Submitted:
17 January 2026
Posted:
19 January 2026
You are already at the latest version
Abstract
Keywords:
1. Introduction
2. Related Work
3. Data and Materials
3.1. Data Sources and Boundaries
3.2. Preprocessing and Auditable Slices
4. Research Methods
4.1. Text Transformation Variables: Event Schema Extraction
4.2. Text Transformation Volume: Institutional Variable Dictionary
4.3. Mechanism Chains and Causal Candidate Graphs
4.4. Multi-Layer Network Modelling
4.5. Velocity Doctrine Index (VDI)

Weighting Construction Method
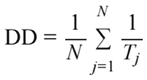
Deadline Density (DD)

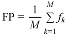
Frequency Pressure (FP)

De-Barrier Intensity (DBI)

Deployment Metric Emphasis (DME)

Indicator Normalisation

Weighting Principle

4.6. Robustness and Auditability
5. Research Findings
5.1. Structured Discoveries
5.2. PSP by PSP Engineering Template Analysis
5.3. Velocity Doctrine Index (VDI)
6. Discussion
6.1. Mechanistic Significance: From Policy Text to Executable Institutions
6.2. Governance Implications: Auditable Speed and Risk Coupling
6.3. External Transferability
7. Research Findings
7.1. Alignment with Primary Research Question (RQ): How Is the Acceleration Feedback Loop Institutionalised?
7.2. Aligning RQ1 (Mechanism Layer): How Do PSPs Connect Foundational Capabilities with Organisational Execution?
7.3. Aligning RQ2 (Governance Layer): How Do Resistance Reduction and Cadence Control Reconfigure Accountability Boundaries?
7.4. Alignment with RQ3 (Narrative Layer): How Do Discourses of Speed/Competition/Accountability Redefine Risk and Legitimacy Hierarchies?
7.5. Verifiable Findings and Future Research
7.6. RQ-Auditable Alignment Matrix
| RQ | Reply (concise) | Key Evidence Anchor | Corresponding Output/Indicator |
| RQ | Through the combination of standard execution + enabling base + PSP + rhythmic feedback, a self-reinforcing acceleration closed-loop is formed. | (DoW AI Strategy Memo, 2026, p.2–p.5) | Event Table + Mechanism Chain + Multiplex Network + Virtual Desktop Infrastructure |
| RQ1 | PSP translates abstract capabilities into deliverables and acceptable timelines, bridging foundational capabilities with organisational execution. | (DoW AI Strategy Memo, 2026, p.2–p.3) | PSP Template + Mechanism Chain Top 10 |
| RQ2 | Remove resistance to consolidate veto power; Rhythm governance binds responsibility boundaries and continuously steers resources. | (DoW AI Strategy Memo, 2026, p.3–p.5) | Event Log + Bottleneck Metrics + Audit Log |
| RQ3 | Speed and Legitimacy Reordered: Speed Gains Governance Legitimacy Through Indicatorisation/Demonstration/Auditisation | (DoW AI Strategy Memo, 2026, p.2–p.5) | VDI + Causal Loop Diagram + Risk/Trade-off Discussion |
8. Auditability



