Submitted:
09 January 2026
Posted:
12 January 2026
You are already at the latest version
Abstract
Keywords:
1. Introduction
2. Materials and Methods
2.1. Methodology
2.2. Study Area
2.3. Data Acquisition
2.3.1. Subsubsection
2.3.2. Sentinel-2
2.4. Data Processing and Analysis
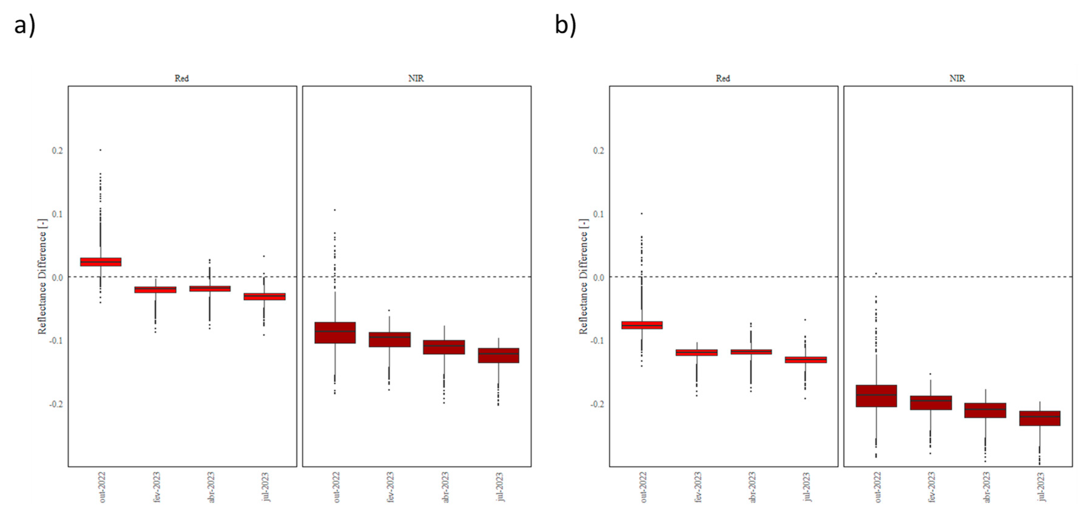
3. Results
3.1. Temporal Analysis
3.2. Spatial Analysis
4. Discussion
5. Conclusions
Author Contributions
Funding
Data Availability Statement
Acknowledgments
Conflicts of Interest
Appendix A


References
- Wang, R.; Sun, Y.; Zong, J.; Wang, Y.; Cao, X.; Wang, Y.; Cheng, X.; Zhang, W. Remote Sensing Application in Ecological Restoration Monitoring: A Systematic Review. Remote Sens (Basel) 2024, 16.
- Sun, Z.; Wang, X.; Wang, Z.; Yang, L.; Xie, Y.; Huang, Y. UAVs as Remote Sensing Platforms in Plant Ecology: Review of Applications and Challenges. Journal of Plant Ecology 2021, 14, 1003–1023. [CrossRef]
- Li, M.; Shamshiri, R.R.; Weltzien, C.; Schirrmann, M. Crop Monitoring Using Sentinel-2 and UAV Multispectral Imagery: A Comparison Case Study in Northeastern Germany. Remote Sens (Basel) 2022, 14, 1–21. [CrossRef]
- Senf, C. Seeing the System from Above: The Use and Potential of Remote Sensing for Studying Ecosystem Dynamics. Ecosystems 2022, 25, 1719–1737. [CrossRef]
- Ryu, J.H.; Moon, H.D.; Lee, K. Do; Cho, J.; Ahn, H.Y. Evaluation of Surface Reflectance and Vegetation Indices Measured by Sentinel-2 Satellite Using Drone Considering Crop Type and Surface Heterogeneity. Korean Journal of Remote Sensing 2024, 40, 657–673. [CrossRef]
- Isaev, E.; Kulikov, M.; Shibkov, E.; Sidle, R.C. Bias Correction of Sentinel-2 with Unmanned Aerial Vehicle Multispectral Data for Use in Monitoring Walnut Fruit Forest in Western Tien Shan, Kyrgyzstan. J Appl Remote Sens 2022, 17, 22204. [CrossRef]
- del Río-Mena, T.; Willemen, L.; Vrieling, A.; Nelson, A. How Remote Sensing Choices Influence Ecosystem Services Monitoring and Evaluation Results of Ecological Restoration Interventions. Ecosyst Serv 2023, 64. [CrossRef]
- Mehmood, K.; Anees, S.A.; Muhammad, S.; Hussain, K.; Shahzad, F.; Liu, Q.; Ansari, M.J.; Alharbi, S.A.; Khan, W.R. Analyzing Vegetation Health Dynamics across Seasons and Regions through NDVI and Climatic Variables. Sci Rep 2024, 14. [CrossRef]
- Gutman, G.; Skakun, S.; Gitelson, A. Revisiting the Use of Red and Near-Infrared Reflectances in Vegetation Studies and Numerical Climate Models. Science of Remote Sensing 2021, 4, 100025. [CrossRef]
- Pastonchi, L.; Di Gennaro, S.F.; Toscano, P.; Matese, A. Comparison between Satellite and Ground Data with UAV-Based Information to Analyse Vineyard Spatio-Temporal Variability. Oeno One 2020, 54, 919–934. [CrossRef]
- Kottek, M.; Grieser, J.; Beck, C.; Rudolf, B.; Rubel, F. World Map of the Köppen-Geiger Climate Classification Updated. Meteorologische Zeitschrift 2006, 15, 259–263. [CrossRef]
- ICNF 10.o Relatório Provisório de Incêndios Florestais - 2017; 2017;
- EFFIS COPERNICUS - Emergency Management Service. EFFIS - European Forest Fire Information System. Available online: https://effis.jrc.ec.europa.eu/ (accessed on 19 September 2017).
