China for 2019 at 30 m resolution (https://www.3decology.org/dataset-software/). They extracted a series of RH metrics from canopy to canopy top photons, and selected RH100 and RH98 as representative FCH derived from GEDI and ICESat-2 ATLAS, respectively. The fusion of GEDI, ICESat-2 ATLAS and Sentinel-2 data provided improved estimates of forest canopy heights, in which the average FCH of China is 15.90 m with a standard deviation of 5.77 m. NNGI-derived FCH showed good agreements with GEDI footprints (R2=0.55, RMSE=5.32 m), drone-lidar validation data (R2=0.58, RMSE=4.93 m), and field measurements (R2=0.60, RMSE=4.88 m). The proposed NNGI-based FCH mapping approach largely alleviated the saturation effect in areas with taller forest canopies compared with the previous interpolation methods.
Lang et al. produced a comprehensive global canopy height (ETH_GCH) map at 10 m resolution for the year 2020 (https://langnico.github.io/globalcanopyheight/) 6. By integration GEDI data with Sentinel-2 images, they developed a deep convolutional neural network to retrieve canopy-top height anywhere on Earth, and to quantify the uncertainty in these estimates. FCH was defined as RH98, the relative height at which 98% of the energy returned. The presented approach reduced the saturation effect commonly encountered when estimating FCH from satellite observations, allowing to resolve tall canopies with likely high carbon stocks. We resampled ETH_GCH data to the spatial resolution of 30 m per pixel using the nearest neighbor method.

2.1.2. Forest Inventory Data

The national forest inventory data (FID) during 2014–2018 was used in this study. This dataset was compiled from measurements at 41.5×104 permanent plots distributed evenly across China Error! Reference source not found.. The area of forest stands for different forest types was documented by province. Here, we assumed that forest area in the 2014–2018 inventory represented the state of forest distribution in 2015 and that the ratio of forest stands to total forests would remain unchanged in the next 5 years (82.4%). According to the national forest management plan (2016–2050), we calculated the area of forest stands in 2020. The area of newly planted forests was estimated as the difference in total forest stand area between 2015 and 2020. Based on the area proportion of planted forests in different types reported by the national FID of 2014–2018, the area of newly planted forests was allocated into different forest types in the next 5 years with the assumption that proportions of planted forests in different types remain unchanged from 2015 to 2020 [23,24]. By summarizing the results of existing forests and newly planted forests of different types, we can obtain the forest area for each province and region of China in 2020.

2.1.3. CLCD Data

The China land cover dataset (CLCD) was the annual 30 m land cover product derived from Landsat imagery on the Google Earth Engine platform, covering the period from 1990 to 2024 25. Specifically, CLCD was performed using a random forest algorithm applied to multiple temporal metrics generated from 335709 Landsat scenes. A post-processing framework incorporating spatiotemporal filtering and logical reasoning was implemented to enhance spatial and temporal consistency. The dataset achieved an overall accuracy of 79.31% based on 5463 validation samples, outperforming previously released land cover products (MCD12Q1, ESACCI_LC, FROM_GLC, and GlobeLand30). CLCD included nine major classes: cropland, forest, shrub, grassland, water, snow and ice, barren, impervious, and wetland. The overall classification accuracy of forest class was 85.49%±1.30%. In this study, CLCD products for 2019 and 2020 were used to assess the spatial consistency of FCH data for the corresponding year at the pixel scale.

2.1.4. Field Measurement Data

Field measurements at 1750 forest plots across China were collected from the literature and Science Data Bank (https://www.scidb.cn/) to evaluate the overall accuracy of FCH products (Figure 1(a)-1(c)). The sampling was conducted for the period from 2016 to 2023. Recorded information of sampling plots included geographic location, forest type, and canopy height. These plots were evenly distributed in most regions of China except for the northwest region. Forest types and site conditions of the plots in most provinces were diverse. However, the sampling plots were sparse in the northwest region. Forests in this region accounted for a small fraction of the national total. Therefore, the lack of enough sampling plots here might have a little impact on the accuracy of three FCH maps.

2.2. Methods

2.2.1. Area Comparison Between FCH Products and FID

The relative error is one of the most common methods used to analyze the difference between the assessment data and the reference data 27. In this study, the method is based on comparing forest area consistency of three FCH products (GFCH, NNGI_FCH, and ETH_GCH) from FID at the regional and provincial scales. The calculation formula is as follows:
E = A F C H A F I D A F I D × 100 %
where E is the relative error of forest area; AFCH and AFID denote the forest area obtained from the FCH product and FID for each region or province in China, respectively. AFCH is calculated as the number of canopy height pixels contained in each statistical division multiplied by the area of a single pixel (30 m×30 m) in the FCH product.

2.2.2. Spatial Consistency for FCH Products

In order to intuitively illustrate the spatial consistency of the three FCH products in China, this study overlays each FCH product and CLCD data spatially based on ArcGIS software (Figure 2). First, three FCH products and CLCD data for the corresponding year are binarized respectively, that is, forest pixel is assigned 1 and non-forest pixel is assigned 0. Then, each FCH product and CLCD are calculated pixel by pixel in a raster calculator to acquire the spatial correspondence between the forest and non-forest pixels. Finally, based on the number of pixel-by-pixel matches that are obtained for the target classes from the FCH and CLCD data, the degree of consistency is divided into: (1) consistency, the target classes show exactly the same at a given pixel; and (2) inconsistency, the FCH and CLCD data have different target classes at a given pixel.

2.2.3. Overall Accuracy of FCH Products

The overall accuracy of GFCH, NNGI_FCH, and ETH_GCH products in China are evaluated using 1750 field plot measurements mentioned in Section 2.1.4. We aggregate field plot measurements by region subdivisions to account for location inaccuracies and the -3–3-year gap between the field data and the FCH product. At national and regional scales, the canopy heights of GFCH, NNGI_FCH, and ETH_GCH products are compared with field measurements by way of linear regression, respectively. Two statistical measures are calculated to assess the accuracy of three FCH products using field data, including the coefficient of determination (R2) and root-mean-squared error (RMSE),
R 2 = 1 i = 1 n h i h ^ i 2 i = 1 n h i h ¯ i 2
R M S E = 1 n i = 1 n ( h i h ^ i ) 2  
where hi is the ith canopy height from field plot measurements; h ^ i is the corresponding canopy height taken from GFCH, NNGI_FCH, or ETH_GCH product; h ¯ i is the average canopy height of all field measurements grouped by the whole country or regions; and n is the number of samples.