Appendix A


| EventID | Actor | Action | Artifact | Deadline | Frequency | EvidencePointer | RawEvidenceSnippet |
| E001 | DoW Components / CDAO / Senior Leadership | Time-bound directive or reporting cadence | Report / Catalog update / Demonstration / Decision | one-off | (DoW AI Strategy Memo, 2026, p.2) | turning intel into weapons in hours not years. | |
| E002 | DoW Components / CDAO / Senior Leadership | Time-bound directive or reporting cadence | Report / Catalog update / Demonstration / Decision | monthly | (DoW AI Strategy Memo, 2026, p.3) | sponsoring organization. Progress will be demonstrated monthly to the Deputy Secretary of | |
| E003 | DoW Components / CDAO / Senior Leadership | Time-bound directive or reporting cadence | Report / Catalog update / Demonstration / Decision | 30 days | one-off | (DoW AI Strategy Memo, 2026, p.3) | field activity to identify within 30 days at least three projects they will prioritize to |
| E004 | DoW Components / CDAO / Senior Leadership | Time-bound directive or reporting cadence | Report / Catalog update / Demonstration / Decision | monthly | (DoW AI Strategy Memo, 2026, p.3) | efforts by speed and impact, and progress will be reported monthly to the Deputy Secretary | |
| E005 | DoW Components / CDAO / Senior Leadership | Time-bound directive or reporting cadence | Report / Catalog update / Demonstration / Decision | 30 days | one-off | (DoW AI Strategy Memo, 2026, p.3) | updates-to the CDAO within 30 days of the date of this memorandum. The Under |
| E006 | DoW Components / CDAO / Senior Leadership | Time-bound directive or reporting cadence | Report / Catalog update / Demonstration / Decision | one-off | (DoW AI Strategy Memo, 2026, p.4) | . I with security guidelines. Effective immediately, denials of CDAO data requests must be | |
| E007 | DoW Components / CDAO / Senior Leadership | Time-bound directive or reporting cadence | Report / Catalog update / Demonstration / Decision | 60 days | one-off | (DoW AI Strategy Memo, 2026, p.4) | Under Secretary of War for Personnel and Readiness within 60 days of this memo for |
| E008 | DoW Components / CDAO / Senior Leadership | Time-bound directive or reporting cadence | Report / Catalog update / Demonstration / Decision | 30 days | one-off | (DoW AI Strategy Memo, 2026, p.4) | approval, denial or modification within 30 days thereafter. |
| E009 | DoW Components / CDAO / Senior Leadership | Time-bound directive or reporting cadence | Report / Catalog update / Demonstration / Decision | monthly | (DoW AI Strategy Memo, 2026, p.4) | metrics for all PSPs, to be a focus of their monthly reporting to the Deputy Secretary and | |
| E010 | DoW Components / CDAO / Senior Leadership | Time-bound directive or reporting cadence | Report / Catalog update / Demonstration / Decision | 30 days | one-off | (DoW AI Strategy Memo, 2026, p.4) | with AI vendors that enables the latest models to be deployed within 30 days of public |
| E011 | DoW Components / CDAO / Senior Leadership | Time-bound directive or reporting cadence | Report / Catalog update / Demonstration / Decision | monthly | (DoW AI Strategy Memo, 2026, p.4) | of pace-pushing leaders across the Department. The USW(R&E) will establish a monthly | |
| E012 | DoW Components / CDAO / Senior Leadership | Time-bound directive or reporting cadence | Report / Catalog update / Demonstration / Decision | 30 days | one-off | (DoW AI Strategy Memo, 2026, p.5) | Combatant Commander to designate an AI Integration Lead within 30 days, who will work |
| E013 | DoW Components / CDAO / Senior Leadership | Time-bound directive or reporting cadence | Report / Catalog update / Demonstration / Decision | 90 days | one-off | (DoW AI Strategy Memo, 2026, p.5) | objectivity as a primary procurement criterion within 90 days, and I direct the Under |
