Preprint
Article

This version is not peer-reviewed.

On Modularity, Indistinguishability and Generalized Metrics: Duality and Aggregation

Submitted:

20 January 2026

Posted:

20 January 2026

You are already at the latest version

Abstract
In this paper we prove that, on the one hand, a duality relationship between different types of modular T-transitive relations and the reciprocal modular generalized metrics exists and, on the other hand, that based on this duality a construction of functions that aggregate modular T-transitive relations can be made from functions aggregating generalized metrics. Furthermore, we provide a guide of the families of that type of functions that can be used to the aforementioned purpose. Finally, illustrative examples of how to create such functions via the duality are given.
Keywords: 
;  ;  ;  ;  ;  

1. Introduction

One of the most common problems when working in applied sciences is the need to combine different pieces of information into a single one. This process is crucial to extract conclusions and to make decisions in order to solve the problem under consideration. In many cases, such information is related to the similarity or dissimilarity between objects. It is for this reason that, both the notions of T-indistinguishability relation and metric (or any generalized version of them), and the functions that are able to aggregate them preserving their mathematical properties, have been extensively studied. Some instances where such notions have been of great utility in obtaining applications can be found, for instance, in [1,2,3,4,5,6,7].
From the fact that similarity and dissimilarity are dual concepts, it is natural to ask wether this duality also exists between T-indistinguishability relations and metrics. The answer to this question was given in [8] (see also [9]) proving that a pseudo-metric could be obtained from a T-indistinguishability relation by means of the use of an additive generator of the t-norm T. Moreover in the same reference it was shown that a T-indistinguishability relation could be generated trough a pseudo-metric using an additive generator of the t-norm. Later on, in [10] the construction given in [8] was extended to the metric case and, in addition, it was also proved that the t-norm needs to be continuous when a T-indistinguishability relation is induced from a (pseudo-)metric.
In view of the exposed studies, in [11] and [12] the aforesaid existing duality for T -indistinguishability relations and metrics was extended to the quasi-pseudo-metric and relaxed metric frameworks, respectively. It must be noticed that, in this paper, relaxed metrics are considered in the sense of [13,14]. For more details check Table 1 and Table 2 in Section 2.
Furthermore, in [15] it has been proven that functions that aggregate T-indistinguisha-bility relations can be constructed by means of those functions that aggregate pseudo-metrics involving the use of additive generators and their associated pseudo-inverses. Inspired by this specific construction, similar results were explored for pseudo-metrics, quasi-pseudo-metrics and relaxed metrics in [16,17,18].
It is worth noting that when the measure is relative to a certain parameter, the notions of indistinguishability relation and metric may not be appropriate in order to capture the similarity or dissimilarity between objects. In order to overcome such a handicap, the notion of modular pseudo-metric was introduced in [19] and, later on, the concept of modular indistinguishability was introduced in [20]. In particular, the existence of a duality relationship between these two notions, in a similar way as in the non modular framework, was also proven in [20]. Some instances of recent applications of both modular metrics and modular indistinguishability relations can be found in [7,21,22,23].
Motivated by the potential applications of modular metrics and modular indistinguishability relations, many articles have been published regarding their aggregation (see [7,24,25,26,27,28]). Along those lines, in [29], the technique introduced in [15] for generating functions that aggregate pseudo-metrics by means of functions that aggregate T-indistinguishability relations, involving the use of additive generators and their associated pseudo-inverses, was extended to the context of modular pseudo-metrics and modular T-indistinguishability relations. In particular, a description of both type of functions was provided.
In this paper we will expand the work started in [20], an later continued in [29], to the modular versions of quasi-pseudo metrics and relaxed metrics, two kinds of generalized modular metrics. Hence, on the one hand, we will introduce a technique to generate a modular T-pre-order from a modular quasi-pseudo metric and a modular relaxed T-indistinguishability relation from a modular relaxed metric, via the use of an additive generator of the t-norm. Moreover, the reciprocal technique will be also developed using the pseudo-inverse of the aforementioned additive generator. In view of these results, we will explore the relationship between those functions aggregating these generalized modular indistinguishability relations and their generalized modular metric counterpart taking advantage of the previous specific duality construction extending that given in [15]. In particular, we will provide a specific construction of the second family of functions through the first one making use of both additive generators and their associated pseudo-inverses. Finally, we will provide some illustrative examples on how the mentioned transformation processes can be applied.
The rest of the paper is structured as follows. To begin with, a more in depth explanation of the notions and previous results that set the basis for our research are provided in Section 2. Section 3 is devoted to the extension of the results from [20], detailed in Section 2, where the construction of aforesaid generalized modular metrics using additive generators is provided and the construction of the above generalized modular indistinguishability relations using pseudo-inverse is also given. Next, in Section 4, we prove that functions that aggregate each one the aforementioned modular generalized metric can be obtained by means of a specific construction of functions that merge some type of modular T-transitive fuzzy relations making use of both additive generators and their associated pseudo-inverses. All results regarding aggregation have been compiled in Table 3, which summarizes the type of function that can be used to aggregate each kind of T-transitive relation (modular or non modular) to obtain each kind of generalized metric (modular or non modular). In Section 5, we exemplify how the theorems, and thus the mentioned techniques, exposed in Section 4 can be used to obtain the desired type of function. To end up, in Section 6, we expose some conclusions and ideas for future work.