3. Results

3.1. Comparisons of Estimated Forest Area from FCH Products with FID Estimates

There are significant differences in the estimates of forest area obtained from GFCH, NNGI_FCH and ETH_GCH products by comparison with the estimates of FID at the national and regional scales (Table 2). The estimated forest area from NNGI_FCH has the lowest relative error of 13.9% compared to FID at the national scale, followed by GFCH (59.5%) and ETH_GCH (188.6%). In most regions of China, these three FCH products tend to overestimate the forest area. GFCH has the best performance by comparing with FID in the northeast region, with a relative error of -1.3% in the estimated forest area, which accurately reflects the canopy height variation of temperate coniferous forest and mixed forest. The estimated forest area from NNGI_FCH is slightly lower than FID, with a relative error of -6.7%. However, ETH_GCH overestimates 95.8% of the forest area. In the north region, the estimates of forest area from GFCH and NNGI_FCH agree well with FID, with relative errors of 5.4% and -11.1%, respectively. ETH_GCH has a larger relative error of 144.8% in this region. In the east region, the difference in forest area between GFCH and FID is 1.92×105 km2, with a relative error of 78.2%. The NNGI_FCH product has a relatively smaller deviation, with a relative error of 13.0%, suggesting a low overestimation compared to GFCH. In contrast, the ETH_GCH product exhibits a relative error of 182.2%, which is significantly different from FID. In the south region, all three products show a trend of overestimation, with relative errors of 32.4%, 87.1%, and 147.7% for NNGI_FCH, GFCH, and ETH_GCH, respectively. In the southwest region, the relative errors of GFCH and ETH_GCH are 87.5% and 258.7%, respectively, but the NNGI_FCH product shows a lower relative error of 20.7%, indicating that NNGI_FCH has good applicability in this region. The forest resources in the northwest region are sparse and fragmented, which leads to the highest estimation errors of forest area among all products. GFCH shows a significant overestimation with a relative error of 81.5%, but NNGI_FCH has a relative error of 33.8%, representing its poorest performance across all regions. Furthermore, the estimated forest area by ETH_GCH is over three times greater than that of FID in this region. In general, the estimates of forest area from ETH_GCH are considerably larger than the FID estimates, and have notable regional variations. Specifically, GFCH delivers relatively accurate estimates in the northeast and north regions, while NNGI_FCH demonstrates higher accuracy in the majority of other regions.
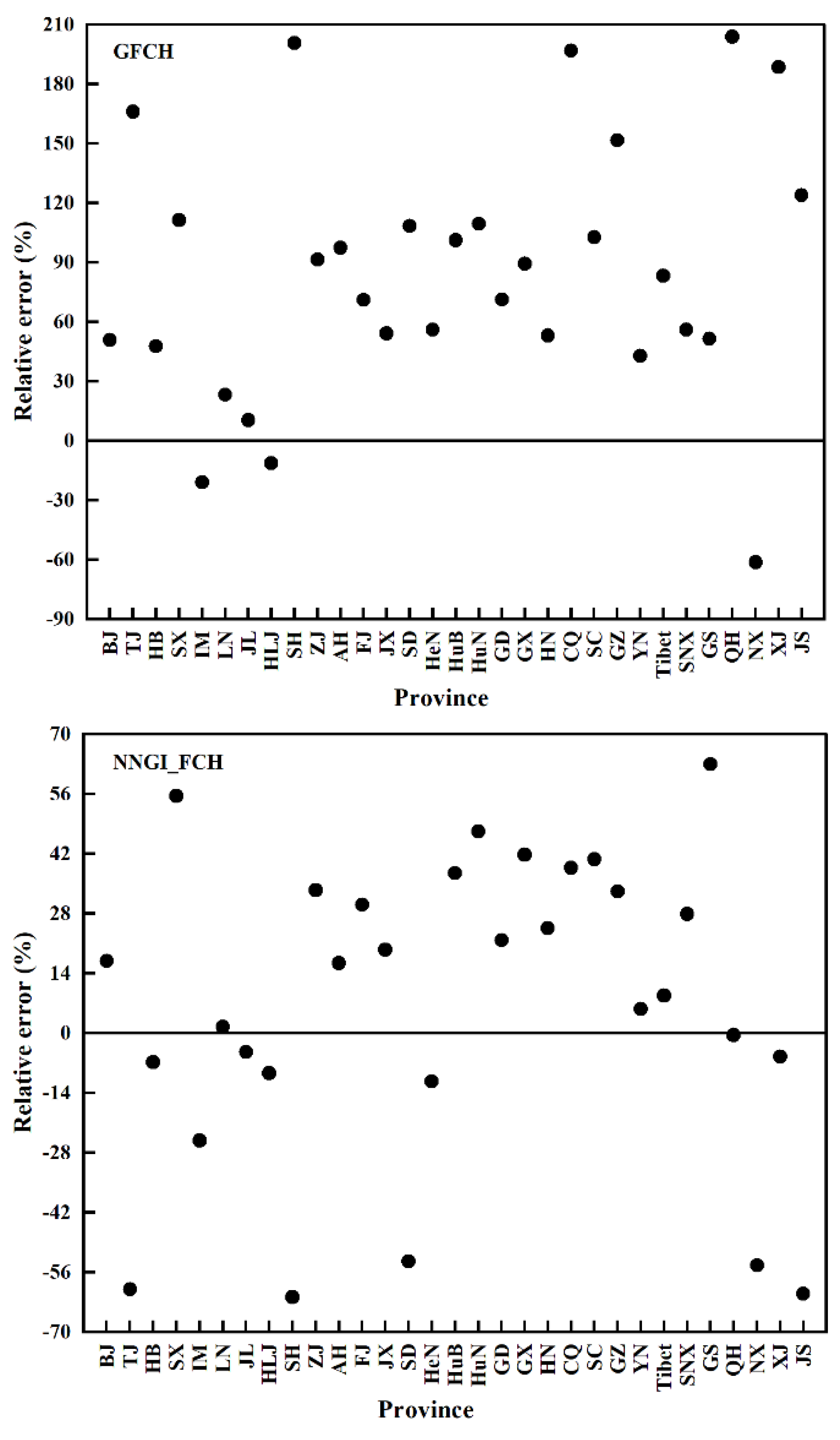
The relative errors of estimated forest area from GFCH, NNGI_FCH and ETH_GCH products are further compared with the FID estimates at the provincial scale (Figure 3). GFCH has a tendency to overestimate the forest area in most provinces but Heilongjiang (-11.1%), Inner Mongolia (-20.9%) and Ningxia (-61.2%), indicating notable regional heterogeneity. Extreme overestimations with a relative error over 100% occur in Shandong (108.5%), Hunan (109.5%), Tianjin (166.1%), Chongqing (196.9%), Shanghai (200.9%), and Qinghai (204.0%). The moderate overestimates of forest area are in the coastal provinces, such as Fujian (71.2%) and Zhejiang (91.5%). There are small relative errors in the estimated forest area locating in Jilin (10.6%) and Liaoning (23.3%). Forest area obtained from NNGI_FCH shows improved accuracy with relative errors below 30% across 16 provinces in the country, particularly achieving near-zero error in Qinghai (-0.5%) and minimal biases in Liaoning (-1.5%), Jilin (-4.4%), and Yunnan (5.7%), which indicate superior performance in homogeneous forest landscapes. Moderate overestimations of forest area are observed in Sichuan (40.7%), Guangxi (41.8%), and Hunan (47.3%), while more obvious overestimations occur in Shanxi (55.6%) and Gansu (63.0%). In contrast, there are significant underestimates of forest area from NNGI_FCH found in Shandong (-53.4%), Jiangsu (-61.0%), and Shanghai (-61.8%). Overall, ETH_GCH exhibits the most severe biases of the estimated forest area compared to FID in different provinces of China, probably owing to the canopy height of non-forest vegetation encompassed in ETH_GCH. Only seven provinces have relative errors below 100%, including Heilongjiang (81.6%), Fujian (87.4%), Hainan (87.8%), Jilin (94.2%), Jiangxi (94.5%), Yunnan (94.7%), and Inner Mongolia (96.5%). In most other provinces, the estimates of forest area are one to four times greater than those reported by FID, with relatively small errors appearing in Beijing (117.3%), Hebei (200.1%) and Anhui (302.2%). The estimated forest area from ETH_GCH has unexpectedly large errors in Xinjiang (682.1%) and Qinghai (695.8%), suggesting serious disagreement with the FID estimates.