- da Silva, T. van der W.; Gomes Pereira, L.; Oliveira, B.R.F. Assessing Geometric and Radiometric Accuracy of DJI P4 MS Imagery Processed with Agisoft Metashape for Shrubland Mapping. Remote Sens (Basel) 2024, 16, 4633. [CrossRef]
- ESA Sentinel-2 User Handbook; 2015; Vol. Rev2;.
- USGS Landsat 9 Data Users Handbook Landsat 9 Data Users Handbook Version 1.0. 2022, 107.
- USGS Landsat 8 Data Users Handbook. EROS 2019, 8, 106.
- Astola, H.; Häme, T.; Sirro, L.; Molinier, M.; Kilpi, J. Comparison of Sentinel-2 and Landsat 8 Imagery for Forest Variable Prediction in Boreal Region. Remote Sens Environ 2019, 223, 257–273. [CrossRef]
- Rufin, P.; Frantz, D.; Yan, L.; Hostert, P. Operational Coregistration of the Sentinel-2A/B Image Archive Using Multitemporal Landsat Spectral Averages. IEEE Geoscience and Remote Sensing Letters 2021, 18, 712–716. [CrossRef]
- Amani, M.; Ghorbanian, A.; Ahmadi, S.A.; Kakooei, M.; Moghimi, A.; Mirmazloumi, S.M.; Moghaddam, S.H.A.; Mahdavi, S.; Ghahremanloo, M.; Parsian, S.; et al. Google Earth Engine Cloud Computing Platform for Remote Sensing Big Data Applications: A Comprehensive Review. IEEE J Sel Top Appl Earth Obs Remote Sens 2020, 13, 5326–5350. [CrossRef]
- ESA S2 Processing.
- ESRI ArcGIS Pro Geoprocessing Tool Reference.
- Louis, J.; Pflug, B.; Debaecker, V.; Mueller-Wilm, U.; Iannone, R.Q.; Boccia, V.; Gascon, F. Evolutions of Sentinel-2 Level-2a Cloud Masking Algorithm Sen2Cor Prototype First Results. International Geoscience and Remote Sensing Symposium (IGARSS) 2021, 2021-July, 3041–3044. [CrossRef]
- Blanco-Rodríguez, M.Á.; Ameztegui, A.; Gelabert, P.; Rodrigues, M.; Coll, L. Short-Term Recovery of Post-Fire Vegetation Is Primarily Limited by Drought in Mediterranean Forest Ecosystems. Fire Ecology 2023, 19. [CrossRef]
- Viana-Soto, A.; Aguado, I.; Salas, J.; García, M. Identifying Post-Fire Recovery Trajectories and Driving Factors Using Landsat Time Series in Fire-Prone Mediterranean Pine Forests. Remote Sens (Basel) 2020, 12. [CrossRef]
- Ortega, M.; Lora, Á.; Yocom, L.; Zumaquero, R.; Molina, J.R. Effects of Fire Recurrence and Severity on Mediterranean Vegetation Dynamics: Implications for Structure and Composition in Southern Spain. Science of the Total Environment 2025, 961. [CrossRef]
- Peris-Llopis, M.; Vastaranta, M.; Saarinen, N.; González-Olabarria, J.R.; García-Gonzalo, J.; Mola-Yudego, B. Post-Fire Vegetation Dynamics and Location as Main Drivers of Fire Recurrence in Mediterranean Forests. For Ecol Manage 2024, 568. [CrossRef]
- Thapa, S.; Garcia Millan, V.E.; Eklundh, L. Assessing Forest Phenology: A Multi-Scale Comparison of near-Surface (UAV, Spectral Reflectance Sensor, Phenocam) and Satellite (MODIS, Sentinel-2) Remote Sensing. Remote Sens (Basel) 2021, 13. [CrossRef]
- Bollas, N.; Kokinou, E.; Polychronos, V. Comparison of Sentinel-2 and Uav Multispectral Data for Use in Precision Agriculture: An Application from Northern Greece. Drones 2021, 5. [CrossRef]