2. Preliminaries

Let us recall the notions that have worked as a basis for our research and which will be used in the subsequent sections. On the one hand, the concept of T-indistinguishability relation was introduced in [30], by E. trillas in 1982, in the following way.
Definition 1. 
Given a non empty set X and a t-norm T, a fuzzy set E : X × X [ 0 , 1 ] is defined as a T-indistinguishability relation whenever it fulfills, for all x , y , z X , the following conditions:
(E.1)
E ( x , x ) = 1 (reflexivity),
(E.2)
E ( x , y ) = E ( y , x ) (symmetry),
(E.3)
T ( E ( x , y ) , E ( y , z ) ) E ( x , z ) (T-transitivity).
Moreover, we say that E is a T-equality (see [5]) in case that it also satisfies:
(E.4) E ( x , y ) = 1 implies that x = y (point separation).
Such a notion can be used to measure the similarity (or even indistinguishability) between two elements from a given set. In this sense, the higher is the value of E ( x , y ) , the more similar (or indistinguishable) are x and y to each other. In the succeeding, we assume that the reader is familiar with the basics of t-norms. If this is not the case, we suggest to check [31].
On the other hand, according to [32], an extended pseudo-metric can be defined as follows:
Definition 2. 
Given a non empty set X, a function d : X × X [ 0 , ] is called an extended pseudo-metric on X if it satisfies for each x , y , z X :
(D.1)
d ( x , x ) = 0 (self distance 0),
(D.2)
d ( x , y ) = d ( y , x ) (symmetry),
(D.3)
d ( x , y ) + d ( y , z ) d ( x , z ) (triangular inequality).
Moreover, an extended metric is an extended pseudo-metric which also fulfills:
(D.4) d ( x , y ) = 0 implies that x = y (metric point separation).
In the particular case where d ( x , y ) b for all x , y X and some b ] 0 , ] , we say that d is a b-bounded (pseudo-)metric. It follows from the definition that an extended (pseudo-)metric is a -bounded (pseudo-)metric.
A remarkable property of T-indistinguishability relations is their duality relationship with extended pseudo-metrics. More precisely, in [9], it was shown that an extended pseudo-metric on a non empty set X can be obtained from a T-indistinguishability relation E on X by means of an additive generator of the Archimedean t-norm T (Proposition 6 in [9]), and reciprocally but now using the pseudo-inverse of the additive generator and taking the t-norm T continuous (Proposition 7 in. [9]). Thus, given a non empty set X, a T-indistinguishability relation E on X and an additive generator f of T, the function defined for all x , y X , by
d E , f ( x , y ) = f ( E ( x , y ) )
is an extended pseudo-metric on X. Similarly, given a non empty set X, an extended pseudo-metric d on X and the pseudo-inverse f ( 1 ) of an additive generator f of a continuous and Archimedean t-norm T, the function defined, for all x , y X , by
E d , f ( x , y ) = f ( 1 ) ( d ( x , y ) )
is a T-indistinguishability relation on X.
Recall that, according to [31], an additive generator of a triangular norm is defined as follows.
Definition 3. 
An additive generator f : [ 0 , 1 ] [ 0 , ] of a t-norm T is a strictly decreasing function which is also right continuous at 0 and satisfies f ( 1 ) = 0 , such that for all x , y [ 0 , 1 ] 2 we have:
f ( x ) + f ( y ) R a n ( f ) [ f ( 0 ) , ] a n d T ( x , y ) = f ( 1 ) ( f ( x ) + f ( y ) ) ,
where the pseudo-inverse f ( 1 ) is the mapping f ( 1 ) : [ 0 , ] [ 0 , 1 ] defined by f ( 1 ) ( y ) = inf { t : t [ 0 , 1 ] and f ( t ) y } . Observe that, in the particular case that an additive generator f is continuous (or equivalently the t-norm T is continuous and Archimedean), its pseudo-inverse is given by
f ( 1 ) ( y ) = f 1 ( min { f ( 0 ) , y } ) .
Analogously, in [10], the duality relationship given by expressions (1) and (2) was proven between T-equalities and metrics. Thus an extended metric is induced considering a T-equality in (1) and reciprocally, a T-equality is generated considering an extended metric in (2).
As a matter of fact, this duality relationship exists whenever the considered functions in (1) and (2) are obtained by relaxing reciprocal properties from equalities and extended metrics (see [11] and [12]). In particular, if E is a fuzzy relation from Table 1 and f is an additive generator of a t-norm T, then d E , f is the generalized extended metric from Table 2 located in the same row as E. Conversely, if d is a generalized extended metric from Table 2 and f ( 1 ) is the pseudo-inverse of an additive generator f of a continuous t-norm T, then E d , f is the fuzzy relation from Table 1 located in the same row as d. Given that all considered fuzzy relations from Table 1 satisfy condition (E.3), we will refer to them as T-transitive fuzzy relations. Notice that a fuzzy set E : X × X [ 0 , 1 ] satisfies the asymmetric point separation property provided that E ( x , y ) = E ( y , x ) = 1 x = y . In a similar way, a function d : X × X [ 0 , ] fulfills the distance asymmetric point separation when d ( x , y ) = d ( y , x ) = 0 x = y .
Inspired by this duality relationship, many studies regarding the construction of functions that merge generalized extended metrics via functions merging T-transitive relations have arisen (see [15,16,17,18]). Particularly, Pradera, Trillas and Castiñeira proved Theorem 1 (below) in [15].
In order to fully understand the formulation of such a theorem, let us recall that, given a collection of t-norms T = { T i } i = 1 n and a collection of fuzzy relations { E i } i = 1 n , we say that we have a collection of T -indistinguishability relations if each E i is a T i -indistinguishability relation on X for all i { 1 , , n } . Moreover, given a collection of T -indistinguishability relations { E i } i = 1 n , a function F : [ 0 , 1 ] n [ 0 , 1 ] is said to aggregate T -indistinguishability relations into a T-indistinguishability relation provided that F ( E 1 , , E n ) is a T-indistinguishability relation on X. The notion of aggregation function for the rest of the T-transitive relations in Table 1 can be defined in a similar way. Furthermore, if we have a collection of ( b i ) i = 1 n -bounded pseudo-metrics (each d i is a b i -bounded pseudo-metric on X for all i { 1 , , n } ), then a function H: [ 0 , b i ] n [ 0 , c ] , with c ] 0 , ] , aggregates a collection of ( b i ) i = 1 n -bounded pseudo-metrics { d i } i = 1 n on X provided that H ( d 1 , , d n ) is a c-bounded pseudo-metric on X, where H ( d 1 , , d n ) ( x , y ) = H ( d 1 ( x , y ) , , d n ( x , y ) ) for all x , y X . Of course, when the ( b i ) i = 1 n -bounded pseudo-metrics are exactly a collection of -bounded pseudo-metrics (extended pseudo-metrics) on X, that is b i = for all i { 1 , , n } , we say that a function G: [ 0 , ] n [ 0 , ] aggregates extended pseudo-metrics into an extended pseudo-metric given that G ( d 1 , , d n ) is an extended pseudo-metric on a non-empty X, where G ( d 1 , , d n ) ( x , y ) = G ( d 1 ( x , y ) , , d n ( x , y ) ) for all x , y X .
The notions of function aggregating T -indistinguishability relations into a T-indistinguishability relation can be adapted as expected when the collection of transitive relationships corresponds to the rest of those included in the Table 1. The same occurs for the case of functions aggregating bounded pseudo-metrics (extended pseudo-metrics) according to Table 2.
Theorem 1. 
Let n N and let T = { T i } i = 1 n be a collection of continuous Archimedean t-norms. If T is a continuous Archimedean t-norm and F : [ 0 , 1 ] n [ 0 , 1 ] is a function, then the following assertions are equivalent:
(1)
F aggregates T -indistinguishability relations into a T-indistinguishability relation.
(2)
The function H : i = 1 n [ 0 , f T i ( 0 ) ] n [ 0 , f T ( 0 ) ] , where H = f T F ( f T 1 ( 1 ) × . . . × f T n ( 1 ) ) , aggregates every collection of ( f T i ( 0 ) ) i = 1 n -bounded pseudo-metrics { d i } i = 1 n into a f T ( 0 ) -bounded pseudo-metric.
Notice that if in the preceding result all continuous t-norms are strict, then assertion ( 2 ) matches up with the following one: The function G : i = 1 n [ 0 , ] [ 0 , ] , where G = f T F ( f T 1 1 × . . . × f T n 1 ) , aggregates every collection of extended pseudo-metrics { d i } i = 1 n into an extended pseudo-metric.
Following the idea from Theorem 1, analogous versions for the rest of the pairs of functions (generalized indistinguishability relation, generalized extended metric) corresponding to Table 1 and Table 2 have been proven. To be more precise, in [16], it was proven that those functions aggregating extended metrics (or the bounded version) can be obtained from functions aggregating fuzzy equalities. Later on, in [17], an extension of the same result was proven for getting functions that are able to merge relaxed extended pseudo-metrics (or the bounded version) from those merging relaxed indistinguishability relations. Finally, in [18], an analogous result was proven for functions that merge pre-orders and extended quasi-pseudo-metrics and also for functions that aggregate partial orders and extended quasi-metrics.
The notion of indistinguishability relation may fall short to fully describe those situations where the degree of similarity between objects is variable. In other words, whenever the degree of similarity depends on a parameter, indistinguishability relations are not the best option to capture such an information. Motivated by this fact, Miñana and Valero introduced, in [20], the concept of modular indistinguishability relation.
Definition 4. 
Given a non empty set X and a t-norm T, the fuzzy set E : X × X × ] 0 , [ [ 0 , 1 ] is said to be a modular indistinguishability relation, whenever the following properties are fulfilled for all x , y , z X and all t , s > 0 :
(M.E.1)
E ( x , x , t ) = 1 ,
(M.E.2)
E ( x , y , t ) = E ( y , x , t ) ,
(M.E.3)
T ( E ( x , y , t ) , E ( y , z , s ) ) E ( x , z , t + s ) .
In particular, a modular equality is a modular indistinguishability relation that also satisfies:
(M.E.4) E ( x , y , t ) = 1 for all t > 0 implies that x = y .
It is worth noting that properties (M.E.1), (M.E.2), (M.E.3) and (M.E.4) can be understood as modular versions of conditions (E.1), (E.2), (E.3) and (E.4). In this sense, this relation captures how similar two elements are depending on the considered value of the parameter.
As well as for indistinguishability relations, there is a dual notion for their modular version. Such a concept is denoted as modular pseudo-metric and it was introduced in [19]. Let us recall its definition.
Definition 5. 
Given a non empty set X, a function d : X × X × ] 0 , [ [ 0 , ] is called a modular pseudo-metric, whenever it fulfills for all x , y , z X and all t , s > 0 the following conditions:
(M.D.1)
d ( x , x , t ) = 0 ,
(M.D.2)
d ( x , y , t ) = d ( y , x , t ) ,
(M.D.3)
d ( x , z , t + s ) d ( x , y , t ) + d ( y , z , s ) (modular triangular inequality).
In particular, a modular metric is a modular pseudo-metric which also satisfies:
(M.D.4) d ( x , y , t ) = 0 for all t > 0 implies that x = y .
Notice that the notion of bounded pseudo-metric can be extended to the modular context as follows (according to [29]): a modular pseudo-metric d on X, given b ] 0 , [ , is said to be b-bounded provided that d ( x , y , t ) b for all x , y X and for all t > 0 .
In a similar way as in the non modular context, the aforementioned duality relationship between modular indistinguishability relations and modular pseudo-metrics was proven in [20]. As a matter of fact, the authors also proved the duality relationship between modular equalities and modular metrics. A possibility to obtain modular pseudo-metrics (modular metrics) from modular indistinguishability relations (modular equalities) was provided with the following theorem.
Theorem 2. 
Let X be a non empty set and let T * be a t-norm with additive generator f T * . If T is a t-norm, then the following assertions are equivalent:
(1)
T * is weaker than T; i.e. T * T .
(2)
For any modular indistinguishability relation E on X for T, the function d E , f T * : X × X × ] 0 , [ [ 0 , ] defined, for each x , y X and t > 0 , by
d E , f T * ( x , y , t ) = f T * ( E ( x , y , t ) ) ,
is a modular pseudo-metric on X.
(3)
For any modular equality E on X for T, the function d E , f T * : X × X × ] 0 , [ [ 0 , ] defined, for each x , y X and t > 0 , by
d E , f T * ( x , y , t ) = f T * ( E ( x , y , t ) ) ,
is a modular metric on X.
Conversely, a way to obtain a modular indistinguishability relation (modular equality) from a modular pseudo-metric (modular metric), was stated in the next theorem.
Theorem 3. 
Let X be a non empty set and let T * be a continuous t-norm with additive generator f T * . If d is a modular pseudo-metric on X, then the function E d , f T * : X × X × ] 0 , [ [ 0 , 1 ] defined, for all x , y X and t > 0 , by
E d , f T * ( x , y , t ) = f T * ( 1 ) ( d ( x , y , t ) )
is a modular indistinguishability relation for T * . Moreover, E d , f T * is a modular equality if, and only if, d is a modular metric on X.
It is relevant to mention that the continuity assumed in the statement of Theorem 3 can not be deleted such as it was shown in [20].
Theorems 2 and 3 inspired a modular version of Theorem 1 which was presented in [29]. The formulation of this result takes advantage of the fact that the aggregation problem for modular indistinguishability relations was solved in [28] and for modular pseudo-metrics in [24]. Next we provide such a theorem.
It should be noted that the concept of a collection of T -indistinguishability relations, as well as the concept of a function that aggregates T -indistinguishability relations into a T-indistinguishability relation, can be adapted to the modular context in a manner similar to that in the non modular case. The same applies to the functions that merge bounded pseudo-metrics and extended pseudo-metrics.
Theorem 4. 
Let n N , let T = { T i } i = 1 n be a collection of continuous Archimedean t-norms, and let { f T i } i = 1 n be a collection of additive generators of T . If T is a continuous Archimedean t-norm and F : [ 0 , 1 ] n [ 0 , 1 ] is a function, then the following assertions are equivalent:
(1)
F aggregates modular T -indistinguishability relations into a modular T-indistinguishability relation.
(2)
F ( 1 n ) = 1 and T ( F ( a ) , F ( b ) ) F ( c ) whenever a , b , c [ 0 , 1 ] n such that T i ( a i , b i ) c i for all i { 1 , . . . , n } , where 1 n = ( 1 , , 1 ) .
(3)
The function G : [ 0 , ] n [ 0 , f T ( 0 ) ] , where G = f T F ( f T 1 ( 1 ) × . . . × f T n ( 1 ) ) , satisfies:
(a)
G ( 0 n ) = 0 , where 0 n = ( 0 , , 0 ) .
(b)
G ( c ) G ( a ) + G ( b ) for all a , b , c [ 0 , ] n such that c i a i + b i for all i { 1 , . . . , n } .
(4)
The function G : [ 0 , ] n [ 0 , f T ( 0 ) ] , where G = f T F ( f T 1 ( 1 ) × . . . × f T n ( 1 ) ) , aggregates every collection of modular pseudo-metrics { d i } i = 1 n into a f T ( 0 ) -bounded modular pseudo-metric.
(5)
The function H : i = 1 n [ 0 , f T i ( 0 ) ] [ 0 , f T ( 0 ) ] , where H = f T F ( f T 1 1 × . . . × f T n 1 ) , aggregates every collection of f T i ( 0 ) i = 1 n -bounded modular pseudo-metrics { d i } i = 1 n into a f T ( 0 ) -bounded modular pseudo-metric.
(6)
The function H : i = 1 n [ 0 , f T i ( 0 ) ] [ 0 , f T ( 0 ) ] , where H = f T F ( f T 1 1 × . . . × f T n 1 ) , satisfies:
(a)
H ( 0 n ) = 0 .
(b)
H ( c ) H ( a ) + H ( b ) for all a , b , c i = 1 n [ 0 , f T i ( 0 ) ] such that c i a i + b i for all i { 1 , . . . , n } .
In the succeeding sections, we introduce the outcome of our research, which takes advantage of all exposed results. With this purpose, on account of [25,26,27,28] notice that all T-transitive relations included in Table 1 and all generalized extended metrics included in Table 2 can be adapted to the modular framework extending Definitions 4 and 5 in an obvious way. Nevertheless, in order to help the reader, let us recall the asymmetric point separation property in the modular context. A fuzzy set E : X × X × ] 0 , [ fulfills the asymmetric point separation provided that E ( x , y , t ) = E ( y , x , t ) = 1 for all t > 0 x = y . Similarly, a function d : X × X × ] 0 , [ [ 0 , ] verifies the distance asymmetric point separation property if d ( x , y , t ) = d ( y , x , t ) = 0 for all t > 0 x = y .