3.2. Spatial Consistency of FCH for Different Products

The spatial consistency distribution of GFCH, NNGI_FCH and ETH_GCH products by comparison with CLCD shows high spatial heterogeneity in China (Figure 4). At the national scale, the GFCH product exhibits the highest spatial consistency, reaching 71.2%, followed by NNGI_FCH with a comparable value of 69.7%. Both datasets demonstrate strong applicability for FCH analysis across China. ETH_GCH has slightly poor consistency at a value of 35.6%, primarily due to its broader canopy height definition, which incorporates non-forest vegetation types. This inclusion increases spatial variability and reduces overall consistency. In the northeast region, NNGI_FCH presents a consistency of 77.1%, moderately lower than GFCH (82.5%). However, the consistency of ETH_GCH is low, with a value of 51.8%. In the north region, where forest cover is relatively sparse and discontinuously distributed, with concentrations mainly in mountainous areas such as the Taihang Mountains and limited presence in plains, GFCH and NNGI_FCH gain respective consistencies of 68.7% and 64.5%. These two FCH products effectively capture the spatial distribution of forests. In contrast, ETH_GCH exhibits a much lower consistency of 40.2%. In the east region, NNGI_FCH attains the largest consistency of 77.7%, followed by GFCH (72.0%) and ETH_GCH (46.8%). All three FCH products perform well compared with CLCD in this region. In the south region, characterized by abundant forest resources and complex terrain, GFCH, NNGI_FCH, and ETH_GCH exhibit relatively high consistencies of 76.6%, 73.5%, and 59.0%, respectively, indicating strong adaptability of these products in areas with diverse forest types. The southwest region is dominated by extensive mountainous and hilly areas, where some non-forest vegetation types have canopy heights similar to those of forests. GFCH achieves a consistency of 69.3%, surpassing NNGI_FCH (65.0%), while ETH_GCH records a low value of 33.8%, highlighting the superior classification performance of the regression tree algorithm in this region. All datasets demonstrate low spatial consistency in the northwest region, with values falling to 10.8%, 55.1%, and 65.0% for ETH_GCH, GFCH, and NNGI_FCH, respectively.
The spatial consistency of GFCH, NNGI_FCH and ETH_GCH products illustrates substantial variations in different provinces of China by comparison with CLCD (Figure 5). GFCH presents high spatial consistency in provinces with dense forest coverage, including Jilin (87.9%), Taiwan (88.7%) and Fujian (91.5%). However, its performance is notably low in urbanized regions, including Shanghai (0.3%), Jiangsu (5.7%), and Tianjin (11.7%), as well as in arid and semiarid areas such as Qinghai (8.8%) and Xinjiang (21.3%). ETH_GCH shows relatively good spatial consistency in some southeastern provinces, such as Zhejiang (71.3%), Taiwan (75.7%), and Fujian (84.8%). Nevertheless, its consistency declines dramatically in arid regions such as Qinghai (1.2%) and Ningxia (6.5%). NNGI_FCH demonstrates stronger and more stable spatial consistency across provinces, with 27 provinces showing values above 50%. There is generally high spatial consistency in the provinces with abundant forest resources, such as Shanxi (80.8%), Jilin (84.0%), and Taiwan (88.3%). It also shows good adaptability in some northern provinces, as indicated in Hebei (51.7%), Shanxi (62.7%), and Inner Mongolia (67.9%). Shanghai has the lowest spatial consistency at a value of 1.50%, followed by Qinghai (17.3%). Despite these low values, NNGI_FCH still makes the largest spatial consistency among the three products in both provinces. Compared with GFCH and ETH_GCH, NNGI_FCH exhibits superior spatial consistency in highly urbanized areas such as Tianjin, Shandong, and Jiangsu. Its consistency mostly exceeds 10% in all provinces but Shanghai, demonstrating more balanced regional variation and greater overall reliability.