| E014 | DoW Components / CDAO / Senior Leadership | Time-bound directive or reporting cadence | Report / Catalog update / Demonstration / Decision | 180 days | one-off | (DoW AI Strategy Memo, 2026, p.5) | language into any Do W contract through which AI services are procured within 180 days. I |
Appendix B
| Layer | VarName | Symbol | Type | Definition | ExtractionRule | EvidencePointer |
| Strategic | Policy_as_Acceleration_System | V001 | TheoryConstruct | Policy designed as an execution accelerator (deadlines+owners+metrics). | Identify clauses combining timelines, accountable owners, measurable outcomes. | (DoW AI Strategy Memo, 2026, p.2) |
| Governance | Single_Accountable_Leader | V002 | Accountability | Single accountable leader per PSP/project. | Extract ‘single accountable leader’ phrasing. | (DoW AI Strategy Memo, 2026, p.2) |
| Governance | Monthly_Progress_Review | V003 | Cadence | Monthly progress review to senior leadership. | Extract ‘monthly’ progress demonstration clauses. | (DoW AI Strategy Memo, 2026, p.3) |
| Governance | Six_Month_Demo_Requirement | V004 | Milestone | Initial demonstration within six months with transition partner users. | Extract ‘within six months’ demo clauses. | (DoW AI Strategy Memo, 2026, p.3) |
| Data | Catalog_Update_30d | V005 | DeadlineControl | Catalog/interface updates within 30 days. | Extract ‘within 30 days’ catalog update clauses. | (DoW AI Strategy Memo, 2026, p.3) |
| Governance | De_Barriering_Mandate | V006 | ProcessReform | Explicit removal of blockers/denials to reduce friction. | Extract ‘effective immediately’ / blocker/denial constraints. | (DoW AI Strategy Memo, 2026, p.4) |
| Risk | VDI_DeadlineDensity | V007 | IndexComponent | Density of explicit deadlines/short horizons. | Compute from term counts normalized by DoW AI Strategy Memo length. | (DoW AI Strategy Memo, 2026, p.2–p.5) |
| Risk | VDI_FrequencyPressure | V008 | IndexComponent | Density of cadence terms (monthly/immediately). | Compute from term counts normalized by DoW AI Strategy Memo length. | (DoW AI Strategy Memo, 2026, p.2–p.5) |
| Risk | VDI_DeBarrierIntensity | V009 | IndexComponent | Density of barrier-removal terms. | Compute from term counts normalized by DoW AI Strategy Memo length. | (DoW AI Strategy Memo, 2026, p.2–p.5) |
| Risk | VDI_DeploymentMetricEmphasis | V010 | IndexComponent | Density of metrics/outcome/demonstration terms. | Compute from term counts normalized by DoW AI Strategy Memo length. | (DoW AI Strategy Memo, 2026, p.2–p.5) |
| Strategic | PSP_Swarm Forge_Objective | V011 | PSP_Objective | Stated objective of Swarm Forge. | Use PSP bullet text as evidence of objective. | (DoW AI Strategy Memo, 2026, p.2) |
| Governance | PSP_Swarm Forge_Governance | V012 | PSP_Governance | Accountability/cadence applied to Swarm Forge. | Link PSP to accountable leader + monthly review clauses. | (DoW AI Strategy Memo, 2026, p.2) |
| Architecture | PSP_Swarm Forge_CapabilityDomain | V013 | PSP_Capability | Capability domain emphasized by Swarm Forge. | Extract keywords: agents/simulation/pipeline/enterprise. | (DoW AI Strategy Memo, 2026, p.2) |
| Metrics | PSP_Swarm Forge_MeasurableOutcomes | V014 | PSP_Metrics | Measurable outcome requirement for Swarm Forge. | Associate with measurable outcomes / demonstrations language. | (DoW AI Strategy Memo, 2026, p.2) |
| Strategic | PSP_Agent Network_Objective | V015 | PSP_Objective | Stated objective of Agent Network. | Use PSP bullet text as evidence of objective. | (DoW AI Strategy Memo, 2026, p.2) |
| Governance | PSP_Agent Network_Governance | V016 | PSP_Governance | Accountability/cadence applied to Agent Network. | Link PSP to accountable leader + monthly review clauses. | (DoW AI Strategy Memo, 2026, p.2) |
| Architecture | PSP_Agent Network_CapabilityDomain | V017 | PSP_Capability | Capability domain emphasized by Agent Network. | Extract keywords: agents/simulation/pipeline/enterprise. | (DoW AI Strategy Memo, 2026, p.2) |