3. The Duality Relationship in the Modular Framework

In this section, our goal is to study the duality relationship between each modular T-transitive relation and its reciprocal modular generalized metric. An extension of the reasoning exposed in [20] to prove Theorem 2 can be used to obtain a more general version of this theorem. For the purpose of completion, in the succeeding, we will include an adapted version of such reasoning to prove the desired statements. In particular, we will start by proving Lemma 1.
Lemma 1. 
Let X be a non empty set and T * be a t-norm with additive generator f T * : [ 0 , 1 ] [ 0 , ] . Assume that E : X × X × ] 0 , [ [ 0 , 1 ] is a fuzzy relation . Define the function d E , f T * : X × X × ] 0 , [ [ 0 , ] for all x , y X and for t 0 as follows:
d E , f T * ( x , y , t ) = f T * ( E ( x , y , t ) ) .
Under these conditions, the following statements hold:
(a)
If E fulfills the reflexivity condition (M.E.1), then d E , f T * satisfies the reflexivity condition for metrics (M.D.1).
(b)
If E fulfills the symmetry condition (M.E.2), then d E , f T * satisfies the symmetry condition for metrics (M.D.2).
(c)
If E fulfills the point separation condition (M.E.4), then d E , f T * satisfies the point separation condition for metrics (M.D.4).
(d)
If E fulfills the asymmetric point separation condition, then d E , f T * satisfies the distance asymmetric point separation condition.
Proof. 
(a)
Assume that E ( x , x , t ) = 1 for all x X and all t > 0 . Also recall that f T * ( 1 ) = 0 (since f T * is an additive generator of T * ). Consequently,
d E , f T * ( x , x , t ) = f T * ( E ( x , x , t ) ) = f T * ( 1 ) = 0
for all x X and all t > 0 , as we wanted.
(b)
By hypothesis, E ( x , y , t ) = E ( y , x , t ) for all t > 0 , we can deduce that
d E , f T * ( x , y , t ) = f T * ( E ( x , y , t ) ) = f T * ( E ( y , x , t ) ) = d E , f T * ( y , x , t ) ,
obtaining the desired result.
(c)
Assume that given some x , y X we have that d E , f T * ( x , y , t ) = 0 for all t > 0 . In such a case, f T * ( E ( x , y , t ) ) = 0 for all t > 0 . Moreover, provided that f T * is an additive generator of T * , f T * is strictly decreasing and, therefore, f T * is injective. Consequently, we get that E ( x , y , t ) = 1 for all t > 0 and, hence, that x = y .
(d)
Assume that given some x , y X we have that d E , f T * ( x , y , t ) = d E , f T * ( y , x , t ) = 0 for all t > 0 . Then f T * ( E ( x , y , t ) ) = 0 and f T * ( E ( y , x , t ) ) = 0 for all t > 0 . The fact that f T * is strictly decreasing gives that E ( x , y , t ) = E ( y , x , t ) = 1 for all t > 0 . It follows that x = y , as claimed.
Making use of this result, we are ready to prove Theorem 5 which extends and improves Theorem 2.
Theorem 5. 
Let X be a non empty set and T * be a t-norm with additive generator f T * : [ 0 , 1 ] [ 0 , ] . Assume that T is a t-norm and E : X × X × ] 0 , [ [ 0 , 1 ] is a fuzzy relation. If d E , f T * : X × X × ] 0 , [ [ 0 , ] is a function defined for all x , y X and all t > 0 by
d E , f T * ( x , y , t ) = f T * ( E ( x , y , t ) ) ,
then the following assertions are equivalent:
(1)
T * T
(2)
d E , f T * satisfies the modular triangular inequality on X, provided that E is a modular T-transitive relation on X.
(3)
d E , f T * is a modular quasi-pseudo-metric on X, provided that E is a modular T-fuzzy pre-order on X.
(4)
d E , f T * is a modular relaxed pseudo-metric on X, provided that E is a modular T-relaxed indistinguishability relation on X.
(5)
d E , f T * is a modular pseudo-metric on X, provided that E is a modular T-indistinguishability relation on X.
(6)
d E , f T * is a modular quasi-metric on X, provided that E is a modular T-fuzzy partial order on X.
(7)
d E , f T * is a modular metric on X, provided that E is a modular T-equality on X.
Proof. ( 1 ) ( 2 ) . Assume that E is a modular T-transitive relation on X. Then, for all x , y X and for all t > 0 , the following inequality is fulfilled:
T ( E ( x , z , t ) , E ( y , z , s ) ) E ( x , y , t + s ) .
From the fact that T * T , it is also true that:
f T * ( 1 ) ( f T * ( E ( x , z , t ) ) + f T * ( E ( z , y , s ) ) ) = T * ( E ( x , z , t ) , E ( y , z , s ) ) T ( E ( x , z , t ) , E ( y , z , s ) ) .
Hence, we get:
f T * ( 1 ) ( f T * ( E ( x , z , t ) ) + f T * ( E ( z , y , s ) ) ) E ( x , y , t + s ) .
Since f T * is an additive generator, f T * is a strictly decreasing function. Thus we obtain
f T * f T * ( 1 ) ( f T * ( E ( x , z , t ) ) + f T * ( E ( z , y , s ) ) ) f T * ( E ( x , y , t + s ) )
From the fact that f T * ( 1 ) is the pseudo-inverse of the additive generator f T * , two different cases need to be considered:
(i)
f T * ( E ( x , z , t ) ) + f T * ( E ( z , y , s ) ) R a n ( f T * ) . Then there exists w [ 0 , 1 ] with f T * ( w ) = f T * ( E ( x , z , t ) ) + f T * ( E ( z , y , s ) ) .
From the definition of f T * ( 1 ) , it is clear that
f T * f T * ( 1 ) ( f T * ( E ( x , z , t ) ) + f T * ( E ( z , y , s ) ) ) = f T * f T * ( 1 ) f T * ( w ) = f T * ( w ) = f T * ( E ( x , z , t ) ) + f T * ( E ( z , y , s ) ) .
So
f T * ( E ( x , y , t + s ) ) f T * ( E ( x , z , t ) ) + f T * ( E ( z , y , s ) ) .
(ii)
f T * ( E ( x , z , t ) ) + f T * ( E ( z , y , s ) ) R a n ( f T * ) . Observe that 0 E ( x , y , t + s ) . Hence we have that
f T * ( E ( x , y , t + s ) ) f T * ( 0 ) .
Furthermore, since f T * ( E ( x , z , t ) ) + f T * ( E ( z , y , s ) ) R a n ( f T * ) we have:
f T * ( 0 ) < f T * ( E ( x , z , t ) ) + f T * ( E ( z , y , s ) .
Thus we obtain that
f T * ( E ( x , y , t + s ) ) f T * ( E ( x , z , t ) ) + f T * ( E ( z , y , s ) ,
obtaining the desired results, i.e., that d E , f T * ( x , y , t + s ) d E , f T * ( x , z , t ) + d E , f T * ( z , y , s ) for all x , y , z X and for all t > 0 .
( 2 ) ( 3 ) . Let E be a modular fuzzy T-pre-order on X. Notice that, in particular, E is a modular T-transitive relation on X. Therefore, d E , f T * satisfies the modular triangular inequality on X.
In addition, provided that E is a modular fuzzy T-pre-order, we know that E ( x , x , t ) = 1 for all t > 0 . Then, assertion (a) in Lemma 1 warrants that d E , f T * is a modular quasi-pseudo-metric on X.
( 2 ) ( 4 ) . Let E be a modular T-relaxed indistinguishability relation on X. Notice that, in particular, E is a modular T-transitive relation on X. Therefore, d E , f T * satisfies the modular triangular inequality on X.
From the definition of modular T-relaxed indistinguishability relation on X we know that E ( x , y , t ) = E ( y , x , t ) for all t > 0 . Then, by assertion (b) in Lemma 1, we know that E is a modular relaxed pseudo-metric.
( 3 ) ( 5 ) . Let E be a modular T-indistinguishability relation on X. It can be deduced that E is also a modular T-fuzzy pre-order on X and, as a consequence, that d E , f T * is a quasi-pseudo-metric on X.
From the fact that E is a modular T-indistinguishability relation, we obtain that E ( x , y , t ) = E ( y , x , t ) for all t > 0 . Then, assertion (b) in Lemma 1 ensures that d E , f T * is a pseudo-metric on X.
( 3 ) ( 6 ) . Let E be a modular fuzzy T-partial order on X. It can be deduced that E is also a modular fuzzy T-pre-order on X and, as a consequence, that d E , f T * is a quasi-pseudo-metric on X.
From the fact that E fulfills the asymmetric point separation condition, assertion (d) in Lemma 1 guarantees that d E , f T * is a modular quasi-metric on X.
( 4 ) ( 5 ) . Since E is a modular T-indistinguishability relation on X we have that E is a modular T-relaxed indistinguishability relation on X. Hence we immediately get that d E , f T * is a modular relaxed pseudo-metric on X. Moreover, E satisfies the reflectivity and symmetry. Assertions (a) and (b) in Lemma 1 give that d E , f T * fulfills reflexivity and symmetry conditions for metrics. So we conclude that d E , f T * is a modular pseudo-metric on X.
( 5 ) ( 7 ) . The desired proof can be obtained using analogous reasoning to the one from ( 3 ) ( 6 ) but now applying assertion (c) in Lemma 1.
( 6 ) ( 7 ) . Let E be a modular T-equality on X. It can be deduced that E is also a modular fuzzy T-partial order on X and, as a consequence, that d E , f T * is a modular quasi-metric on X.
Additionaly, the symmetry of E and assertion (b) in Lemma 1 provide the symmetry of d E , f T * . Obtaining that d E , f T * is a modular metric on X.
( 7 ) ( 1 ) . This implication matches up with implication ( 3 ) ( 1 ) in Theorem 3 of [20].
To sum up, we have proven that ( 1 ) ( 2 ) ( 3 ) ( 5 ) ( 7 ) ( 1 ) , also that ( 3 ) ( 6 ) ( 7 ) ( 1 ) ( 3 ) and that ( 2 ) ( 4 ) ( 5 ) ( 7 ) ( 1 ) ( 2 ) . Therefore, we can conclude that all the statements are equivalent. □
It must be pointed out that the preceding result extends Propositions 2 and 3 in [9] to the modular framework and improves Theorem 2.
Conversely, it can also be shown that all the modular T-transitive relations studied in Theorem 5 can be constructed from some of the generalized modular metrics presented in that theorem. In the same way as before, these results can be obtained extending Theorem 3, taking inspiration from the arguments from [20]. In order reduce the complexity of the proof, we will first introduce an auxiliary result.
Lemma 2. 
Let X be a non empty set and let T * be a continuous t-norm with additive generator f T * : [ 0 , 1 ] [ 0 , ] . Assume that d : X × X × ] 0 , [ [ 0 , ] is a function. Define for all x , y X and t > 0 the fuzzy relation E d , f T * : X × X × ] 0 , [ [ 0 , 1 ] by:
E d , f T * ( x , y , t ) = f T * ( 1 ) ( d ( x , y , t ) ) .
Under these conditions, the following statements hold:
(a)