3.3. Overall Accuracy of the Canopy Height Estimates for Different Products

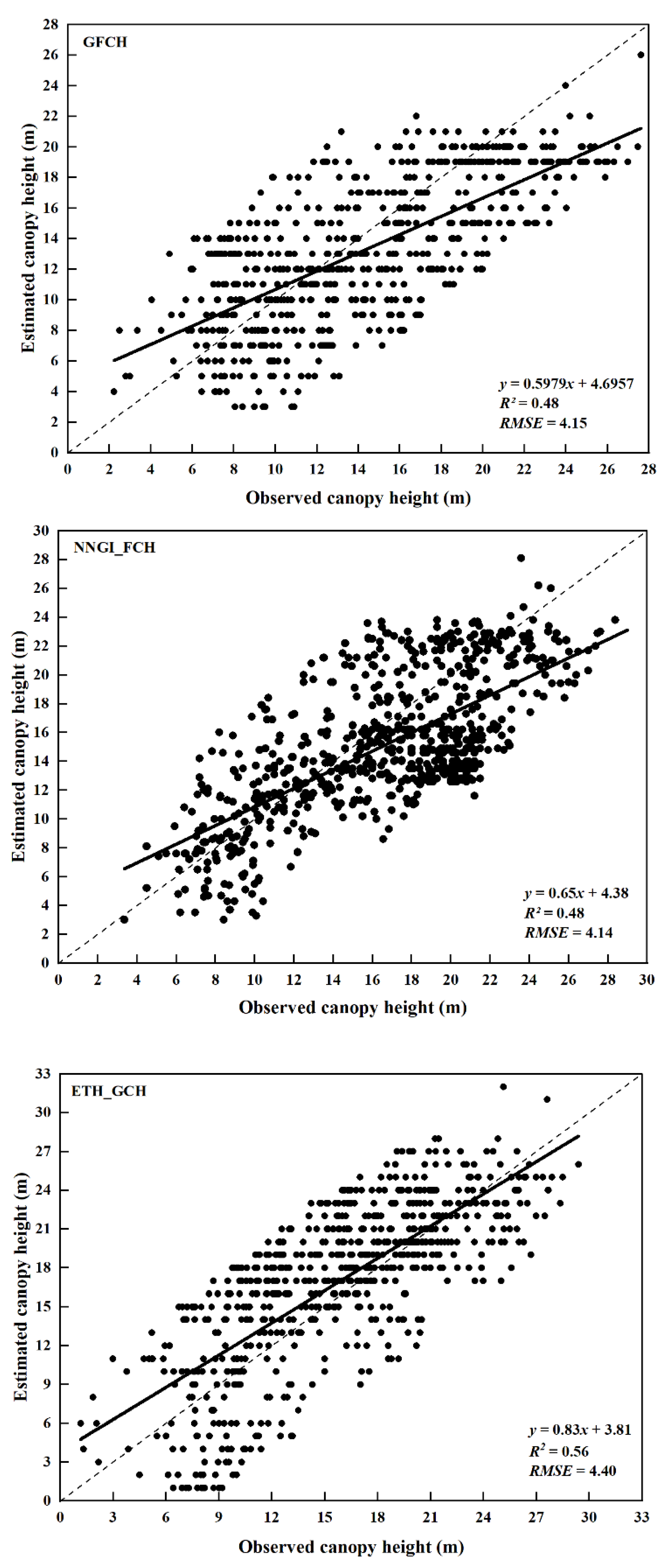
Figure 6 presents the comparisons of estimated FCH from GFCH, NNGI_FCH and ETH_GCH products with ground observations from the released datasets for China. The agreement is statistically significant and estimated FCH values are linearly correlated with observations, with a slight overestimate for short canopies and an underestimate for tall canopies. The correlations are almost equally high with R2 and RMSE of 0.48 and 4.15 m for GFCH, and 0.48 and 4.14 m for NNGI_FCH, respectively. The slope of NNGI_FCH is slightly greater than that of GFCH. The critical points for overestimation and underestimation of the FCH are respective 12.51 m and 11.75 m. This suggests that when canopy height exceeds these thresholds, GFCH and NNGI_FCH may exhibit an earlier-than-expected onset of the saturation effect. ETH_GCH demonstrates the best accuracy with R2 of 0.56, but its RMSE value is a bit higher than that of GFCH and NNGI_FCH. In addition, the slope of ETH_GCH is relatively close to the 1:1 line, indicating that it performs the best in estimating the canopy height of China’s forests among the three FCH products. On the other hand, the method adopted by mapping ETH_GCH exhibits obvious advantages of spatial continuity and adaptability across diverse environmental and geographical conditions at the large scale.
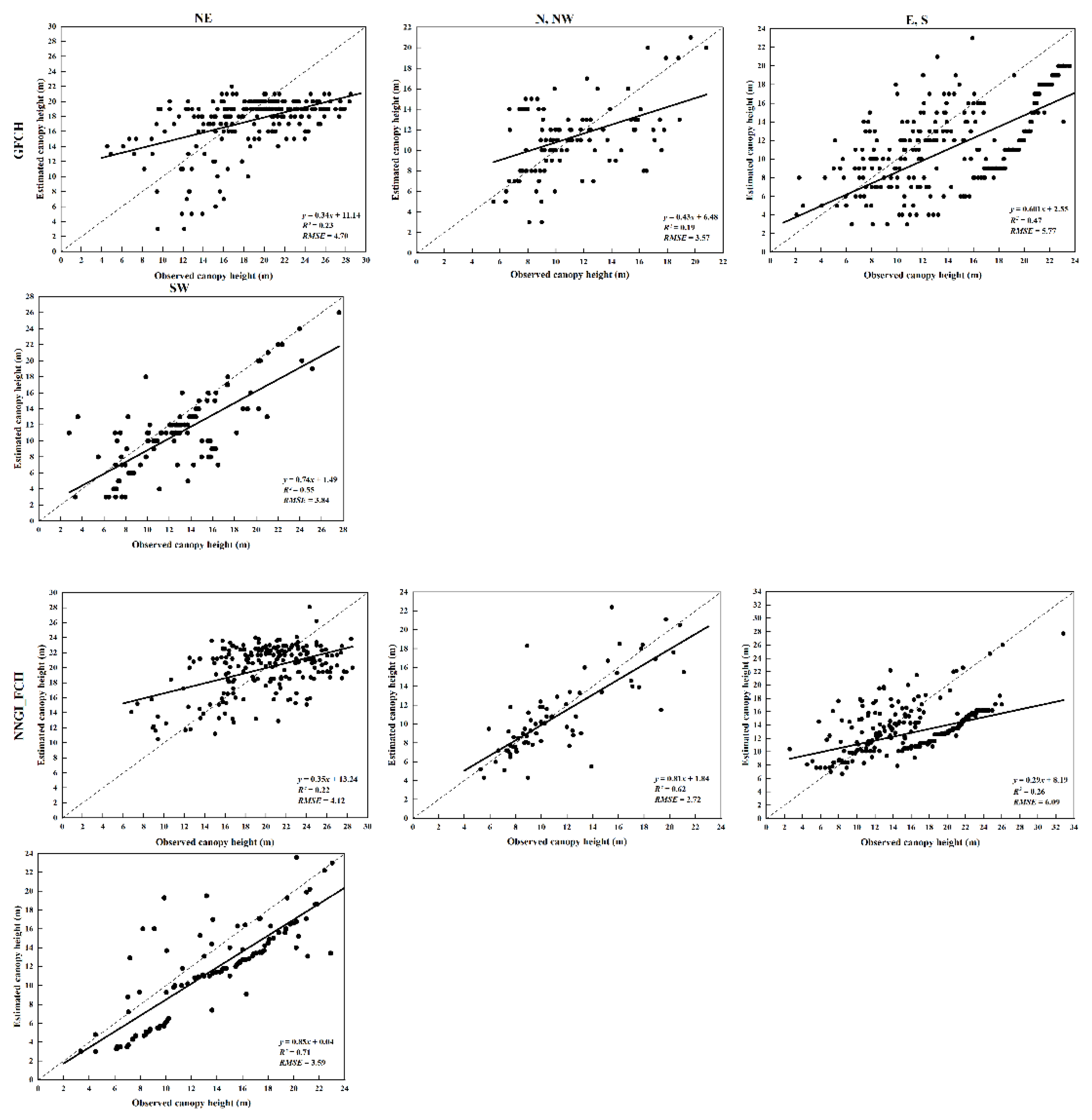
In general, the FCH estimates are in good agreement with the observed values at the regional scale (Figure 7). NNGI_FCH and GFCH demonstrate poor accuracy in the northeast region, with R2 of 0.22 and 0.23, and RMSE of 4.12 m and 4.70 m, respectively. ETH_GCH shows relatively better performance (R2=0.31, RMSE=4.62 m), although the improvement remains limited. In the north and northwest regions, NNGI_FCH outperforms ETH_GCH and GFCH in estimating FCH, with R2 and RMSE of 0.62 and 2.72 m. The environmental conditions in these regions have minimal influence on the NNGI model, which effectively captures spatial variations of forest canopy height. ETH_GCH exhibits slightly lower performance (R2=0.42, RMSE=5.63 m), primarily due to the prevalence of short canopy vegetation and the model’s positive bias. GFCH shows the lowest accuracy, with R2 and RMSE of 0.19 and 3.57 m. In the east and south regions, NNGI_FCH presents a poor correlation and large estimation error (R2=0.26, RMSE=6.09 m). Comparatively, both GFCH and ETH_GCH present superior performance, with R2 values of 0.47 and 0.48, respectively. ETH_GCH particularly stands out with RMSE of 4.57 m, indicating that its deep learning model successfully adapts to complex topography and heterogeneous forest structures, providing more reliable FCH estimates. In the southwest region, NNGI_FCH has the best agreement with the observed values, with R2 and RMSE of 0.71 and 3.59 m, followed by ETH_GCH (R2=0.58, RMSE=4.22 m). Although the fitting results of GFCH are slightly inferior, it maintains acceptable accuracy levels (R2=0.56, RMSE=3.48 m) in this region.

4. Discussion

4.1. Assessment Methodology for FCH Products

To evaluate the accuracy of FCH products, forest area serves as a crucial metrics due to its advantages. Variations in forest cover assessments across different satellite-based products, coupled with the influence of forest cover on canopy height inversion accuracy, underscore the importance of this metric. Forest area captures the spatial distribution of forest across landscapes [28,29]. Therefore, accurate estimation of this variable can function as an indirect metrics for assessing the regional performance of FCH products. However, there are differences in the spatial resolution and classification accuracy among the GFCH, NNGI_FCH and ETH_GCH products, which introduce variations in the estimated forest area within the same region. To address this, spatial analysis is conducted to quantify forest area for each product and compare it with the national FID. This comparison provides a unified spatial scale for evaluating the performance of various remote sensing datasets and modeling methods.
Beyond forest area estimation, the spatial distribution of forest is further analyzed to assess the delineation accuracy of each FCH product. Spatial consistency, which reflects both the differences and overlaps in spatial patterns between datasets 30, enables large-scale assessments of product performance and improves the precision of accuracy evaluations. This approach has proven effective for handling spatial data at the large scale. Spatial consistency and area consistency serve as complementary metrics, jointly improving the validation framework for remote sensing products [31,32,33]. The accuracy of canopy height retrieval is also strongly dependent on land cover type 34, and discrepancies in forest definitions across FCH products further complicate intercomparison. In this study, CLCD data and FCH products are binarized to calculate spatial consistency, allowing for an intuitive and quantitative assessment of each product’s ability to detect forest cover.
Observed field data remain essential for validating remote sensing outputs. A common validation approach involves fitting linear regression models between observed and estimated values to evaluate inversion accuracy. In this study, field measurements collected across provinces from 2016 to 2023 are used to maximize geographic coverage and reduce errors associated with sparse sampling. Previous studies have assessed the reliability of global FCH products in China 35 and temperate regions 21, focusing on either technical validation and error characterization or ecological modeling and applications. In contrast, this study integrates area estimation, spatial consistency, and overall accuracy to provide a more comprehensive and systematic assessment of three FCH products for the whole country in China. This multi-dimensional approach reduces the limitations inherent in single-method evaluation and enhances the robustness of product validation.