- Abdullah, M.M.; Al-Ali, Z.M.; Blanton, A.; Charabi, Y.; Abulibdeh, A.; Al-Awadhi, T.; Srinivasan, S.; Fadda, E.; Mohan, M. UAVs for Improving Seasonal Vegetation Assessment in Arid Environments. Front Environ Sci 2024, 12, 1–5. [CrossRef]
- Bousquet, E.; Mialon, A.; Rodriguez-Fernandez, N.; Mermoz, S.; Kerr, Y. Monitoring Post-Fire Recovery of Various Vegetation Biomes Using Multi-Wavelength Satellite Remote Sensing. Biogeosciences 2022, 19, 3317–3336. [CrossRef]
- Ogungbuyi, M.G.; Mohammed, C.; Fischer, A.M.; Turner, D.; Whitehead, J.; Harrison, M.T. Integration of Drone and Satellite Imagery Improves Agricultural Management Agility. Remote Sens (Basel) 2024, 16. [CrossRef]
- Sozzi, M.; Kayad, A.; Gobbo, S.; Cogato, A.; Sartori, L.; Marinello, F.; Singh, V.; Huang, Y. Economic Comparison of Satellite, Plane and UAV-Acquired NDVI Images for Site-Specific Nitrogen Application: Observations from Italy. 2021. [CrossRef]
- Moravec, D.; Komárek, J.; Medina, S.L.C.; Molina, I. Effect of Atmospheric Corrections on NDVI: Intercomparability of Landsat 8, Sentinel-2, and UAV Sensors. Remote Sens (Basel) 2021, 13. [CrossRef]
- Gati, B. Comparison of Vegetation Indices Obtained by Drone and Satellite. E3S Web of Conferences 2024, 590, 01008. [CrossRef]
- Shan, T.; Isaev, E.; Kulikov, M.; Shibkov, E.; Sidle, R.C. Bias Correction of Sentinel-2 with Unmanned Aerial Vehicle Multispectral Data for Use in Monitoring Walnut Fruit Forest in Western. J Appl Remote Sens 2022, 17.
- Martinez, J.L.; Lucas-borja, M.E.; Plaza-alvarez, P.A.; Denisi, P.; Moreno, M.A.; Hernández, D.; González-romero, J.; Zema, D.A. Comparison of Satellite and Drone-based Images at Two Spatial Scales to Evaluate Vegetation Regeneration after Post-fire Treatments in a Mediterranean Forest. Applied Sciences (Switzerland) 2021, 11. [CrossRef]
- Wang, H.; Muller, J.D.; Tatarinov, F.; Yakir, D.; Rotenberg, E. Disentangling Soil, Shade, and Tree Canopy Contributions to Mixed Satellite Vegetation Indices in a Sparse Dry Forest. Remote Sens (Basel) 2022, 14. [CrossRef]
- Galvao, L.S.; Ponzoni, F.J.; Epiphanio, J.C.N.; Rudorff, B.F.T.; Formaggio, A.R. Sun and View Angle Effects on NDVI Determination of Land Cover Types in the Brazilian Amazon Region with Hyperspectral Data. Int J Remote Sens 2004, 25, 1861–1879. [CrossRef]
- Oliveira, E.R.; Disperati, L.; Cenci, L.; Pereira, L.G.; Alves, F.L. Multi-Index Image Differencing Method (MINDED) for Flood Extent Estimations. Remote Sens (Basel) 2019, 11. [CrossRef]
- Alavipanah, S.K.; Karimi Firozjaei, M.; Sedighi, A.; Fathololoumi, S.; Zare Naghadehi, S.; Saleh, S.; Naghdizadegan, M.; Gomeh, Z.; Arsanjani, J.J.; Makki, M.; et al. The Shadow Effect on Surface Biophysical Variables Derived from Remote Sensing: A Review. Land (Basel) 2022, 11.