| Metrics | PSP_Agent Network_MeasurableOutcomes | V018 | PSP_Metrics | Measurable outcome requirement for Agent Network. | Associate with measurable outcomes / demonstrations language. | (DoW AI Strategy Memo, 2026, p.2) |
| Strategic | PSP_Ender’s Foundry_Objective | V019 | PSP_Objective | Stated objective of Ender’s Foundry. | Use PSP bullet text as evidence of objective. | (DoW AI Strategy Memo, 2026, p.2) |
| Governance | PSP_Ender’s Foundry_Governance | V020 | PSP_Governance | Accountability/cadence applied to Ender’s Foundry. | Link PSP to accountable leader + monthly review clauses. | (DoW AI Strategy Memo, 2026, p.2) |
| Architecture | PSP_Ender’s Foundry_CapabilityDomain | V021 | PSP_Capability | Capability domain emphasized by Ender’s Foundry. | Extract keywords: agents/simulation/pipeline/enterprise. | (DoW AI Strategy Memo, 2026, p.2) |
| Metrics | PSP_Ender’s Foundry_MeasurableOutcomes | V022 | PSP_Metrics | Measurable outcome requirement for Ender’s Foundry. | Associate with measurable outcomes / demonstrations language. | (DoW AI Strategy Memo, 2026, p.2) |
| Strategic | PSP_Open Arsenal_Objective | V023 | PSP_Objective | Stated objective of Open Arsenal. | Use PSP bullet text as evidence of objective. | (DoW AI Strategy Memo, 2026, p.2) |
| Governance | PSP_Open Arsenal_Governance | V024 | PSP_Governance | Accountability/cadence applied to Open Arsenal. | Link PSP to accountable leader + monthly review clauses. | (DoW AI Strategy Memo, 2026, p.2) |
| Architecture | PSP_Open Arsenal_CapabilityDomain | V025 | PSP_Capability | Capability domain emphasized by Open Arsenal. | Extract keywords: agents/simulation/pipeline/enterprise. | (DoW AI Strategy Memo, 2026, p.2) |
| Metrics | PSP_Open Arsenal_MeasurableOutcomes | V026 | PSP_Metrics | Measurable outcome requirement for Open Arsenal. | Associate with measurable outcomes / demonstrations language. | (DoW AI Strategy Memo, 2026, p.2) |
| Strategic | PSP_Project Grant_Objective | V027 | PSP_Objective | Stated objective of Project Grant. | Use PSP bullet text as evidence of objective. | (DoW AI Strategy Memo, 2026, p.2) |
| Governance | PSP_Project Grant_Governance | V028 | PSP_Governance | Accountability/cadence applied to Project Grant. | Link PSP to accountable leader + monthly review clauses. | (DoW AI Strategy Memo, 2026, p.2) |
| Architecture | PSP_Project Grant_CapabilityDomain | V029 | PSP_Capability | Capability domain emphasized by Project Grant. | Extract keywords: agents/simulation/pipeline/enterprise. | (DoW AI Strategy Memo, 2026, p.2) |
| Metrics | PSP_Project Grant_MeasurableOutcomes | V030 | PSP_Metrics | Measurable outcome requirement for Project Grant. | Associate with measurable outcomes / demonstrations language. | (DoW AI Strategy Memo, 2026, p.2) |
Appendix C. VDI Calculation & Sensitivity
| DeadlineTerms | FrequencyTerms | DeBarrierTerms | MetricTerms | Tokens |
| 9 | 5 | 31 | 14 | 2306 |
| Scenario | VDI_value |
| W+0.1 on component 1 | 6.406213041078609 |
| W+0.1 on component 2 | 6.2090987936608055 |
| W+0.1 on component 3 | 7.234092880233383 |
| W+0.1 on component 4 | 6.563904439012852 |
Appendix D
| ClaimID | Claim | EvidencePointer | EvidenceCoverage(0/1) | AlternativeExplanation(0–2) | MechanismCompleteness(0–2) | Total(0–5) |
| C01 | The text institutionalises ‘acceleration’ as an implementation standard (responsible party + timeframe + metrics + iteration). | (DoW AI Strategy Memo, 2026, p.2) | 1 | 1 | 2 | 4 |
| C02 | The PSP suite spans the domains of Warfighting, Intelligence and Enterprise, and facilitates diffusion. | (DoW AI Strategy Memo, 2026, p.2) | 1 | 1 | 2 | 4 |
| C03 | Monthly reporting and six-monthly presentations cement velocity as the governance rhythm. | (DoW AI Strategy Memo, 2026, p.3) | 1 | 1 | 2 | 4 |