4.2. Potential Reasons for Inconsistencies of FCH Products

FCH is defined as the vertical distance from the top of the tree canopy to the ground 36. Due to diverse research objectives, forest definitions vary across studies. The GFCH product defines tree height using the 90th percentile height of ALS data, which approximates the dominant tree height commonly used in ecology and effectively captures vertical forest structure. This study adopts GEDI RH95 as the target variable after observing its highest correlation with ALS-derived 90th percentile heights. However, GEDI RH95 cannot inherently distinguish trees from artificial structures and requires ancillary land cover data for correction. In GFCH, forests are defined using the Global Forest Change product as areas with woody vegetation taller than 3 m Error! Reference source not found.. This definition aligns more closely with forest distribution in northern China, where natural and planted forests are abundant. The GFCH model, based on a regression tree algorithm, performs well in forests with relatively homogeneous canopy structures, such as broadleaved and coniferous types. However, GEDI’s limited latitudinal coverage (below 51.6°N) restricts evaluation in northern regions, influencing spatial consistency and final assessments (Figure 4).
ETH_GCH uses GEDI RH98 as the canopy height reference and trains a deep convolutional neural network using Sentinel-2 data. Lang et al. 6 adopted the Nature Conservancy’s terrestrial ecosystem classification and ESA’s 10 m WorldCover product to exclude urban and cropland areas. The forest definition of ETH_GCH is threshold-dependent, which can lead to inconsistencies in forest classification. In this study, no forest threshold is imposed, and all vegetation is retained, resulting in looser forest delineation. Consequently, areas such as tall shrubs may be misclassified as forests, inflating canopy height estimates (Table 2) and reducing spatial consistency (Figure 4). Despite this, ETH_GCH performs well nationwide, with high R2 and low RMSE values, effectively capturing canopy height variation (Figure 7). Although it exhibits localized systematic errors, ETH_GCH generally outperforms GFCH, leveraging high-resolution imagery and a robust deep learning framework for improved stability. This is consistent with the findings from Chen et al. 35.
Both GFCH and ETH_GCH are globally trained and validated models, lacking region-specific optimization for China's diverse forest types. In contrast, NNGI_FCH integrates waveform data from GEDI and ICESat-2, selecting RH100 and RH98 respectively as inversion indices based on comparison with UAV LiDAR data. These metrics represent the maximum canopy height detected in each system. Combined with environmental variables, this approach yields height estimates that closely match ground observations. Liu et al. [5] adopted the GlobalLand30 standard, which defines forest as areas with >30% canopy closure and sparse forests as 10-30% closure [38]. NNGI_FCH utilizes extensive UAV LiDAR and field measurements in China, enhancing the model’s representativeness and adaptability. The use of RH98, which approximates the canopy top height, and forest definitions aligned with national inventory standards contribute to its strong performance across scales. Leveraging spaceborne LiDAR from GEDI and ICESat-2 [39,40], NNGI_FCH captures forest structure over large areas and employs neural network guided interpolation to mitigate canopy height saturation commonly observed in regression and optical methods. This fusion approach reduces the striping effect and enhances sensitivity to structural heterogeneity [5]. At the national level, NNGI_FCH achieves spatial consistency exceeding 60% (Figure 4), with moderate overall accuracy. In regions such as the southwest, north, and northwest, R2 values surpass those of GFCH and ETH_GCH (Figure 7). Strong correlations are observed between satellite-derived and in situ canopy heights, though deviations persist in areas with steep topography and dense forest cover [41,42,43]. Overall, this study identifies NNGI_FCH as the most adaptable and reliable product for comprehensive FCH assessment in China, especially in heterogeneous and complex forest environments.

4.3. Uncertainty and Major Error Sources of Quality Assessment

FCH data serve as fundamental input for a wide range of forest-related studies, including biomass estimation and ecosystem monitoring. However, generating high-precision FCH maps remains a major challenge. The three canopy height products evaluated in this study represent current leading datasets that capture vertical forest structure across multiple spatial scales. Variability among products stems from differences in algorithm design and the complexity of forest structure and terrain, underscoring the necessity for validation against ground observations. Due to the unavailability of national FID from 2019 to 2023 in this study, forest area estimates for 2020 were based on the findings of Fu et al. Error! Reference source not found.. This substitution may introduce discrepancies between actual forest area and product-derived estimates, complicating inter-product comparisons. Larger estimation errors were observed in several northwestern provinces, such as Qinghai, Xinjiang, and Tibet (Figure 3), primarily due to sparse and fragmented forest distribution, compounded by rugged topography in mountainous and plateau regions. These conditions affect both forest area calculations and spatial statistics. Urbanization further influences forest structure and complicates satellite-based classification. In provinces like Shanghai and Shandong, human disturbances reduce the accuracy of differentiating forests from other vegetation types.
The field measurements used for validation are spatially uneven. In particular, data from northern, northwestern, and southwestern regions are limited, restricting independent verification of product accuracy in these areas. As a result, local performance, especially in sparse forest regions, remains under-assessed, potentially leading to underestimation of product suitability in those landscapes. Additionally, some field plots lack precise geolocation information, providing only coordinate ranges. To address this, sample locations were either randomly selected within reported bounds or averaged to derive representative positions. However, this approach introduces spatial uncertainty and fails to capture fine-scale canopy height variability, thus affecting the accuracy error estimates.
This study is, to our knowledge, the first to comprehensively assess three high-resolution FCH products across China in terms of forest area, spatial consistency, and overall accuracy. The results establish a scientific foundation for selecting datasets suited to China’s diverse forest ecosystems, and simultaneously contribute to forest monitoring initiatives in other regions, thereby supporting broader applications in forest resource management and ecological modelling.