| P4MS | S2 | ∆t [days] | P4MS | S2 | ∆t [days] | P4MS | S2 | ∆t [days] |
|---|---|---|---|---|---|---|---|---|
| - | 19-Apr-2022(*) | - | - | 5-Nov-2022 | - | 20-Jul-2023 | 18-Jul-2023 | -2 |
| 21-Apr-2022 | 29-Apr-2022 | 8 | - | 10-Nov-2022 | - | - | 23-Jul-2023 | - |
| - | 4-May-2022 | - | - | 25-Nov-2022 | - | - | 28-Jul-2023 | - |
| - | 14-May-2022 | - | 11-Jan-2023 | 4-Jan-2023 | -7 | - | 7-Aug-2023 | - |
| - | 13-Jun-2022 | - | - | 24-Jan-2023 | - | - | 12-Aug-2023 | - |
| - | 28-Jun-2022 | - | - | 29-Jan-2023 | - | - | 17-Aug-2023 | - |
| - | 3-Jul-2022 | - | - | 3-Feb-2023 | - | - | 22-Aug-2023 | - |
| 7-Jul-2022 | 8-Jul-2022 | 1 | 16-Feb-2023 | 23-Feb-2023 | 7 | 7-Sep-2023 | 1-Sep-2023 | -6 |
| - | 18-Jul-2022 | - | - | 28-Feb-2023 | - | - | 26-Sep-2023 | - |
| - | 23-Jul-2022 | - | - | 15-Mar-2023 | - | - | 1-Oct-2023 | - |
| 29-Jul-2022 | 28-Jul-2022 | -1 | 30-Mar-2023 | 25-Mar-2023 | -5 | - | 25-Nov-2023 | - |
| - | 2-Aug-2022 | - | - | 4-Apr-2023 | - | 20-Dec-2023 | 20-Dec-2023 | 0 |
| - | 7-Aug-2022 | - | - | 9-Apr-2023 | - | - | 24-Jan-2024 | - |
| - | 12-Aug-2022 | - | 20-Apr-2023 | 19-Apr-2023 | -1 | - | 3-Feb-2024 | - |
| - | 17-Aug-2022 | - | - | 24-Apr-2023 | - | 19-Mar-2024 | 19-Mar-2024 | 0 |
| - | 22-Aug-2022 | - | - | 14-May-2023 | - | - | 23-Apr-2024 | - |
| - | 27-Aug-2022 | - | - | 19-May-2023 | - | - | 8-May-2024 | - |
| - | 1-Sep-2022 | - | - | 3-Jun-2023(*) | - | - | 23-May-2024 | - |
| - | 11-Sep-2022 | - | 22-Jun-2023 | 23-Jun-2023 | 1 | - | 28-May-2024 | - |
| - | 26-Sep-2022 | - | - | 28-Jun-2023 | - | - | 2-Jun-2024 | - |
| - | 1-Oct-2022 | - | - | 3-Jul-2023 | - | - | 12-Jun-2024 | - |
| 6-Oct-2022 | 11-Oct-2022 | 5 | - | 13-Jul-2023 | - | 20-Jun-2024 | 22-Jun-2024 | 2 |
| (P4MS AgMean) - (S2 Harmonized) | (P4MS AgMean) - (S2 Non-Harmonized) | |||||||
|---|---|---|---|---|---|---|---|---|
| Oct-2022 | Feb-2023 | Apr-2023 | Jul-2023 | Oct-2022 | Feb-2023 | Apr-2023 | Jul-2023 | |
| Mean | -0,297 | -0,043 | -0,154 | -0,082 | 0,002 | 0,281 | 0,105 | 0,144 |
| Median | -0,304 | -0,047 | -0,160 | -0,084 | 0,006 | 0,285 | 0,109 | 0,144 |
| Std. Dev. | 0,073 | 0,058 | 0,060 | 0,072 | 0,081 | 0,062 | 0,070 | 0,089 |
| Min | -0,536 | -0,261 | -0,340 | -0,325 | -0,301 | -0,014 | -0,236 | -0,235 |
| Max | 0,058 | 0,258 | 0,130 | 0,172 | 0,280 | 0,452 | 0,339 | 0,382 |
| Sum | -380,198 | -55,403 | -196,406 | -104,255 | 1,957 | 359,576 | 133,930 | 184,138 |
| Skewness | 0,790 | 1,016 | 0,830 | 0,187 | -0,172 | -0,609 | -0,401 | -0,179 |
| Kurtosis | 5,198 | 7,503 | 5,289 | 2,905 | 3,189 | 4,468 | 3,946 | 3,232 |
Disclaimer/Publisher’s Note: The statements, opinions and data contained in all publications are solely those of the individual author(s) and contributor(s) and not of MDPI and/or the editor(s). MDPI and/or the editor(s) disclaim responsibility for any injury to people or property resulting from any ideas, methods, instructions or products referred to in the content. |
© 2026 by the authors. Licensee MDPI, Basel, Switzerland. This article is an open access article distributed under the terms and conditions of the Creative Commons Attribution (CC BY) license (http://creativecommons.org/licenses/by/4.0/).