If d satisfies condition (M.D.1), then E d , f T * satisfies condition (M.E.1).
(b)
If d satisfies condition (M.D.2), then E d , f T * satisfies condition (M.E.2).
(c)
If d satisfies condition (M.D.4), then E d , f T * satisfies condition (M.E.4).
(d)
If d satisfies the distance asymmetric point separation condition, then E d , f T * satisfies the asymmetric point separation condition.
Proof.
(a)
Assume that d ( x , x , t ) = 0 for all x X and for all t > 0 . Then,
E d , f T * ( x , x , t ) = f T * ( 1 ) ( d ( x , x , t ) ) = f T * 1 ( min { f T * ( 0 ) , 0 } ) = f T * 1 ( 0 ) = 1
for all x X and for all t > 0 .
(b)
By hypothesis, d ( x , y , t ) = d ( y , x , t ) for all x X and for all t > 0 . Hence,
E d , f T * ( x , y , t ) = f T * ( 1 ) ( d ( x , y , t ) ) = f T * ( 1 ) ( d ( y , x , t ) ) = E d , f T * ( y , x , t )
for all x , y X and for all t > 0 .
(c)
Let x , y X such that for all t > 0 we have E d , f T * ( x , y , t ) = 1 . Then we obtain that
1 = E d , f T * ( x , y , t ) = f T * ( 1 ) ( d ( x , y , t ) ) .
Provided that f T * is strictly decreasing and that, thus, f T * ( 0 ) > 0 , we deduce that
0 = f T * ( 1 ) = f T * f T * ( 1 ) ( d ( x , y , t ) ) = f T * ( f * 1 ( min { f T * ( 0 ) , d ( x , y , t ) } ) = min { f T * ( 0 ) , d ( x , y , t ) } = d ( x , y , t )
for all t > 0 . Hence, x = y .
(d)
The proof follows similar arguments to those given in the proof of assertion (c).
With these results in mind, next we provide the desired theorem.
Theorem 6. 
Let X be a non empty set and let T * be a continuous t-norm with additive generator f T * : [ 0 , 1 ] [ 0 , ] . Consider the function d : X × X × ] 0 , [ [ 0 , ] and define for all x , y X and all t > 0 the fuzzy relation E d , f T * : X × X × ] 0 , [ [ 0 , 1 ] by:
E d , f T * ( x , y , t ) = f T * ( 1 ) ( d ( x , y , t ) ) .
In such a case, the following assertions are equivalent:
(1)
T * T
(2)
E d , f T * is a modular T-transitive relation on X, provided that d satisfies the modular triangular inequality on X.
(3)
E d , f T * is a modular T-fuzzy pre-order on X, provided that d is a modular quasi-pseudo-metric on X.
(4)
E d , f T * is a modular T-relaxed indistinguishability relation on X, provided that d is a modular relaxed pseudo-metric on X.
(5)
E d , f T * is a modular T-indistinguishability relation on X, provided that d is a modular pseudo-metric on X.
(6)
E d , f T * is a modular T-fuzzy partial order on X, provided that d is a modular quasi-metric on X.
(7)
E d , f T * is a modular T-equality on X, provided that d is a modular metric on X.
Proof. ( 1 ) ( 2 ) . Let d be a function that satisfies the modular triangular inequality. Thus, for all x , y , z X and t , s 0 we have the following
d ( x , y , t + s ) d ( x , z , t ) + d ( z , y , s ) .
Given that f T * is a strictly decreasing function, we have:
E d , f T * ( x , y , t + s ) = f T * ( 1 ) ( d ( x , y , t + s ) ) f T * ( 1 ) ( d ( x , z , t ) + d ( z , y , s ) ) .
Furthermore,
T ( E d , f T * ( x , z , t ) , E d , f T * ( z , y , s ) ) T * ( E d , f T * ( x , z , t ) , E d , f T * ( z , y , s ) ) = f T * ( 1 ) ( f T * ( E d , f T * ( x , z , t ) ) + f T * ( E d , f T * ( z , y , s ) ) ) = f T * ( 1 ) ( min { f T * ( 0 ) , d ( x , z , t ) } + min { f T * ( 0 ) , d ( z , y , s ) } ) .
Since f T * ( 1 ) is decreasing it is clear that
f T * ( 1 ) ( min { f T * ( 0 ) , d ( x , z , t ) } + min { f T * ( 0 ) , d ( z , y , s ) } ) f T * ( 1 ) ( d ( x , z , t ) + d ( z , y , s ) ) .
Now, it is enough to prove that
f T * ( 1 ) ( d ( x , z , t ) + d ( z , y , s ) ) f T * ( 1 ) ( min { f T * ( 0 ) , d ( x , z , t ) } + min { f T * ( 0 ) , d ( z , y , s ) } ) .
In order to do so, we will consider two possible cases:
(i)
max { d ( x , z , t ) , d ( z , y , s ) } f T * ( 0 ) : In such case, it is clear that
d ( x , z , t ) + d ( z , y , s ) f T * ( 0 )
and that
min { f T * ( 0 ) , d ( x , z , t ) } + min { f T * ( 0 ) , d ( z , y , s ) } f T * ( 0 ) .
The fact that f * ( 1 ) is decreasing yields that
0 = f T * ( 1 ) ( f T * ( 0 ) ) f T * ( 1 ) ( min { f T * ( 0 ) , d ( x , z , t ) } + min { f T * ( 0 ) , d ( z , y , s ) } ) f T * ( 1 ) ( 2 max { d ( x , z , t ) , d ( z , y , s ) } ) = f T * 1 ( min { f T * ( 0 ) , 2 max { d ( x , z , t ) , d ( z , y , s ) } } ) = f T * 1 ( f T * ( 0 ) ) = 0
Since f T * ( 1 ) ( x ) = f T * 1 ( min { f T * ( 0 ) , x } ) (recall that in case f T * ( 0 ) = , then f T * ( 1 ) ( x ) = f T * 1 ( x ) ), we get
f T * ( 1 ) ( d ( x , z , t ) + d ( z , y , s ) ) = f T * ( 1 ) ( f T * ( 0 ) ) = 0 f T * ( 1 ) ( min { f T * ( 0 ) , d ( x , z , t ) } + min { f T * ( 0 ) , d ( z , y , s ) } ) .
(ii)
max { d ( x , z , t ) , d ( z , y , s ) } < f T * ( 0 ) : In such case,
min { f T * ( 0 ) , d ( x , z , t ) } + min { f T * ( 0 ) , d ( z , y , s ) } = d ( x , z , t ) + d ( z , y , s )
and the desired equality is obtained.
So we have proved that
f T * ( 1 ) ( d ( x , z , t ) + d ( z , y , s ) ) = f T * ( 1 ) ( min { f T * ( 0 ) , d ( x , z , t ) } + min { f T * ( 0 ) , d ( z , y , s ) } ) .
Thus, E d , f T * is T transitive, i.e.,
E d , f T * ( x , y , t + s ) T ( E d , f T * ( x , z , t ) , E d , f T * ( z , y , s ) )
for all x , y , z X and t , s 0 .
( 2 ) ( 3 ) . Let d be a modular quasi-pseudo-metric on X. Observe that, particularly, d is a function that satisfies the modular triangular inequality on X. Therefore, E d , f T * is a modular T-transitive relation on X. Consequently, it is enough to show that E d , f T * ( x , x , t ) = 1 for all x X and for all t > 0 .
From the fact that d is a modular quasi-pseudo-metric on X, we know that d ( x , x , t ) = 0 for all x X and for all t > 0 . Therefore, assertion (a) in Lemma 2 ensures that E d , f T * is a modular fuzzy pre-order for T on X.
( 2 ) ( 4 ) . Let d be a modular relaxed pseudo-metric on X. Observe that, particularly, d is a function that satisfies the modular triangular inequality on X. Therefore, E d , f T * is a modular T-transitive relation on X.
Moreover, since d is a modular relaxed pseudo-metric on X, we know that d ( x , y , t ) = d ( y , x , t ) for all x , y X and for all t > 0 . Hence, it can be deduced from assertion (b) in Lemma 2 that E d , f T * is a modular T-relaxed indistinguishability relation on X.
( 3 ) ( 5 ) . Let d be a modular pseudo-metric on X. Notice that, in particular, d is a modular quasi-pseudo-metric on X. Therefore, E d , f T * is a modular T-fuzzy pre-order on X.
In addition, from the fact that d a modular pseudo-metric we know that d is symmetric. Using assertion (b) in Lemma 2, we get that E d , f T * is also symmetric. Consequently, E d , f T * is a modular indistinguishability relation.
( 3 ) ( 6 ) . Let d be a modular quasi-metric on X. Notice that, in particular, d is a modular quasi-pseudo-metric on X. Therefore, E d , f T * is a modular T-fuzzy pre-order on X.
Additionally, since d satisfies the distance asymmetric point separation condition, then E d , f T * satisfies the asymmetric point separation condition by assertion (d) in Lemma 2. Consequently, we get that E d , f T * is a modular T-fuzzy partial order on X.
( 4 ) ( 5 ) . Let d be a modular pseudo-metric on X. Notice that, in particular, d is a modular relaxed pseudo-metric on X. Therefore, E d , f T * is a modular T-relaxed indistinguishability relation on X.
In addition, from the fact that d ( x , x , t ) = 1 for all x X and for all t > 0 , it can be deduced form assertion (a) in Lemma 2 that E d , f T * is a modular T-indistinguishability relation on X.
( 5 ) ( 7 ) . Let d be a modular metric on X. Notice that, in particular, d is a modular pseudo-metric on X. Therefore, E d , f T * is a modular T-indistinguishability relation on X. In addition, assertion (c) in Lemma 2 ensures that E d , f T * is a modular T-equality on X.
( 6 ) ( 7 ) . Let d be a modular metric on X. Notice that, in particular, d is a modular quasi-metric on X. Therefore, E d , f T * is a modular T-fuzzy partial order on X.
Moreover, assertion (b) in Lemma 2 helps us to prove that E d , f T * is symmetric and, consequently, a modular T-equality on X.
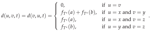
( 7 ) ( 1 ) . We will prove that, if E d , f T * is a modular T-equality on X whenever d is a modular metric on X, then T * ( a , b ) T ( a , b ) for any a , b [ 0 , 1 ] .
Notice that whenever max { a , b } = 1 then T * ( a , b ) = T ( a , b ) . Similarly, if min { a , b } = 0 we also have T * ( a , b ) = T ( a , b ) . Hence, we only need to consider the case a , b ] 0 , 1 [ . Let X = { x , y , z } , where x , y , z are all different from each other, and let a , b ] 0 , 1 [ . Take the function d : X × X × ] 0 , [ [ 0 , ] defined, for all t > 0 , as follows:
Preprints 195213 i001
It can be easily shown that d is a modular metric on X. As a consequence, E d , f T * is a modular T-equality on X. Then, given t > 0 , we obtain the desired result
T ( a , b ) = T ( f T * ( 1 ) ( f T * ( a ) ) , f T * ( 1 ) ( f T * ( b ) ) ) = T ( E d , f T * ( x , z , t ) , E d , f T * ( z , y , s ) ) E d , f T * ( x , y , t + s ) = f T * ( 1 ) ( f T * ( a ) + f T * ( b ) ) = T * ( a , b ) .
To sum up, we have proven that ( 1 ) ( 2 ) ( 3 ) ( 5 ) ( 7 ) ( 1 ) , also that ( 3 ) ( 6 ) ( 7 ) ( 1 ) ( 3 ) and that ( 2 ) ( 4 ) ( 5 ) ( 7 ) ( 1 ) ( 2 ) . Therefore, we can conclude that all the statements are equivalent. □
Notice that Theorem 6 not only improves Theorem 3 by extending the number of equivalences considering more cases of modular T-transitive relations, but also by introducing a new equivalence based on the dominance of triangular norms (statement (1)), which has not been considered in Theorem 3 and Proposition 7 in [9].