5. Conclusions

This study systematically evaluated three high-resolution FCH products across China using metrics of forest area, spatial consistency, and overall accuracy. Results indicate that NNGI_FCH delivers the most accurate forest area estimates, with a relative error of 13.9%, significantly outperforming GFCH (59.5%) and ETH_GCH (188.6%). ETH_GCH notably overestimates forest area, especially in the northwest provinces, while NNGI_FCH maintains provincial relative errors within 65%, compared to only 19 provinces within 100% for GFCH. At the national scale, GFCH has the highest spatial consistency (71.2%), followed by NNGI_FCH (69.7%), while ETH_GCH records the lowest value (35.6%). NNGI_FCH achieves more balanced regional performance and maintains higher spatial consistency across several regions. In contrast, ETH_GCH remains below 50% in all but the northeast and south regions. In terms of overall accuracy, NNGI_FCH achieves a R2 of 0.48 and RMSE of 4.14 m nationwide, and performs particularly well in the southwest region (R2=0.71, RMSE=3.59 m). Although GFCH shows comparable national accuracy (R2=0.48, RMSE=4.15 m), it suffers from unstable fitting in the north and northwest (R2=0.19, RMSE=3.57 m). ETH_GCH demonstrates the best accuracy with R2 and RMSE of 0.56 and 4.40 m, but performs poorly in the northeast (R2=0.31, RMSE=4.62 m).
Considering the study results, some recommendations are provided for users and producers of FCH products.
For users: Each FCH product exhibits distinct advantages. NNGI_FCH achieves the highest reliability for accurate forest area estimation. GFCH is preferable for applications requiring precise forest distribution mapping. For use cases that prioritize overall canopy height accuracy, ETH_GCH may be the most suitable. When all metrics (forest area, spatial consistency, and overall accuracy) are critical, NNGI_FCH is recommended as the most balanced and robust option.
For producers: Efforts should prioritize enhancing model adaptability to diverse environmental conditions. In regions where non-forest vegetation attains tree-like heights, improving land cover classification is critical to avoid misclassification. Moreover, in mountainous or topographically complex areas, more rigorous preprocessing of input data is required to reduce terrain-induced errors in canopy height retrieval.

Funding

This work was supported by the National Natural Science Foundation of China (42471132, 42401158), Natural Science Foundation of Shandong Province (ZR2021MD019), and Innovation Project for graduate students of Ludong University (IPGS2025-062). We are grateful to the subject editor and two anonymous reviewers for their insightful comments and suggestions on an earlier version of this manuscript.