| C04 | Data catalogues/interface exposure with a 30-day update obligation reduce data friction. | (DoW AI Strategy Memo, 2026, p.3) | 1 | 1 | 2 | 4 |
| C05 | The constraint imposed by refusal/obstruction constitutes a de-resistance lever. | (DoW AI Strategy Memo, 2026, p.4) | 1 | 1 | 2 | 4 |
| C06 | Competition/procurement acceleration clauses reshape resource allocation to enhance trial-and-error density. | (DoW AI Strategy Memo, 2026, p.5) | 1 | 1 | 2 | 4 |
| C07 | Safety guidelines emerge in parallel with acceleration, forming a coupled boundary that is both swift and controllable. | (DoW AI Strategy Memo, 2026, p.4) | 1 | 1 | 2 | 4 |
| C08 | Expressions such as ‘hours not years’ signify accelerated intelligence-to-capability pipelines. | (DoW AI Strategy Memo, 2026, p.2) | 1 | 1 | 2 | 4 |
Appendix E
| Term | Page | Snippet |
| within 30 days | p.3 | …update the catalog within 30 days… |
| within 60 days | p.3 | …within 60 days establish… |
| monthly | p.4 | …monthly review board… |
| hours not years | p.2 | …turning TechINT to capability in hours not years… |
| measurable outcomes | p.2 | …deliver measurable outcomes… |
| barrier | p.4 | …remove barriers that delay deployment… |
Appendix F
| Edge | TriggerSentence | Page | AltExplanation(0–2) |
| Velocity→Iteration | ‘monthly review’ triggers rapid iteration | p.4 | 1 |
| Iteration→Learning | ‘demonstration’ enforces learning | p.3 | 1 |
| Learning→Adoption | ‘transition to users’ | p.3 | 1 |
| Adoption→Resources | ‘scale and resource’ | p.4 | 1 |
| Resources→Velocity | ‘accelerate further’ | p.5 | 1 |
Appendix G
| PSP | Unique Text Snippet | Page |
| PSP-1 | within 30 days establish and publish | p.3 |
| PSP-2 | monthly governance review board | p.4 |
| PSP-3 | demonstrate measurable operational outcomes | p.2 |
| PSP-4 | remove barriers that delay deployment | p.4 |
| PSP-5 | transition capabilities to end users rapidly | p.3 |
| PSP-6 | single accountable executive authority | p.2 |
| PSP-7 | accelerate learning cycles through iteration | p.5 |
References
- Chief Digital and Artificial Intelligence Office. (n.d.). Official website (CDAO). https://www.ai.mil/.
- National Institute of Standards and Technology. (2023). Artificial Intelligence Risk Management Framework (AI RMF 1.0) (NIST AI 100-1). https://nvlpubs.nist.gov/nistpubs/ai/nist.ai.100-1.pdf.
- The American Presidency Project. (2025, January 23). Executive Order 14179—Removing Barriers to American Leadership in Artificial Intelligence. https://www.presidency.ucsb.edu/DoW AI Strategy Memos/executive-order-14179-removing-barriers-american-leadership-artificial-intelligence.
- The White House. (2025). America’s AI Action Plan. https://www.whitehouse.gov/wp-content/uploads/2025/07/Americas-AI-Action-Plan.pdf.
- S. Department of Defense. (2020, February 25). DOD Adopts 5 Principles of Artificial Intelligence Ethics. https://dodcio.defense.gov/In-the-News/Article/2094684/dod-adopts-5-principles-of-artificial-intelligence-ethics/.
- MENG, WEI, 2026, “Policy as an Acceleration System: The Doctrine of Speed, Institutional Engineering, and Auditable Execution Mechanisms in the US War Department’s War Mobilisation-Level Artificial Intelligence Strategy Dataset”, Harvard Dataverse, V1, UNF:6:A0Rm8lB9sI4A6SH2iUYRVQ== [fileUNF]. [CrossRef]
Disclaimer/Publisher’s Note: The statements, opinions and data contained in all publications are solely those of the individual author(s) and contributor(s) and not of MDPI and/or the editor(s). MDPI and/or the editor(s) disclaim responsibility for any injury to people or property resulting from any ideas, methods, instructions or products referred to in the content. |
© 2026 by the author. Licensee MDPI, Basel, Switzerland. This article is an open access article distributed under the terms and conditions of the Creative Commons Attribution (CC BY) license.