4. Aggregation of Modular T-Transitive Relations and Modular Generalized Metrics

In this section, our goal is to prove that functions that aggregate each one of the modular generalized metrics studied in Section 3 can be obtained by means of a specific construction of functions that merge some type of modular T-transitive fuzzy relations involving additive generators and their pseudo-inverses. In particular, we want to provide a theorem in the spirit of Theorem 4 for each one of the pairs (T-transitive fuzzy relation, modular generalized metric) previously analyzed.

4.1. Aggregation of Modular Fuzzy Pre-Orders and Modular Quasi-Pseudo-Metrics

The aforementioned construction for the case in which we consider those functions that merge collections of modular indistinguishability relations and those that aggregate collections of modular pseudo-metrics was treated in [29] and introduced as Theorem 4 here. Moreover, in [28], the sets of those functions that merge collections of modular indistinguishability relations , that aggregate modular fuzzy pre-orders and that aggregate fuzzy pre-orders were shown to be the same. In particular, the following result was proved.
Theorem 7. 
Let n N , let T = { T i } i = 1 n be a collection of continuous Archimedean t-norms, and let { f T i } i = 1 n be a collection of additive generators of T . If T is a continuous Archimedean t-norm and F : [ 0 , 1 ] n [ 0 , 1 ] is a function, then the following assertions are equivalent:
(1)
F aggregates T -fuzzy pre-orders into a T-fuzzy pre-order.
(2)
F aggregates modular T -fuzzy pre-orders into a modular T-fuzzy pre-order.
(3)
F aggregates modular T -indistinguishability relations into a modular T-indistinguishability relation.
Taking all this into account, the next result can be directly deduced.
Theorem 8. 
Let n N , let T = { T i } i = 1 n be a collection of continuous Archimedean t-norms, and let { f T i } i = 1 n be a collection of additive generators of T . If T is a continuous Archimedean t-norm and F : [ 0 , 1 ] n [ 0 , 1 ] is a function, then the following assertions are equivalent:
(1)
F aggregates T -fuzzy pre-orders into a T-fuzzy pre-order.
(2)
F aggregates modular T -fuzzy pre-orders into a modular T-fuzzy pre-order.
(3)
F aggregates modular T -indistinguishability relations into a modular T-indistinguishability relation.
(4)
The function G : [ 0 , ] n [ 0 , f T ( 0 ) ] , where G = f T F ( f T 1 ( 1 ) × . . . × f T n ( 1 ) ) , satisfies:
(a)
G ( 0 n ) = 0 .
(b)
G ( c ) G ( a ) + G ( b ) for all a , b , c [ 0 , ] n such that c i a i + b i for all i { 1 , . . . , n } .
(5)
The function G : [ 0 , ] n [ 0 , f T ( 0 ) ] , where G = f T F ( f T 1 ( 1 ) × . . . × f T n ( 1 ) ) , aggregates every collection of modular pseudo-metrics { d i } i = 1 n into a f T ( 0 ) -bounded modular pseudo-metric.
(6)
The function G : [ 0 , ] n [ 0 , f T ( 0 ) ] , where G = f T F ( f T 1 ( 1 ) × . . . × f T n ( 1 ) ) , aggregates every collection of modular quasi-pseudo-metrics { d i } i = 1 n into a f T ( 0 ) -bounded modular quasi-pseudo-metric.
(7)
The function H : i = 1 n [ 0 , f T i ( 0 ) ] [ 0 , f T ( 0 ) ] , where H = f T F ( f T 1 1 × . . . × f T n 1 ) , aggregates every collection of f T i ( 0 ) i = 1 n -bounded modular pseudo-metrics { d i } i = 1 n into a f T ( 0 ) -bounded modular pseudo-metric.
(8)
The function H : i = 1 n [ 0 , f T i ( 0 ) ] [ 0 , f T ( 0 ) ] , where H = f T F ( f T 1 1 × . . . × f T n 1 ) , aggregates every collection of f T i ( 0 ) i = 1 n -bounded modular quasi-pseudo-metrics { d i } i = 1 n into a f T ( 0 ) -bounded modular quasi-pseudo-metric.
(9)
The function H : i = 1 n [ 0 , f T i ( 0 ) ] [ 0 , f T ( 0 ) ] , where H = f T F ( f T 1 1 × . . . × f T n 1 ) , satisfies:
(a)
H ( 0 n ) = 0 .
(b)
H ( c ) H ( a ) + H ( b ) for all a , b , c i = 1 n [ 0 , f T i ( 0 ) ] such that c i a i + b i for all i { 1 , . . . , n } .
Proof. 
The equivalences ( 1 ) ( 2 ) ( 3 ) are guaranteed by Theorem 7 (Theorems 2 and 8 in [28]). The equivalences ( 3 ) ( 4 ) ( 5 ) ( 7 ) ( 9 ) follow from Theorem 4.
Next we show the equivalence ( 4 ) ( 6 ) . It is evident that ( 6 ) ( 5 ) . Next we show that ( 5 ) ( 6 ) . We know that the equivalence ( 5 ) ( 4 ) is true. As a consequence, by doing so, we are going to show that ( 4 ) ( 6 ) . Now assume that { d i } i = 1 n is a collection of modular quasi-pseudo-metrics on a non empty set X. Then G ( d 1 , . . . , d n ) ( x , x , t ) = G ( d 1 ( x , x , , t ) , , d n ( x , x , , t ) ) = G ( 0 , , 0 ) = 0 for all x X and for all t > 0 . Moreover, we have that
G ( d 1 , . . . , d n ) ( x , z , t + s ) G ( d 1 , . . . , d n ) ( x , y , t ) + G ( d 1 , . . . , d n ) ( y , z , t )
for all x , y , z X and for all t , s > 0 , since d i ( x , z , t + s ) d i ( x , y , t ) + d i ( y , z , s ) for all x , y , z X , for all t , s > 0 and for all i { 1 , , n } . Finally, we have that G ( a ) f T ( 0 ) for all a [ 0 , ] n . So G ( d 1 , . . . , d n ) ( x , y , t ) f T ( 0 ) for all x , y X and for all t > 0 . Therefore, we conclude that G ( d 1 , . . . , d n ) is a f T ( 0 ) -bounded modular quasi-pseudo-metric on X.
Finally, we show the equivalence ( 7 ) ( 8 ) . It is clear that ( 8 ) ( 7 ) . In addition, we know that the equivalence ( 9 ) ( 7 ) is hold. The same arguments to those applied to prove the implication ( 4 ) ( 6 ) remain valid to show that ( 9 ) ( 8 ) . □
In the particular case in which T is a strict continuous Archimedean t-norm we have that f T ( 0 ) = and, thus, the following corollary can be deduced.
Corollary 1. 
Let n N , let T = { T i } i = 1 n be a collection of strict continuous Archimedean t-norms, and let { f T i } i = 1 n be a collection of additive generators of T . If T is a strict continuous Archimedean t-norm and F : [ 0 , 1 ] n [ 0 , 1 ] is a function, then the following assertions are equivalent:
(1)
F aggregates T -fuzzy pre-orders into a T-fuzzy preo-order.
(2)
F aggregates modular T -fuzzy pre-orders into a modular T-fuzzy pre-order.
(3)
F aggregates modular T -indistinguishability relations into a modular T-indistinguishability relation.
(4)
The function G : [ 0 , ] n [ 0 , ] , where G = f T F ( f T 1 1 × . . . × f T n 1 ) , satisfies:
(a)
G ( 0 n ) = 0 .
(b)
G ( c ) G ( a ) + G ( b ) for all a , b , c [ 0 , ] n such that c i a i + b i for all i { 1 , . . . , n } .
(5)
The function G : [ 0 , ] n [ 0 , ) ] , where G = f T F ( f T 1 1 × . . . × f T n 1 ) , aggregates every collection of modular pseudo-metrics { d i } i = 1 n into a modular pseudo-metric.
(6)
The function G : [ 0 , ] n [ 0 , ] , where G = f T F ( f T 1 1 × . . . × f T n 1 ) , aggregates every collection of modular quasi-pseudo-metrics { d i } i = 1 n into a modular quasi-pseudo-metric.