References

  1. Yang, Y.H.; Shi, Y.; Sun, W.J.; Chang, J.F.; Zhu, J.X.; Chen, L.Y.; Wang, X.; Guo, Y.P.; Zhang, H.T.; Yu, L.F.; et al. Terrestrial carbon sinks in China and around the world and their contribution to carbon neutrality. Sci. China Life Sci. 2022, 65, 861–895. [Google Scholar] [CrossRef]
  2. Pan, Y.; Birdsey, R.A.; Phillips, O.L.; Houghton, R.A.; Fang, J.Y.; Kauppi, P.E.; Keith, H.; Kurz, W.A.; Ito, A.; Lewis, S.L.; et al. The enduring world forest carbon sink. Nature 2024, 631, 563–569. [Google Scholar] [CrossRef]
  3. Zhu, X.X.; Nie, S.; Wang, C.; Xi, X.H.; Lao, J.Y.; Li, D. Consistency analysis of forest height retrievals between GEDI and ICESat-2. Remote Sens. Environ. 2022, 281, 113244. [Google Scholar] [CrossRef]
  4. Liu, S.Q.; Csillik, O.; Ordway, E.M.; Chang, L.L.; Longo, M.; Keller, M.; Moorcroft, P.R. Environmental drivers of spatial variation in tropical forest canopy height: Insights from NASA's GEDI spaceborne LiDAR. Proc. Natl Acad. Sci. U.S.A. 2025, 122, e2401755122. [Google Scholar] [CrossRef] [PubMed]
  5. Liu, X.Q.; Su, Y.J.; Hu, T.Y.; Yang, Q.L.; Liu, B.B.; Deng, Y.F.; Tang, H.; Tang, Z.Y.; Fang, J.Y.; Guo, Q.H. Neural network guided interpolation for mapping canopy height of China's forests by integrating GEDI and ICESat-2 data. Remote Sens. Environ. 2022, 269, 112844. [Google Scholar] [CrossRef]
  6. Lang, N.; Jetz, W.; Schindler, K.; Wegner, J.D. A high-resolution canopy height model of the Earth. Nat. Ecol. Evol. 2023, 7, 1778–1789. [Google Scholar] [CrossRef] [PubMed]
  7. Bolton, D.K.; Tompalski, P.; Coops, N.C.; White, J.C.; Wulder, M.A.; Hermosilla, T.; Queinnec, M.; Luther, J.E.; Lier, O.R.; Fournier, R.A.; et al. Optimizing Landsat time series length for regional mapping of lidar-derived forest structure. Remote Sens. Environ. 2022, 239, 111645. [Google Scholar] [CrossRef]
  8. Li, Z.Y.; Liu, Q.W.; Pang, Y. Review on forest parameters inversion using LiDAR. Natl Remote Sens. Bull. 2016, 20, 1138–1150. [Google Scholar] [CrossRef]
  9. Simard, M.; Pinto, N.; Fisher, J.B.; Baccini, A. Mapping forest canopy height globally with spaceborne lidar. J. Geophys. Res. 2011, 116, G04021. [Google Scholar] [CrossRef]
  10. Potapov, P.; Li, X.Y.; Hernandez-Serna, A.; Tyukavina, A.; Hansen, M.C.; Kommareddy, A.; Pickens, A.; Turubanova, S.; Tang, H.; Silva, C.E.; et al. Mapping global forest canopy height through integration of GEDI and Landsat data. Remote Sens. Environ. 2021, 253, 112165. [Google Scholar] [CrossRef]
  11. Wang, Y.Y.; Li, G.C.; Ding, J.H.; Guo, Z.D.; Tang, S.H.; Wang, C.; Huang, Q.N.; Liu, R.G.; Chen, J.M. A combined GLAS and MODIS estimation of the global distribution of mean forest canopy height. Remote Sens. Environ. 2016, 174, 24–43. [Google Scholar] [CrossRef]
  12. Yang, T.; Wang, C.; Li, G.C.; Luo, S.Z.; Xi, X.H.; Gao, S.; Zeng, H.C. Forest canopy height mapping over China using GLAS and MODIS data. Sci. China Earth Sci. 2015, 58, 96–105. [Google Scholar] [CrossRef]
  13. Jiao, H.; Wang, X.C.; Wu, J.R.; Gao, K.X. Improvement of forest canopy height estimation model by combining Geoscience Laser Altimetry System full waveform and multispectral remote sensing data over sloping terrain. J. Appl. Remote Sens. 2018, 12, 045019. [Google Scholar] [CrossRef]
  14. Popescu, S.C.; Zhou, T.; Nelson, R.; Neuenschwander, A.; Sheridan, R.; Narine, L.; Walsh, K.M. Photon counting LiDAR: An adaptive ground and canopy height retrieval algorithm for ICESat-2 data. Remote Sens. Environ. 2018, 208, 154–170. [Google Scholar] [CrossRef]
  15. Zhu, X.X. Forest height retrieval of China with a resolution of 30 m using ICESat-2 and GEDI data. Ph.D, Dissertation, University of Chinese Academy of Sciences, 2021. [Google Scholar]
  16. Wu, Z.C.; Shi, F.L. Mapping forest canopy height at large scales using ICESat-2 and Landsat: An ecological zoning random forest approach. IEEE Trans. Geosci. Remote Sens. 2023, 61, 4400116. [Google Scholar] [CrossRef]
  17. Malambo, L.; Popescu, S. Mapping vegetation canopy height across the contiguous United States using ICESat-2 and ancillary datasets. Remote Sens. Environ. 2024, 309, 114226. [Google Scholar] [CrossRef]
  18. Turubanova, S.; Potapov, P.; Hansen, M.C.; Li, X.Y.; Tyukavina, A.; Pickens, A.H.; Hernandez-Serna, A.; Arranz, A.P.; Guerra-Hernandez, J.; Senf, C.; et al. Tree canopy extent and height change in Europe, 2001–2021, quantified using Landsat data archive. Remote Sens. Environ. 2023, 298, 113797. [Google Scholar] [CrossRef]
  19. Tolan, J.; Yang, H.I.; Nosarzewski, B.; Couairon, G.; Vo, H.V.; Brandt, J.; Spore, J.; Majumdar, S.; Haziza, D.; Vamaraju, J.; et al. Very high resolution canopy height maps from RGB imagery using self-supervised vision transformer and convolutional decoder trained on aerial lidar. Remote Sens. Environ. 2024, 300, 113888. [Google Scholar] [CrossRef]
  20. Liu, A.B.; Cheng, Y.T.; Chen, X. Evaluating ICESat-2 and GEDI with integrated Landsat-8 and PALSAR-2 for mapping tropical forest canopy height. Remote Sens. 2024, 16, 3798. [Google Scholar] [CrossRef]
  21. Moudrý, V.; Gábor, L.; Marselis, S.; Pracná, P.; Barták, V.; Prošek, J.; Navrátilová, B.; Novotný, J.; Potůčková, M.; Gdulová, K.; et al. Comparison of three global canopy height maps and their applicability to biodiversity modeling: Accuracy issues revealed. Ecosphere 2024, 15, e70026. [Google Scholar] [CrossRef]
  22. National Forestry and Grassland Administration. China Forest Resources Report (2014–2018); China Forestry Publishing House: Beijing, China, 2019. [Google Scholar]
  23. Xu, B.; Guo, Z.D.; Piao, S.L.; Fang, J.Y. Biomass carbon stocks in China's forests between 2000 and 2050: A prediction based on forest biomass-age relationships. Sci. China Life Sci. 2010, 53, 776–783. [Google Scholar] [CrossRef] [PubMed]
  24. Fu, X.; Zhang, Y.X.; Wang, X.J. Prediction of forest biomass carbon pool and carbon sink potential in China before 2060. Sci. Silvae Sin. 2022, 58, 32–41. [Google Scholar]
  25. Yang, J.; Huang, X. The 30 m annual land cover dataset and its dynamics in China from 1990 to 2019. Earth Syst. Sci. Data 2021, 13, 3907–3925. [Google Scholar] [CrossRef]
  26. Chen, S.Y.; Lu, N.; Fu, B.J.; Wang, S.; Deng, L.; Wang, L.X. Current and future carbon stocks of natural forests in China. For. Ecol. Manage. 2022, 511, 120137. [Google Scholar] [CrossRef]
  27. Wang, J.; Yang, X.M.; Wang, Z.H.; Cheng, H.; Kang, J.; Tang, H.; Li, Y.; Bian, Z.; Bai, Z. Consistency analysis and accuracy assessment of three global ten-meter land cover products in Rocky Desertification Region—A case study of Southwest China. ISPRS Int. J. Geo-Inf. 2022, 11, 202. [Google Scholar] [CrossRef]
  28. Li, Y.; Sulla-Menashe, D.; Motesharre, S.; Song, X.P.; Kalnay, E.; Ying, Q.; Li, S.C.; Ma, Z.W. Inconsistent estimates of forest cover change in China between 2000 and 2013 from multiple datasets: Differences in parameters, spatial resolution, and definitions. Sci. Rep. 2017, 7, 8748. [Google Scholar] [CrossRef]
  29. Zhang, C.K.; Yu, Y. Accuracy verification of ground elevation and vegetation canopy height inversion from ICESat-2/ATLAS data. For. Eng. 2023, 39, 1–11. [Google Scholar]
  30. Chen, Y.Y.; Wang, Y.; Zhou, Y.H.; Yang, Y.K. Assessment of forest type data in global land cover products over China. Remote Sens. Technol. Appl. 2023, 38, 341–352. [Google Scholar]
  31. Wang, H.; Yan, H.M.; Hu, Y.F.; Xi, Y.; Yang, Y.C. Consistency and Accuracy of Four High-Resolution LULC Datasets—Indochina Peninsula Case Study. Land 2022, 11, 758. [Google Scholar] [CrossRef]
  32. Kang, J.M.; Yang, X.M.; Wang, Z.H.; Cheng, H.; Wang, J.; Tang, H.; Li, Y.; Bian, Z.; Bai, Z. Comparison of three ten meter land cover products in a drought region: A case study in northwestern China. Land 2022, 11, 427. [Google Scholar] [CrossRef]
  33. Zhu, J.T.; Ai, J.Q.; Chen, X.Y.; Tang, Y.H. Consistency analysis of classification results for lake wetland based on multi-source optical remote sensing data. Geogr. Geo-Inf. Sci. 2021, 37, 45–50. [Google Scholar]
  34. Wang, L.; Li, Y.; Zhu, J.J.; Fu, H.Q.; Gao, S.J. Accuracy Assessment of ICESat-2 ATL08 Terrain and Canopy Heights. Remote Sens. Inf. 2023, 38, 144–152. [Google Scholar] [CrossRef]
  35. Chen, A.; Cheng, K.; Chen, Y.L.; Qi, Z.Y.; Yang, H.T.; Ren, Y.; Yang, Z.K.; Chen, M.X.; Xu, J.C.; Zhang, Y.X.; et al. Validating recent global canopy height maps over China’s forests based on UAV lidar data. Remote Sens. Environ. 2025, 329, 114957. [Google Scholar] [CrossRef]
  36. Hu, T.; Peng, J.; Dong, J.Q.; Xiao, S.C.; Xia, P. Forest definitions collaboration based on global remote sensing data products. Acta Geogr. Sin. 2024, 79, 1115–1128. [Google Scholar]