4.2. Aggregation of modular equalities and modular metrics

Taking inspiration from [29], next explore the possibility of obtaining a result in the spirit of Theorem 4 for the particular case of modular equalities and modular metrics. Previously, we need to prove the following auxiliary result.
Lemma 3. 
Let T be a continuous Archimedean t-norm and let f T be a continuous additive generator of T. For all a , b [ 0 , ] we have that f T ( 1 ) ( a + b ) = f T ( 1 ) ( f T f T ( 1 ) ( a ) + f T f T ( 1 ) ( b ) ) .
Proof. 
Given that f T is a continuous additive generator, notice that
f T ( 1 ) ( a + b ) = f T 1 ( min { f T ( 0 ) , a + b } )
and
f T ( 1 ) ( f T f T ( 1 ) ( a ) + f T f T ( 1 ) ( b ) ) = f T ( 1 ) ( min { f T ( 0 ) , a } + min { f T ( 0 ) , b } ) = f T 1 ( min { f T ( 0 ) , min { f T ( 0 ) , a } + min { f T ( 0 ) , b } } ) .
Let us consider two possible scenarios:
(i)
max { a , b } f T ( 0 ) : In such a case a + b f T ( 0 ) and min { f T ( 0 ) , a } + min { f T ( 0 ) , b } f T ( 0 ) . Hence,
f T ( 1 ) ( a + b ) = 0 = f T ( 1 ) ( f T f T ( 1 ) ( a ) + f T f T ( 1 ) ( b ) ) .
(ii)
max { a , b } < f T ( 0 ) : In such case min { f T ( 0 ) , a } + min { f T ( 0 ) , b } = a + b . Thus,
f T ( 1 ) ( a + b ) = f T ( 1 ) ( f T f T ( 1 ) ( a ) + f T f T ( 1 ) ( b ) ) .
In ([28], Thoerem 19), the following characterization of those functions that merge collections of modular fuzzy equalities was proved.
Theorem 9. 
Let n N , let T = { T i } i = 1 n be a collection of continuous Archimedean t-norms, and let { f T i } i = 1 n be a collection of additive generators of T . If T is a continuous Archimedean t-norm and F : [ 0 , 1 ] n [ 0 , 1 ] is a function, then the following assertions are equivalent:
(1)
F aggregates T -fuzzy partial orders into a T-fuzzy partial order.
(2)
F aggregates modular T -fuzzy partial orders into a modular T-fuzzy partial order.
(3)
F aggregates modular T -equalities into a modular T-equality.
(4)
F ( 1 n ) = 1 , if F ( a ) = 1 then exists i { 1 , , n } such that a i = 1 and T ( F ( a ) , F ( b ) ) F ( c ) whenever a , b , c [ 0 , 1 ] n such that T i ( a i , b i ) c i for all i { 1 , . . . , n } .
Moreover, in ([28], Proposition 21) the following useful implication was proved.
Proposition 1. 
Let n N , let T = { T i } i = 1 n be a collection of continuous Archimedean t-norms, and let { f T i } i = 1 n be a collection of additive generators of T . If T is a continuous Archimedean t-norm and F : [ 0 , 1 ] n [ 0 , 1 ] is a function, then among the following ( 1 ) ( 2 ) :
(1)
F aggregates T -fuzzy partial orders into a T-fuzzy partial order.
(2)
Let a , b [ 0 , 1 ] n . If F ( a ) = F ( b ) = 1 , then there exists i { 1 , , n } such that a i = b i = 1 .
In ([24], Theorem 9), the next characterization of those functions that aggregate collections of modular metrics was obtained.
Theorem 10. 
Let n N and let G : [ 0 , ] n [ 0 , ] be a function. The statements below are equivalent:
(1)
G aggregates every collection of modular metrics { d i } i = 1 n into a modular metric.
(2)
G aggregates every collection of modular quasi-metrics { d i } i = 1 n into a modular quasi-metric.
(3)
G ( 0 n ) = 0 and, in addition, G ( c ) G ( a ) + G ( b ) for all a , b , c [ 0 , ] n with c i a i + b i for all i { 1 , . . . , n } . Moreover, if a [ 0 , ] n and G ( a ) = 0 , then a i = 0 for some i { 1 , . . . , n } .
Moreover, the next useful result was proved in ([25], Lemma 1). Let us recall that a function a function G : [ 0 , + ] n [ 0 , + ] is subadditive provided that G ( a + b ) G ( a ) + G ( b ) for all a , b [ 0 , ] n .
Lemma 4. 
Let n N and let G : [ 0 , ] n [ 0 , ] be a subadditive function. Then the following statements are equivalent to each other.
(1)
There exists i 0 { 1 , , n } such that a i 0 = 0 for each a [ 0 , + ] n with G ( a ) = 0 .
(2)
If a [ 0 , + ] n such that G ( a ) = 0 , then min { a 1 , , a n } = 0 .
In view of the previous results we can obtain the desired theorem.
Theorem 11. 
Let n N , let T = { T i } i = 1 n be a collection of continuous Archimedean t-norms, and let { f T i } i = 1 n be a collection of additive generators of T . If T is a continuous Archimedean t-norm and F : [ 0 , 1 ] n [ 0 , 1 ] is a function, then the following assertions are equivalent:
(1)
F aggregates T -fuzzy partial orders into a T-fuzzy partial order.
(2)
F aggregates modular T -fuzzy partial orders into a modular T-fuzzy partial order.
(3)
F aggregates modular T -equalities into a modular T-equality.
(4)
The function G : [ 0 , ] n [ 0 , f T ( 0 ) ] , where G = f T F ( f T 1 ( 1 ) × . . . × f T n ( 1 ) ) , satisfies:
(a)
G ( 0 n ) = 0 .
(b)
If G ( b ) = 0 and b [ 0 , ] n , then b i = 0 for some i { 1 , , n } .
(c)
G ( c ) G ( a ) + G ( b ) for all a , b , c [ 0 , ] n such that c i a i + b i for all i { 1 , . . . , n } .
(5)
The function G : [ 0 , ] n [ 0 , f T ( 0 ) ] , where G = f T F ( f T 1 ( 1 ) × . . . × f T n ( 1 ) ) , aggregates every collection of modular metrics { d i } i = 1 n into a f T ( 0 ) -bounded modular metric.
(6)
The function G : [ 0 , ] n [ 0 , f T ( 0 ) ] , where G = f T F ( f T 1 ( 1 ) × . . . × f T n ( 1 ) ) , aggregates every collection of modular quasi-metrics { d i } i = 1 n into a f T ( 0 ) -bounded modular quasi-metric.
(7)
The function H : i = 1 n [ 0 , f T i ( 0 ) ] [ 0 , f T ( 0 ) ] , where H = f T F ( f T 1 1 × . . . × f T n 1 ) , aggregates every collection of f T i ( 0 ) i = 1 n -bounded metrics { d i } i = 1 n into a f T ( 0 ) -bounded metric.
(8)
The function H : i = 1 n [ 0 , f T i ( 0 ) ] [ 0 , f T ( 0 ) ] , where H = f T F ( f T 1 1 × . . . × f T n 1 ) , aggregates every collection of f T i ( 0 ) i = 1 n -bounded quasi-metrics { d i } i = 1 n into a f T ( 0 ) -bounded quasi-metric.
(9)
The function H : i = 1 n [ 0 , f T i ( 0 ) ] [ 0 , f T ( 0 ) ] , where H = f T F ( f T 1 1 × . . . × f T n 1 ) , satisfies:
(a)
H ( 0 n ) = 0 .
(b)
If H ( b ) = 0 and b i = 1 n [ 0 , f T i ( 0 ) ] , then b i = 0 for some i { 1 , , n } .
(c)
H ( c ) H ( a ) + H ( b ) for all a , b , c i = 1 n [ 0 , f T i ( 0 ) ] such that c i a i + b i for all i { 1 , . . . , n } .
Proof. 
The equivalences ( 1 ) ( 2 ) ( 3 ) are warranted by Theorem 9.
( 3 ) ( 4 ) . Let us start by proving that G ( 0 n ) = 0 . Provided that T is a family of continuous Archimedean t-norms and that { f T i } i = 1 n is a collection of additive generators of T , then { f T i } i = 1 n is a collection of continuous functions and f T i ( 1 ) ( x ) = f T i 1 ( min { f T i ( 0 ) , x } ) for all x [ 0 , 1 ] . As a consequence, f T i ( 1 ) ( 0 ) = 1 for all i { 1 , , n } and
( f T 1 ( 1 ) × . . . × f T n ( 1 ) ) ( 0 n ) = ( f T 1 ( 1 ) ( 0 ) × . . . × f T n ( 1 ) ( 0 ) ) = 1 n .
By assertion (4) in Theorem 9 we have that F ( 1 n ) = 1 . Hence, we obtain that G ( 0 n ) = f T F ( 1 n ) = f T ( 1 ) = 0 .
Next, assume that there exists b [ 0 , ] n such that G ( b ) = 0 . Then, the following equality is satisfied:
f T ( 1 ) f T F ( f T 1 ( 1 ) × . . . × f T n ( 1 ) ) ( b ) = f T ( 1 ) G ( b ) = f T ( 1 ) ( 0 ) = 1 .
Given that f T ( 1 ) f T = i d and by assertion (4) in Theorem 9 we have that F ( 1 n ) = 1 implies the existence of i { 1 , , n } such that a i = 1 , we know that there exists i { 1 , , n } such that f T i ( 1 ) ( b i ) = 1 . Hence, there exists i { 1 , , n } such that b i = 0 .
To conclude, consider a , b , c [ 0 , ] n such that a i + b i c i for all i { 1 , , n } . Recall that any additive generator and its pseudo-inverse are decreasing functions. Then, for all i { 1 , , n } we get that f T i ( 1 ) ( a i + b i ) f T i ( 1 ) ( c i ) . Moreover, Lemma 3 and the definition of additive generator warrant that,
T i f T i ( 1 ) ( a ) , f T i ( 1 ) ( b ) = f T i ( 1 ) f T i f T i ( 1 ) ( a ) + f T i f T i ( 1 ) ( b ) = f T i ( 1 ) ( a i + b i ) f T i ( 1 ) ( c i ) .
Therefore, from assertion (4) in Theorem 9 it can be deduced that
F f T 1 ( 1 ) ( c 1 ) × . . . × f T n ( 1 ) ( c n ) T F ( f T 1 ( 1 ) ( a 1 ) × . . . × f T n ( 1 ) ( a n ) ) , F ( f T 1 ( 1 ) ( b 1 ) × . . . × f T n ( 1 ) ( b n ) ) .
Using the definition of additive generator once more and recalling that f T is decreasing, we finally get
G ( c ) = f T F f T 1 ( 1 ) ( c 1 ) × . . . × f T n ( 1 ) ( c n ) f T F f T 1 ( 1 ) ( a 1 ) × . . . × f T n ( 1 ) ( a n ) + f T F f T 1 ( 1 ) ( b 1 ) × . . . × f T n ( 1 ) ( b n ) = G ( a ) + G ( b ) .
( 4 ) ( 5 ) . By Theorem 10, we have that the function G ( d 1 , . . . , d n ) : X × X × ] 0 , [ [ 0 , ] is a modular metric. It only rests to prove that G ( d 1 , . . . , d n ) is f T ( 0 ) -bounded. We have that G ( a ) f T ( 0 ) for all a [ 0 , ] n . So G ( d 1 , . . . , d n ) ( x , y , t ) f T ( 0 ) for all x , y X and for all t > 0 . Therefore, we conclude that G ( d 1 , . . . , d n ) is a f T ( 0 ) -bounded modular metric on X
( 5 ) ( 7 ) . It is obvious.
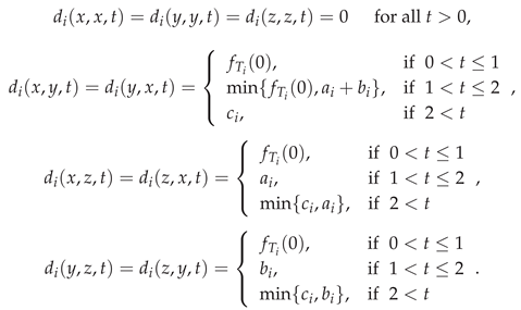
( 7 ) ( 9 ) . Let us consider a , b , c i = 1 n [ 0 , f T i ( 0 ) ] such that a i + b i c i for all i { 1 , , n } and the non empty set X = { x , y , z } with x , y , z all different from each other. Consider the collection of functions { d i } i = 1 n with d i : X × X × ] 0 , [ [ 0 , ] satisfying the following conditions:
Preprints 195213 i002
Let us prove that { d i } i = 1 n is a collection of f T i ( 0 ) i = 1 n -bounded modular metrics. Notice that for all u , v X with u v there exists t > 0 such that d i ( u , v , t ) 0 (the condition of separation of points is satisfied). Additionally, by definition, each d i is symmetric and fulfills that d i ( u , u , t ) = 0 for all u X and for all t > 0 . Hence, it is enough to prove that each d i meets the modular triangular inequality. Observe that, fixed u , v X , the function d i ( u , v , · ) : ] 0 , [ [ 0 , ] is decreasing for all i { 1 , , n } . Then for all u , v X and for all t , s > 0 , we get:
d i ( u , u , t + s ) = 0 d i ( u , v , t ) + d i ( v , u , s ) ,
d i ( u , v , t + s ) d i ( u , v , t ) = d i ( u , v , t ) + d i ( v , v , s )
and
d i ( u , v , t + s ) d i ( u , v , s ) = d i ( u , u , t ) + d i ( u , v , s ) .
Therefore, we can focus on the case where u , v , w X are all different from each other. Let us consider all possible scenarios:
(i)
min { t , s } 1 : In such a case d i ( u , v , t ) + d i ( v , w , s ) f T i ( 0 ) d i ( u , w , t + s ) .
(ii)
1 < min { t , s } and max { t , s } 2 : In such a case d i ( u , v , t ) + d i ( v , w , s ) a i + b i d i ( u , w , t + s ) .
(iii)
max { t , s } > 2 : In such a case d i ( u , v , t ) + d i ( v , w , s ) min { c i , a i } + min { c i , b i } c i d i ( u , w , t + s ) .
Now that we have proven that { d i } i = 1 n is a collection of f T i ( 0 ) i = 1 n -bounded modular metrics, let us begin by proving condition ( a ) . By hypothesis we know that H ( d 1 , . . . , d n ) is a f T ( 0 ) -bounded modular metric. Then, 0 = H ( d 1 , . . . , d n ) ( x , x , 1 ) = H ( 0 n ) .
Next we show that condition ( c ) is fulfilled. Indeed, assume that a , b , c i = 1 n [ 0 , f T i ( 0 ) ] such that c i a i + b i for all i { 1 , . . . , n } . Then we have that d i ( x , y , 4 ) = c i , d i ( x , z , 2 ) = a i , d i ( z , y , 2 ) = b i for all i { 1 , . . . , n } . Then
H ( c ) = H ( d 1 ( x , y , 4 ) , , d n ( x , y , 4 ) ) H ( d 1 ( x , z , 2 ) , , d n ( x , z , 2 ) ) + H ( d 1 ( z , y , 2 ) , , d n ( z , y , 2 ) ) = H ( a ) + H ( b ) .
Finally, we prove that condition (b) is hold. Assume that there exists b [ 0 , ] n such that H ( b ) = 0 and b i 0 for all i { 1 , , n } . Now consider the collection of f T i ( 0 ) i = 1 n -bounded modular metrics { d i } i = 1 n on { x , y } ( x y ) given as follows: d i ( x , y , t ) = b i and d i ( x , x , t ) = d i ( y , y , t ) = 0 for all t > 0 and for all i { 1 , , n } . Then H ( d 1 , , d n ) ( x , y , t ) = H ( b ) = 0 for all t > 0 . Since H ( d 1 , , d n ) is a f T ( 0 ) -bounded modular metric we conclude that x = y , which contradicts the fact that x y .
( 9 ) ( 3 ) . Assume that { E i } i = 1 n is a family of modular T -equalites on a non empty set X. Let us start by proving that F ( E 1 , . . . , E n ) is reflexive. From the reflexivity of E i , we know that f T ( E i ( x , x , t ) ) = 0 for all x X and for all t > 0 . Then,
0 = H ( 0 n ) = f T F f T 1 1 ( f T 1 ( E 1 ( x , x , t ) ) ) × . . . × f T n 1 ( f T n ( E n ( x , x , t ) ) = f T F ( E 1 ( x , x , t ) , . . . , E n ( x , x , t ) ) .
Since f T is strictly decreasing we get that F ( E 1 ( x , x , t ) , . . . , E n ( x , x , t ) ) = 1 for all x X and for all t > 0 .
Next, assume that there exist x , y X such that F ( E 1 , . . . , E n ) ( x , y , t ) = 1 for all t > 0 . We know that f T i ( E i ( x , y , t ) ) [ 0 , f T i ( 0 ) ] for all i { 1 , , n } . Thus we obtain that
H ( f T 1 ( E 1 ( x , y , t ) ) , , f T n ( E n ( x , y , t ) ) ) = f T F ( f T 1 1 ( f T 1 ( E 1 ( x , y , t ) ) ) , , f T n 1 ( f T n ( E n ( x , y , t ) ) ) ) = f T F ( E 1 ( x , y , t ) ) , , E n ( x , y , t ) ) ) = f T ( 1 ) = 0
for all t > 0 . It follows that there exists i 0 { 1 , , n } such that f T i 0 ( E i 0 ( x , y , t ) ) = 0 for all t > 0 . So E i 0 ( x , y , t ) = 0 for all t > 0 . Consequently, x = y .
Finally we prove that F ( E 1 , . . . , E n ) satisfies the T-transitivity. By assertion (7) in Theorem 5 we have that f T i ( E i ( x , y , t ) ) + f T i ( E i ( y , z , s ) f T i ( E i ( x , z , t + s ) ) for all i { 1 , . . . , n } , for all x , y , z X and for all t , s > 0 , since d E , f T I ( x , y , t ) = f T i ( E ( x , y , t ) ) is a modular metric on X for all i { 1 , , n } . From condition ( c ) we also have that
H ( f T 1 ( E 1 ( x , y , t ) ) , , f T n ( E n ( x , y , t ) ) ) + H ( f T 1 ( E 1 ( y , z , s ) ) , , f T n ( E n ( y , z , s ) ) ) H ( f T 1 ( E 1 ( x , z , t + s ) ) , , f T n ( E n ( x , z , t + s ) ) ) .
Since f T ( 1 ) is a decreasing function we get that
f T ( 1 ) H ( f T 1 ( E 1 ( x , y , t ) ) , , f T n ( E n ( x , y , t ) ) ) + H ( f T 1 ( E 1 ( y , z , s ) ) , , f T n ( E n ( y , z , s ) ) ) f T ( 1 ) H ( f T 1 ( E 1 ( x , z , t + s ) ) , , f T n ( E n ( x , z , t + s ) ) ) .
Furthermore
f T ( 1 ) H ( f T 1 ( E 1 ( x , z , t + s ) ) , , f T n ( E n ( x , z , t + s ) ) = F ( E 1 , . . . , E n ) ( x , z , t + s )
and
f T ( 1 ) H ( f T 1 ( E 1 ( x , y , t ) ) , , f T n ( E n ( x , y , t ) ) ) + H ( f T 1 ( E 1 ( y , z , s ) ) , , f T n ( E n ( y , z , s ) ) ) = T ( F ( E 1 , . . . , E n ) ( x , y , t ) , F ( E 1 , . . . , E n ) ( y , z , s ) ) .
So, we can conclude that
T ( F ( E 1 , . . . , E n ) ( x , y , t ) , F ( E 1 , . . . , E n ) ( y , z , s ) ) F ( E 1 , . . . , E n ) ( x , z , t + s ) .
Therefore, F ( E 1 , . . . , E n ) is a T-equality on X.
( 6 ) ( 5 ) . It is evident.
( 5 ) ( 6 ) . We know that the equivalence ( 5 ) ( 4 ) is true. Now assume that { d i } i = 1 n is a collection of modular quasi-metrics on a non empty set X. Then, by Theorem 10, we have that the function G ( d 1 , . . . , d n ) : X × X × ] 0 , [ [ 0 , ] is a modular quasi-metric. Finally, we have that G ( a ) f T ( 0 ) for all a [ 0 , ] n . So G ( d 1 , . . . , d n ) ( x , y , t ) f T ( 0 ) for all x , y X and for all t > 0 . Therefore, we conclude that G ( d 1 , . . . , d n ) is a f T ( 0 ) -bounded modular quasi-metric on X.
( 8 ) ( 7 ) . It is evident.
( 7 ) ( 8 ) . Similar arguments to those applied to the proof of implication ( 5 ) ( 6 ) remain valid in this case.
Recall that f T ( 0 ) = in the particular case in which T is a strict continuous Archimedean t-norm. Taking this property into account, the following corollary can be deduced.
Corollary 2. 
Let n N , let T = { T i } i = 1 n be a collection of strict continuous Archimedean t-norms, and let { f T i } i = 1 n be a collection of additive generators of T . If T is a strict continuous Archimedean t-norm and F : [ 0 , 1 ] n [ 0 , 1 ] is a function, then the following assertions are equivalent:
(1)
F aggregates T -fuzzy partial orders into a T-fuzzy partial order.
(2)
F aggregates modular T -fuzzy partial orders into a modular T-fuzzy partial order.
(3)
F aggregates modular T -equalities into a modular T-equality.
(4)
The function G : [ 0 , ] n [ 0 , ] , where G = f T F ( f T 1 1 × . . . × f T n 1 ) , satisfies:
(a)
G ( 0 n ) = 0 .
(b)
If G ( b ) = 0 and b [ 0 , ] n , then b i = 0 for some i { 1 , , n } .
(c)
G ( c ) G ( a ) + G ( b ) for all a , b , c [ 0 , ] n such that c i a i + b i for all i { 1 , . . . , n } .
(5)
The function G : [ 0 , ] n [ 0 , ] , where G = f T F ( f T 1 1 × . . . × f T n 1 ) , aggregates every collection of modular metrics { d i } i = 1 n into a modular metric.
(6)
The function G : [ 0 , ] n [ 0 , ] , where G = f T F ( f T 1 1 × . . . × f T n 1 ) , aggregates every collection of modular quasi-metrics { d i } i = 1 n into a modular quasi-metric.

4.3. Aggregation of Modular Relaxed Indistinguishability Relations and Modular Relaxed Pseudo-Metrics

In this subsection, we will approach the aggregation problem for modular relaxed indistinguishability relations and modular relaxed pseudo-metrics. In order to do so, we recall the following characterization introduced in ([26], Theorem 5).
Theorem 12. 
Let n N , let T = { T i } i = 1 n be a collection of t-norms and let F : [ 0 , 1 ] n [ 0 , 1 ] be a function, then the following assertions are equivalent:
(1)
F aggregates modular T -relaxed indistinguishability relations into a modular T-relaxed indistinguishability relation.
(2)
T ( F ( a ) , F ( b ) ) F ( c ) whenever a , b , c [ 0 , 1 ] n such that T i ( a i , b i ) c i for all i { 1 , . . . , n } .
Moreover, the result below, which can be found in ([27], Theorem 3), will be useful later on.
Theorem 13. 
Let n N . If G : [ 0 , ] n [ 0 , ] is a function, then the following assertions are equivalent:
(1)
G aggregates every collection of modular relaxed pseudo-metrics { d i } i = 1 n into a modular relaxed pseudo-metric.
(2)
G ( c ) G ( a ) + G ( b ) for all a , b , c [ 0 , ] n with c i a i + b i for all i { 1 , . . . , n } .
Next, we present the charatertization in the case at hand.
Theorem 14. 
Let n N , let T = { T i } i = 1 n be a collection of continuous Archimedean t-norms, and let { f T i } i = 1 n be a collection of additive generators of T . If T is a continuous Archimedean t-norm and F : [ 0 , 1 ] n [ 0 , 1 ] is a function, then the following assertions are equivalent:
(1)
F aggregates modular T -relaxed indistinguishability relations into a modular T-relaxed indistinguishability relation.
(2)
The function G : [ 0 , ] n [ 0 , f T ( 0 ) ] , where G = f T F ( f T 1 ( 1 ) × . . . × f T n ( 1 ) ) , satisfies that G ( c ) G ( a ) + G ( b ) for all a , b , c [ 0 , ] n such that c i a i + b i for all i { 1 , . . . , n } .
(3)
The function G : [ 0 , ] n [ 0 , f T ( 0 ) ] , where G = f T F ( f T 1 ( 1 ) × . . . × f T n ( 1 ) ) , aggregates every collection of modular relaxed pseudo-metrics { d i } i = 1 n into a f T ( 0 ) -bounded modular relaxed pseudo-metric.
(4)
The function H : i = 1 n [ 0 , f T i ( 0 ) ] [ 0 , f T ( 0 ) ] , where H = f T F ( f T 1 1 × . . . × f T n 1 ) , aggregates every collection of f T i ( 0 ) i = 1 n -bounded modular relaxed pseudo-metrics { d i } i = 1 n into a f T ( 0 ) -bounded modular relaxed pseudo-metric.
(5)
The function H : i = 1 n [ 0 , f T i ( 0 ) ] [ 0 , f T ( 0 ) ] , where H = f T F ( f T 1 1 × . . . × f T n 1 ) , satisfies that H ( c ) H ( a ) + H ( b ) for all a , b , c i = 1 n [ 0 , f T i ( 0 ) ] such that c i a i + b i for all i { 1 , . . . , n } .
Proof. ( 1 ) ( 2 ) . The arguments applied in the proof of the implication ( 3 ) ( 4 ) in Theorem 11 are valid in this case but now making use of Theorem 12.
( 2 ) ( 3 ) The same reasoning to that applied to the proof of the implication ( 4 ) ( 5 ) in Theorem 11 remains valid in this case but now making use of Theorem 12.
( 3 ) ( 4 ) . It is obvious.
( 4 ) ( 5 ) . Provided that the collection of f T i ( 0 ) i = 1 n -bounded modular metrics given in the proof of the implication ( 7 ) ( 9 ) in Theorem 11 is in particular a collection of modular relaxed pseudo-metrics, analogous reasoning to the one exposed in the proof of the aforementioned implication can be used to prove the desired statement.
( 5 ) ( 1 ) . This follows by the same argument applied to the proof of the implication ( 9 ) ( 3 ) in Theorem 11 but now making use of assertion (2) in Theorem 5. □
Once more, from the that f T ( 0 ) = whenever T is a strict continuous Archimedean t-norm the following corollary can be deduced.
Corollary 3. 
Let n N , let T = { T i } i = 1 n be a collection of strict continuous Archimedean t-norms, and let { f T i } i = 1 n be a collection of additive generators of T . If T is a strict continuous Archimedean t-norm and F : [ 0 , 1 ] n [ 0 , 1 ] is a function, then the following assertions are equivalent:
(1)
F aggregates modular T -relaxed indistinguishability relations into a modular T-relaxed indistinguishability relation.
(2)
The function G : [ 0 , ] n [ 0 , ] , where G = f T F ( f T 1 1 × . . . × f T n 1 ) , satisfies that G ( c ) G ( a ) + G ( b ) for all a , b , c [ 0 , ] n such that c i a i + b i for all i { 1 , . . . , n } .
(3)
The function G : [ 0 , ] n [ 0 , ] , where G = f T F ( f T 1 1 × . . . × f T n 1 ) , aggregates every collection of modular relaxed pseudo-metrics { d i } i = 1 n into a modular relaxed pseudo-metric.

4.4. Relationship Between the Aggregation Problems

With the purpose to provide a quick guide to the results found so far, in Table 3, we present a summary of the different types of the (modular) generalized metrics that can be aggregated by the function H depending on the family of (modular) T-transitive relations that can be merged by the function F. Observe that Table 3 also works to summarize the different types of (modular) T-transitive relations that can be aggregated by F in terms of each one of the families of (modular) generalized metrics that can be merged by H, since the fact that H = f T F ( f T 1 1 × . . . × f T n 1 ) implies that F = f T ( 1 ) H ( f T 1 × . . . × f T n ) .

5. Some Illustrative Instances

Next we will present some instances of how functions that merge collections of modular generalized metrics can be obtained from functions that merge collections of modular transitive fuzzy relations and vice versa. For simplicity reasons, we will consider that all the t-norms belonging to the collection T are the same for our examples. It must be pointed out that this is not mandatory and that all of them could be different from each other (as long as they are continuous and Archimedean t-norms).
In the following examples, we will consider, on the one hand, the product t-norm T P , which is strict continuous and Archimedean. On the other hand, we will use the ukasiewicz t-norm T L , which is nilpotent continuous and Archimedean. Recall that for all a , b [ 0 , 1 ] we have that T P ( a , b ) = a · b and T L ( a , b ) = max { a + b 1 , 0 } . Additionally, according to [31], f T P ( a ) = ln ( a ) and f T L ( a ) = 1 a for all a [ 0 , 1 ] . Moreover, remember that we have:
f T P ( 1 ) = exp { x } for all a [ 0 , ] and f T L ( 1 ) ( x ) = 1 x , i f 0 x 1 0 , i f 1 < x .
Let us begin by showing in Example 1 how to get a function that aggregates modular metrics into a modular metric by means of a function that merges modular fuzzy equalities into a modular fuzzy equality.
Example 1. 
Let x [ 0 , ] n and let F : [ 0 , 1 ] n [ 0 , 1 ] be the function given by F ( a ) = min { a 1 , , a n } for all a [ 0 , 1 ] n . It is not hard to check that F aggregates modular T -equalities into a modular T-equality in all cases considered below. Next, we provide the expression of G = f T F ( f T 1 ( 1 ) × . . . × f T n ( 1 ) ) for the following different scenarios:
  • T = T L and T i = T L for all i { 1 , , n } . In such a case, the function G : [ 0 , ] n [ 0 , 1 ] obtained from the previously detailed construction is defined as follows:
    G ( x ) = f T L min i { 1 , , n } { f T L ( 1 ) ( x i ) } .
    Since f T L ( 1 ) is a decreasing function, we obtain
    min i { 1 , , n } { f T L ( 1 ) ( x i ) } = f T L ( 1 ) max i { 1 , , n } { x i } .
    Therefore, the expression of the function G is as follows:
    G ( x ) = max i { 1 , , n } { x i } , i f max i { 1 , , n } { x i } 1 1 , o t h e r w i s e .
  • T = T P and T i = T P for all i { 1 , , n } . Using analogous reasoning, and taking into account that T P is strict (and thus f T P f T P ( 1 ) = i d . ), we get that the function G : [ 0 , ] n [ 0 , ] obtained from the aforementioned construction is defined as follows:
    G ( x ) = f T P f T P ( 1 ) max i { 1 , , n } { x i } = max i { 1 , , n } { x i } .
    Observe that G ( x ) = max i { 1 , , n } { x i } whenever all the t-norms involved are the same strict continuous Archimedean t-norm.
  • T = T L and T i = T P for all i { 1 , , n } . Using analogous reasoning again we get that the function G = f T L F ( f T P 1 × . . . × f T P 1 ) : [ 0 , ] n [ 0 , 1 ] is given as follows:
    G ( x ) = f T L f T P ( 1 ) max i { 1 , , n } { x i } = 1 exp { max i { 1 , , n } { x i } } .
It is worth noting that, under the conditions of Theorem 11, if G = f T F ( f T 1 ( 1 ) × . . . × f T n ( 1 ) ) then F = f T ( 1 ) G ( f T 1 × . . . × f T n ) . Now we are ready for Example 2, in which we get a function that aggregates modular fuzzy equalities into a modular fuzzy equality by means of a function that merges modular metrics into a modular metric.
Example 2. 
Let T = { T i } i = 1 n be a collection of continuous Archimedean t-norms, and let { f T i } i = 1 n be a collection of additive generators of T . Consider a continuous Archimedean t-norm T, and let f T be an additive generator of T. Let w i [ 0 , [ for all i { 1 , , n } . Consider the function G : [ 0 , ] n [ 0 , f T ( 0 ) ] defined by
G ( x ) = min i = 1 n ( w i x i ) p 1 p , f T ( 0 )
for all x [ 0 , ] n , with p [ 1 , [ . It is not hard to prove that G fulfills all conditions in assertion (3) in Theorem 10. So it aggregates every collection of modular metrics { d i } i = 1 n into a modular metric. Indeed, by construction it aggregates every collection of modular metrics { d i } i = 1 n into a f T ( 0 ) -bounded modular metric.
Next we show what function F : [ 0 , 1 ] n [ 0 , 1 ] aggregating modular T -equalities into a modular T-equality could give us the function G through the construction G = f T F ( f T 1 ( 1 ) × . . . × f T n ( 1 ) ) provided in Theorem 11, when the considered t-norms are those contemplated in the exposed cases below.
Assume that a [ 0 , 1 ] n . We provide the expression of F = f T ( 1 ) G ( f T 1 × . . . × f T n ) when the considered t-norms are the following:
  • T = T L and T i = T L for all i { 1 , , n } . Let us denote α ( a ) = G ( f T L ( a 1 ) × . . . × f T L ( a n ) ) . Hence
    α ( a ) = min i = 1 n ( w i ( 1 a i ) ) p 1 p , 1
    and
    F ( a ) = f T L ( 1 ) ( α ( a ) ) = 1 min i = 1 n ( w i ( 1 a i ) ) p 1 p , 1 .
    In the particular case where w i [ 0 , 1 ] for all i { 1 , , n } and i = 1 n w i = 1 , it is direct to prove that 0 α ( a ) 1 and, thus, that
    F ( a ) = 1 α ( a ) = 1 i = 1 n ( w i ( 1 a i ) ) p 1 p .
  • T = T P and T i = T P for all i { 1 , , n } . Taking α ( a ) = G ( f T P ( a 1 ) × . . . × f T P ( a n ) ) , we get:
    α ( a ) = i = 1 n ( w i ln ( a i ) ) p 1 p .
    Thus, we obtain the following
    F ( a ) = f T P ( 1 ) ( α ( a ) ) = exp { i = 1 n ( w i ln ( a i ) ) p 1 p } .
  • T = T P and T i = T L for all i { 1 , , n } . We have already seen that, whenever T i = T L for all i { 1 , , n } we get:
    α ( a ) = i = 1 n ( w i ( 1 a i ) ) p 1 p .
    Then,
    F ( a ) = f T P ( 1 ) ( α ( a ) ) = exp i = 1 n ( w i ( 1 a i ) ) p 1 p .
Notice that the functions G and F obtained in Examples 1 and 2 are actually particular instances of functions aggregating any class of modular T-transitive relations and any type of modular generalized metrics (or even any of the possible combinations presented in Table 3).

6. Conclusions and Future Work

Many authors have studied the possibility to construct generalized metrics from many types of transitive fuzzy relations via the use of an additive generator of the involved t-norm. Moreover, a method for generating many classes of transitive fuzzy relations from generalized metrics, but now by means of the use of pseudo-inverse of an additive generator of the t-norm, has been developed. Taking advantage of this duality relationship, the possibility to construct functions that merge collections of indistinguishability relations (equalities) by means of those that aggregate specific collections of pseudo-metrics (metrics) was explored in [15]. In particular, a specific method to construct them was provided by means of the use of additive generators of the t-norms involved and their associated pseudo-inverses.
Motivated, on the one hand, by method exposed in [15] and, on the other hand, by the practical advantages offered by working within the modular framework, we have proven that such a method can be extended to this context. Hence, we have extend the aforementioned technique to those cases in which the pairs formed by many types of modular T-transitive relation and its dual modular generalized metric are considered. In other words, pairs that are obtained by relaxing the reciprocal conditions from the definition of modular equality and modular metric. More precisely, we have proven the following results:
  • The known duality between modular equalities and modular metrics (and also between modular indistinguishability relations and modular pseudo-metrics) still exists when reciprocal conditions are relaxed for both functions. More precisely, we have proven that this duality exists between modular fuzzy pre-orders and modular quasi-pseudo-metrics, modular fuzzy partial orders and modular quasi-metrics, and modular relaxed indistinguishability relations and modular relaxed pseudo-metrics.
  • Functions that merge the aforementioned types of modular generalized metrics can be used to obtain functions that merge the dual type of modular T-transitive relations by means of a specific construction based on the use of additive generators of t-norms and their associated pseudo-inverses.
  • Aggregation functions for some families of T-transitive relations can also be obtained from functions that aggregate generalized metrics different from their dual. The precise families of functions that can be used to do so have been presented in Table 3.
  • Some instances of how the construction method works have been provided.
As for future work, taking advantage of the duality relationship, we plan to improve the existing applications based on modular T-transitive relations or modular generalized metrics. In particular, we plan to explore whether modular generalized metrics that better suit certain situations in Artificial Intelligence or Decision Making can be obtained by taking advantage of the similarity interpretation of modular T-transitive relations, and vice versa.