  37. Hansen, M.C.; Potapov, P.V.; Moore, R.; Hancher, M.; Turubanova, S.A.; Tyukavina, A.; Thau, D.; Stehman, S.V.; Goetz, S.J.; Loveland, T.R.; et al. High-resolution global maps of 21st-century forest cover change. Science 2013, 342, 850–853. [Google Scholar] [CrossRef] [PubMed]
  38. Chen, J.; Chen, J.; Liao, A.Q.; Cao, X.; Chen, L.J.; Chen, X.H.; He, C.Y.; Han, G.; Peng, S.; Lu, M.; et al. Global land cover mapping at 30 m resolution: A POK-based operational approach. ISPRS J. Photogramm. Remote Sens. 2015, 103, 7–27. [Google Scholar] [CrossRef]
  39. Neuenschwander, A.; Guenther, E.; White, J.C.; Duncanson, L.; Montesano, P. Validation of ICESat-2 terrain and canopy heights in boreal forests. Remote Sens. Environ. 2020, 251, 112110. [Google Scholar] [CrossRef]
  40. Roy, D.P.; Kashongwe, H.B.; Armston, J. The impact of geolocation uncertainty on GEDI tropical forest canopy height estimation and change monitoring. Sci. Remote Sens. 2021, 4, 100024. [Google Scholar] [CrossRef]
  41. Kong, D.L.; Xing, Y.Q. Inversion of tree height from GEDI and ICESat-2 spaceborne lidar. J. Nanjing For. Univ. 2025, 49, 175–184. [Google Scholar]
  42. Cai, L.T.; He, J.S.; Wu, J.; Han, X.R.; Wang, Y.; Xing, Z.K. Estimation of forest canopy height in different season based on GEDI waveform data. Trans. Chin. Soc. Agric. Mach. 2025, 56, 325–334. [Google Scholar]
  43. Liu, L.J.; Wang, C.; Nie, S.; Zhu, X.X.; Xi, X.H.; Wang, J.L. Analysis of the influence of different algorithms of GEDI L2A on the accuracy of ground elevation and forest canopy height. J. Univ. Chin. Acad. Sci. 2022, 39, 502–511. [Google Scholar]
Figure 1. Distributions of forest regions, plots, and forest types in China. (a) Forest regions following Chen et al. 26; (b) geographical distribution of 1750 forest plots used; (c) spatial distribution of China’s forest in 2020. Northeast region includes Heilongjiang (HLJ), Jilin (JL), Liaoning (LN); North region includes Beijing (BJ), Tianjin (TJ), Hebei (HB), Shanxi (SX), and Inner Mongolia (IM); East region includes Shandong (SD), Jiangsu (JS), Anhui (AH), Shanghai (SH), Zhejiang (ZJ), Fujian (FJ), Jiangxi (JX), and Taiwan (TW); South region includes Hainan (HN), Guangdong (GD), Guangxi (GX), Hunan (HuN), Hubei (HuB), and Henan (HeN); Southwest region includes Yunnan (YN), Sichuan (SC), Chongqing (CQ), Guizhou (GZ), and Tibet; Northwest region includes Xinjiang (XJ), Qinghai (QH), Gansu (GS), Ningxia (NX), and Shannxi (SNX).
Figure 1. Distributions of forest regions, plots, and forest types in China. (a) Forest regions following Chen et al. 26; (b) geographical distribution of 1750 forest plots used; (c) spatial distribution of China’s forest in 2020. Northeast region includes Heilongjiang (HLJ), Jilin (JL), Liaoning (LN); North region includes Beijing (BJ), Tianjin (TJ), Hebei (HB), Shanxi (SX), and Inner Mongolia (IM); East region includes Shandong (SD), Jiangsu (JS), Anhui (AH), Shanghai (SH), Zhejiang (ZJ), Fujian (FJ), Jiangxi (JX), and Taiwan (TW); South region includes Hainan (HN), Guangdong (GD), Guangxi (GX), Hunan (HuN), Hubei (HuB), and Henan (HeN); Southwest region includes Yunnan (YN), Sichuan (SC), Chongqing (CQ), Guizhou (GZ), and Tibet; Northwest region includes Xinjiang (XJ), Qinghai (QH), Gansu (GS), Ningxia (NX), and Shannxi (SNX).
Preprints 195542 g001
Figure 2. Spatial overlay map of the FCH product (GFCH, NNGI_FCH, or ETH_GCH) and CLCD data.
Figure 2. Spatial overlay map of the FCH product (GFCH, NNGI_FCH, or ETH_GCH) and CLCD data.
Preprints 195542 g002
Figure 3. The relative error of estimated forest area from GFCH, NNGI_FCH and ETH_GCH products in comparison with the estimates of FID in different provinces of China (excluding Taiwan, Hongkong and Macao due to lacking data).
Figure 3. The relative error of estimated forest area from GFCH, NNGI_FCH and ETH_GCH products in comparison with the estimates of FID in different provinces of China (excluding Taiwan, Hongkong and Macao due to lacking data).
Preprints 195542 g003aPreprints 195542 g003b
Figure 4. The spatial consistency distribution of GFCH, NNGI_FCH and ETH_GCH products by comparison with CLCD in China. The bar chart represents the summary of spatial consistency of three FCH products in different regions of China.
Figure 4. The spatial consistency distribution of GFCH, NNGI_FCH and ETH_GCH products by comparison with CLCD in China. The bar chart represents the summary of spatial consistency of three FCH products in different regions of China.
Preprints 195542 g004
Figure 5. The spatial consistency of GFCH, NNGI_FCH and ETH_GCH products by comparison with CLCD in different provinces of China (HK represents Hongkong).
Figure 5. The spatial consistency of GFCH, NNGI_FCH and ETH_GCH products by comparison with CLCD in different provinces of China (HK represents Hongkong).
Preprints 195542 g005
Figure 6. The comparisons of estimated FCH from GFCH, NNGI_FCH and ETH_GCH products with observed FCH at the plot scale in China. The solid line is the regression line, while the dash line is the 1:1 line. RMSE is the root-mean-square error (meter). All statistics are significant at the 0.01 level.
Figure 6. The comparisons of estimated FCH from GFCH, NNGI_FCH and ETH_GCH products with observed FCH at the plot scale in China. The solid line is the regression line, while the dash line is the 1:1 line. RMSE is the root-mean-square error (meter). All statistics are significant at the 0.01 level.
Preprints 195542 g006
Figure 7. Comparison of estimated FCH by GFCH, NNGI_FCH, and ETH_GCH products with observed FCH at the plot scale for different regions of China. From top to bottom, each row represents GFCH, NNGI_FCH, and ETH_GCH, respectively. From left to right, each column represents the northeast (NE), north (N), northwest (NW), east (E), south (S), and southwest (SW) regions. Due to the limited data availability, FCH values in the north and northwest regions were evaluated using the same field plots. The same is true for the east and south regions. The solid line is the regression line, while the dash line is the 1:1 line. RMSE is the root-mean-square error (meter). All statistics are significant at the 0.01 level.
Figure 7. Comparison of estimated FCH by GFCH, NNGI_FCH, and ETH_GCH products with observed FCH at the plot scale for different regions of China. From top to bottom, each row represents GFCH, NNGI_FCH, and ETH_GCH, respectively. From left to right, each column represents the northeast (NE), north (N), northwest (NW), east (E), south (S), and southwest (SW) regions. Due to the limited data availability, FCH values in the north and northwest regions were evaluated using the same field plots. The same is true for the east and south regions. The solid line is the regression line, while the dash line is the 1:1 line. RMSE is the root-mean-square error (meter). All statistics are significant at the 0.01 level.
Preprints 195542 g007aPreprints 195542 g007b
Table 1. Base information of the FCH products used this study.
Table 1. Base information of the FCH products used this study.
Information GFCH NNGI_FCH ETH_GCH
Region 51.6°S–51.6°N China Global
Satellite sensor GEDI, Landsat GEDI, ICESat-2 GEDI, Sentinel-2
Spatial resolution (m) 30 30 10
Temporal coverage 2019 2019 2020
Method Bagged regression tree ensemble model Neural network guided interpolation method Deep convolutional neural network
FCH estimates RH95 RH98, RH100 RH98
Forest definitions Areas with woody vegetation taller than 3 m Areas with >30% canopy closure and sparse forests as 10–30% closure Vegetation
Source 10 5 6
Table 2. The relative error of estimated forests area from GFCH, NNGI_FCH and ETH_GCH products in comparison with the estimates of FID in different regions of China.
Table 2. The relative error of estimated forests area from GFCH, NNGI_FCH and ETH_GCH products in comparison with the estimates of FID in different regions of China.
Region GFCH (%) NNGI_FCH (%) ETH_GCH (%)
Northeast -1.3 -6.7 95.8
North 5.4 -11.1 144.8
East 78.2 13.0 182.2
South 87.1 32.4 147.7
Southwest 87.5 20.7 258.7
Northwest 81.5 33.8 369.5
China 59.5 13.9 188.6
Disclaimer/Publisher’s Note: The statements, opinions and data contained in all publications are solely those of the individual author(s) and contributor(s) and not of MDPI and/or the editor(s). MDPI and/or the editor(s) disclaim responsibility for any injury to people or property resulting from any ideas, methods, instructions or products referred to in the content.
Copyright: This open access article is published under a Creative Commons CC BY 4.0 license, which permit the free download, distribution, and reuse, provided that the author and preprint are cited in any reuse.
Prerpints.org logo

Preprints.org is a free preprint server supported by MDPI in Basel, Switzerland.

Subscribe

Disclaimer

Terms of Use

Privacy Policy

Privacy Settings

© 2026 MDPI (Basel, Switzerland) unless otherwise stated