Author Contributions

Conceptualization, G.J.-M., F.J.T., J.E. and O.V.; investigation, G.J.-M., F.J.T., J.E. and O.V.; writing—original draft preparation, G.J.-M., F.J.T., J.E. and O.V.; writing—review and editing, G.J.-M., F.J.T., J.E. and O.V.; supervision , J.E. and O.V.; funding acquisition, J.E. and O.V. All authors have read and agreed to the published version of the manuscript.

Funding

This research is part of projects PID2022-139248NB-I00, PID2024-155289NB-I00 and PID2021-122905NB-C22 funded by MICIU/AEI/10.13039/501100011033 and ERDF, EU. G. Jaume-Martin and O. Valero thank the support from Programa de Foment de la Recerca i la Innovació de la Universitat de les Illes Balears 2024-2026 and ITS2023-086-Programa de Foment a la recerca. Francisco Javier Talavera is beneficiary of a predoctoral fellowship from Asociacón de Amigos de la Universidad de Navarra

Institutional Review Board Statement

Not applicable.

Data Availability Statement

No new data were created or analyzed in this study. Data sharing is not applicable to this article.

Acknowledgments

This work was carried during the research visit made by G. Jaume-Martin to the research group TOPYLF of the Department of Physics and Applied Mathematics at the University of Navarra (Spain) during October and November 2025. He is grateful for the financial support provided by the University of Balearic Islands and the kind hospitality shown by all members of the aforementioned research group, especially the leader Professor Jorge Elorza.

Conflicts of Interest

The authors declare no conflicts of interest.

References

  1. Fodor, J.; Roubens, M. Fuzzy Preference Modelling and Multicriteria Decision Support; Kluwer: Dordrecht, The Netherlands, 1994. [Google Scholar]
  2. Merigó, J.M.; Gil-Lafuente, A.M. Using the OWA operator in the Minkowski distance. International Journal of Economics and Management Engineering 2008, 2, 1032–1040. [Google Scholar]
  3. Merigó, J.M.; Gil-Lafuente, A.M. On the use of the OWA operator in the Euclidean distance. International Journal of Computer Science and Engineering 2008, 2, 170–176. [Google Scholar]
  4. Merigó, J.M.; Gil-Lafuente, A.M. New decision-making techniques and their application in the selection of financial products. Information Sciences 2010, 180, 2085–2094. [Google Scholar] [CrossRef]
  5. Recasens, J. Indistinguishability Operators - Modelling Fuzzy Equalities and Fuzzy Equivalence Relations. In Proceedings of the Studies in Fuzziness and Soft Computing, 2010. [Google Scholar]
  6. Mayor, G.; Valero, O. Aggregation of asymmetric distances in Computer Science. Information Sciences 2010, 180, 803–812. [Google Scholar] [CrossRef]
  7. Bibiloni-Femenias, M.d.M. A Study on Modular Indistinguishability Operators with Applications. Doctoral thesis, University of Balearic Islands, Palma, Illes Balears, 2024. Available online: https://dspace.uib.es/xmlui/handle/11201/166179.
  8. Valverde, L. On the structure of F-indistinguishability operators. Fuzzy Sets and Systems 1985, 17, 313–328. [Google Scholar] [CrossRef]
  9. De Baets, B.; Mesiar, R. Pseudo-metrics and T-equivalences. The Journal of Fuzzy Mathematics 1997, 5, 471–481. [Google Scholar]
  10. De Baets, B.; Mesiar, R. Metrics and T-Equalities. Journal of Mathematical Analysis and Applications 2002, 267, 531–547. [Google Scholar] [CrossRef]
  11. Gerla, G. Representation theorems for fuzzy orders and quasi-metrics. Soft Computing 2004, 8, 571–580. [Google Scholar] [CrossRef]
  12. Fuster-Parra, P.; Martín, J.; Miñana, J.J.; Valero, O. A study on the relationship between relaxed metrics and indistinguishability operators. Soft Computing 2019, 23, 6785–6795. [Google Scholar] [CrossRef]
  13. Bukatin, M.A. Mathematics of Domains. Doctoral thesis, Brandeis, Waltham, Massachusetts, 2002. Available online: https://www.cs.brandeis.edu/~bukatin/Mathematics-of-Domains.pdf.
  14. Bukatin, M.; Kopperman, R.; Matthews, S. Some corollaries of the correspondence between partial metrics and multivalued equalities. Fuzzy Sets and Systems 2014, 256, 57–72. [Google Scholar] [CrossRef]
  15. Pradera, A.; Trillas, E.; Castiñeira, E. On the Aggregation of Some Classes of Fuzzy Relations. In Technologies for Constructing Intelligent Systems 2: Tools; Bouchon-Meunier, B., Gutiérrez-Ríos, J., Magdalena, L., Yager, R.R., Eds.; Physica-Verlag HD: Heidelberg, 2002; pp. 125–136. [Google Scholar]
  16. González-Hedström, J.D.D.; Miñana, J.J.; Valero, O. Aggregation of Indistinguishability Fuzzy Relations Revisited. Mathematics 2021, 9. [Google Scholar] [CrossRef]
  17. González-Hedström, J.D.D.; Miñana, J.J.; Valero, O. Relaxed indistinguishability relations and relaxed metrics: the aggregation problem. Axioms 2022, 11, 431. [Google Scholar] [CrossRef]
  18. González-Hedström, J.D.D.; Miñana, J.J.; Valero, O. Fuzzy preorders and generalized distances: the aggregation problem revisited. Fuzzy Sets and Systems 2024, 474, 108760. [Google Scholar] [CrossRef]
  19. Chistyakov, V. Metric Modular Spaces: Theory and Applications; Springer: Cham, Switzerland, 2015. [Google Scholar]
  20. Miñana, J.J.; Valero, O. On Indistinguishability Operators, Fuzzy Metrics and Modular Metrics. Axioms 2017, 6. [Google Scholar] [CrossRef]
  21. Guerrero, J.; Jaume-Martin, G.; Bibiloni-Femenias, M.d.M.; Valero, O.; Alsinet, T. On the use of modular quasi-metrics and possibility theory for heterogeneous multi-robot systems. Proceedings of the Artificial Intelligence Research and Development. Proceedings of the 26th International Conference of the Catalan Association for Artificial Intelligence. CCIA 2024 2024, e.a. Vol. 390, 213–222. [Google Scholar]
  22. Ortiz, A.; Valero, O.; Kahraman, C. Addressing multi-class classification tasks by means of RBFNN-like models using modular indistinguishability operators. Proceedings of the Intelligent and Fuzzy Systems. INFUS 2024 2024, e.a. Vol. 1089, 304–312. [Google Scholar]
  23. Ortiz, A.; Valero, O.; Miñana, J.; Lesot, MJ. On the use of modular indistinguishability operators in RBFNN-like models. Proceedings of the Information Processing and Management of Uncertainty in Knowledge-Based Systems. IPMU 2024 2024, e.a. Vol. 1174, 345–359. [Google Scholar]
  24. Bibiloni-Femenias, M.d.M.; Miñana, J.; Valero, O.; Kahraman, C. Aggregating distances with uncertainty: the modular (pseudo-)metric case. Proceedings of the Intelligent and Fuzzy Systems. INFUS 2023 2023, e.a. Vol. 758, 94–101. [Google Scholar]
  25. Bibiloni-Femenias, M.d.M.; Valero, O. Modular Quasi-Pseudo Metrics and the Aggregation Problem. Mathematics 2024, 12. [Google Scholar] [CrossRef]
  26. Bibiloni-Femenias, M.d.M.; Valero, O.; et al. Modular relaxed indistinguishability and the aggregation problem. AIMS Mathematics 2024, 9, 21557. [Google Scholar] [CrossRef]
  27. Bibiloni-Femenias, M.d.M.; Jaume-Martin, G.; Valero, O. Generating Modular Relaxed Pseudo-metrics by Aggregation. In Proceedings of the Advances in Fuzzy Logic and Technology; Baczyński, M., De Baets, B., Holčapek, M., Kreinovich, V., Medina, J., Eds.; Cham, 2025; pp. 54–65. [Google Scholar]
  28. Bibiloni-Femenias, M.; Valero, O. Modular indistinguishability: The aggregation problem. Fuzzy Sets and Systems 2026, 526, 109679. [Google Scholar] [CrossRef]
  29. Jaume-Martin, G.; Bibiloni-Femenias, M.d.M.; Valero, O. On Modular Fuzzy Equivalences, Aggregation and Modular Pseudo-metrics. In Proceedings of the Advances in Fuzzy Logic and Technology; Baczyński, M., De Baets, B., Holčapek, M., Kreinovich, V., Medina, J., Eds.; Cham, 2025; pp. 91–103. [Google Scholar]
  30. Trillas, E. Assaig sobre les relacions d’indistingibilitat. In Proceedings of the Actes del Primer Congress Catala de Logica Matematica, Barcelona, 1982; pp. 51–59. [Google Scholar]
  31. Klement, E.P.; Mesiar, R.; Pap, E. Triangular norms; Springer Science & Business Media: Dordrecht, The Netherlands, 2000; Vol. 8. [Google Scholar]
  32. Deza, M.; Deza, E. Encyclopedia of Distances; Springer: Heidelberg, Germany, 2009. [Google Scholar]
Table 1. List of fuzzy relations and the properties they fulfill. Notice that the symbol " " means that the fuzzy relation does not necessarily fulfill that condition (however, it could).
Table 1. List of fuzzy relations and the properties they fulfill. Notice that the symbol " " means that the fuzzy relation does not necessarily fulfill that condition (however, it could).
Fuzzy relation E Reflexivity (E.1) Symmetry (E.2) T-transitivity (E.3) Point Separation (E.4) Asymmetric Point Separation
Equality Y Y Y Y Y
Indistinguishability Y Y Y
Partial Order Y Y Y
Pre-order Y Y
Relaxed Indist. Y Y
Table 2. List of generalized extended metrics and the properties they fulfill. Notice that the symbol " " means that the generalized extended metric does not necessarily fulfill that condition (however, it could).
Table 2. List of generalized extended metrics and the properties they fulfill. Notice that the symbol " " means that the generalized extended metric does not necessarily fulfill that condition (however, it could).
Generalized extended metric d Self Dist. 0 (D.1) Symmetry (D.2) Triang. Ineq. (D.3) Metric Point Separation (D.4) Distance Asymmetric Point Separation
Metric Y Y Y Y Y
Pseudo-metric Y Y Y
Quasi-metric Y Y Y
Quasi-psuedo-metric Y Y
Relaxed pseudo-metric Y Y
Table 3. Summary of the generalized metrics that can be aggregated by the function H depending on the family of T-transitive relations that can be merged by F.
Table 3. Summary of the generalized metrics that can be aggregated by the function H depending on the family of T-transitive relations that can be merged by F.
Generalized metrics aggregated by H = f T F f T 1 1 × . . . × f T n 1
Fuzzy relation
aggregated
by F
pseudo-
metrics
metrics quasi-
pseudo-
metrics
quasi-
metrics
relaxed
pseudo-
metrics
modular
pseudo-
metrics
modular
metrics
modular
quasi-
pseudo-
metrics
modular
quasi-
metrics
modular
relaxed
pseudo-
metrics
non modular indistinguishabilities Y N N N Y N N N N N
fuzzy equalities Y Y N N Y N N N N N
fuzzy pre-orders Y N Y N Y Y N Y N Y
fuzzy partial-orders Y Y Y Y Y Y Y Y Y Y
relaxed indist. N N N N Y N N N N N
modular indistinguishabilities Y N Y N Y Y N Y N Y
fuzzy equalities Y Y Y Y Y Y Y Y Y Y
fuzzy pre-orders Y N Y N Y Y N Y N Y
fuzzy partial-orders Y Y Y Y Y Y Y Y Y Y
relaxed indist. N N N N Y N N N N Y
Disclaimer/Publisher’s Note: The statements, opinions and data contained in all publications are solely those of the individual author(s) and contributor(s) and not of MDPI and/or the editor(s). MDPI and/or the editor(s) disclaim responsibility for any injury to people or property resulting from any ideas, methods, instructions or products referred to in the content.
Copyright: This open access article is published under a Creative Commons CC BY 4.0 license, which permit the free download, distribution, and reuse, provided that the author and preprint are cited in any reuse.
Prerpints.org logo

Preprints.org is a free preprint server supported by MDPI in Basel, Switzerland.

Subscribe

Disclaimer

Terms of Use

Privacy Policy

Privacy Settings

© 2026 MDPI (Basel, Switzerland) unless otherwise stated