Submitted:
03 January 2026
Posted:
05 January 2026
You are already at the latest version
Abstract
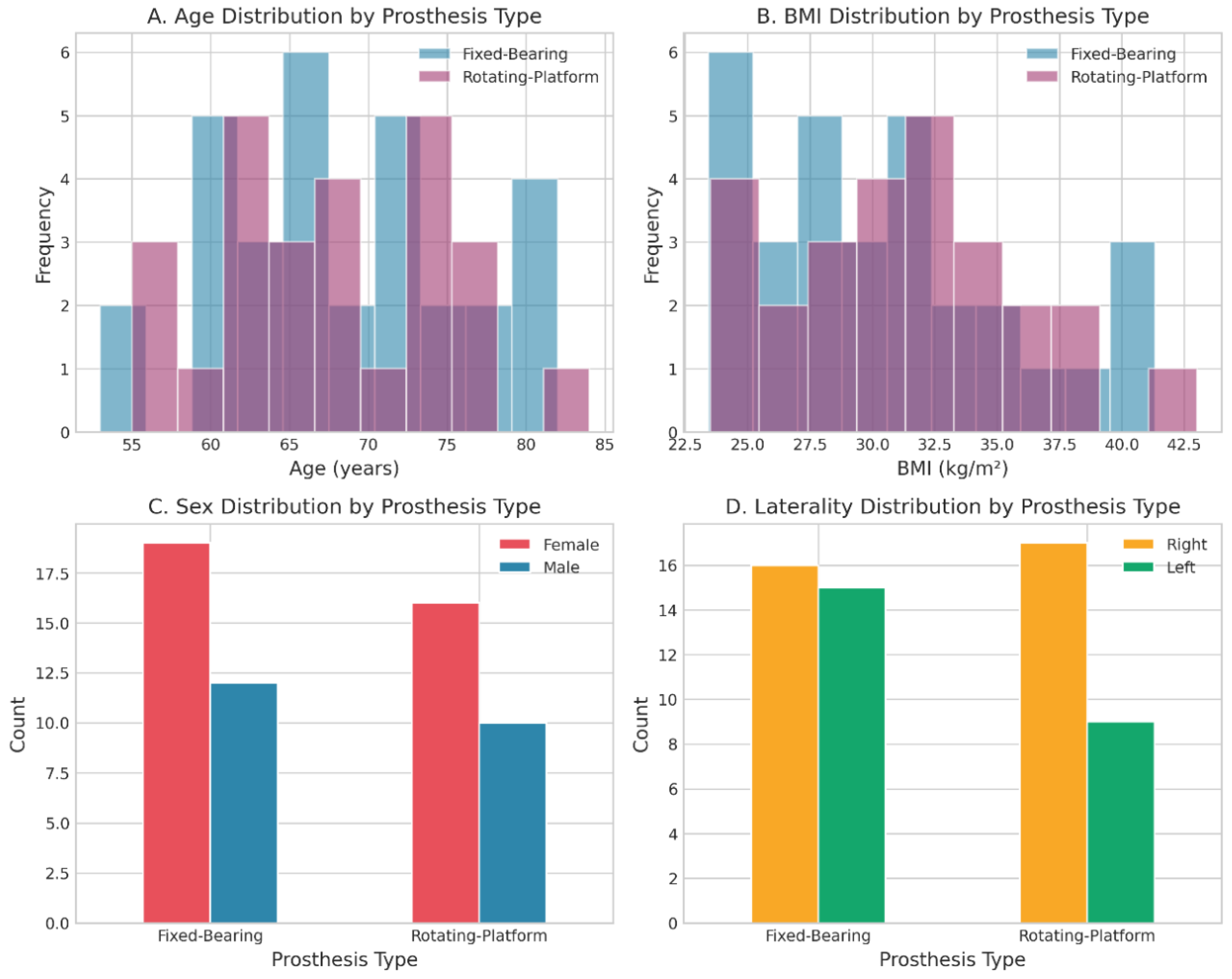
Background/Objectives: The clinical superiority of rotating-bearing (RB) versus fixed-bearing (FB) total knee arthroplasty (TKA) remains controversial despite the proposed biomechanical advantages of mobile-bearing designs. Objective gait assessment with inertial measurement units (IMUs) provides a measurable view of functional recovery that may complement patient-reported outcome measures (PROMs). This study compared spatiotemporal gait parameters between FB and RB TKA over 24 months. Methods: This prospective longitudinal comparative study enrolled 47 patients undergoing primary unilateral TKA for end-stage knee osteoarthritis. Spatiotemporal gait parameters (gait velocity, cadence, and stance-phase duration) were measured using wireless IMUs (G-WALK system) at 6, 12, and 24 months post-surgery. WOMAC and the 10-point Geriatric Locomotive Function Scale (GLFS-1) were assessed at 12 and 24 months. Group, time, and Group × Time effects were analyzed using linear mixed-effects models. Results: Both groups improved during follow-up, with performance largely plateauing between 12 and 24 months. At 24 months, there were no significant differences between groups in gait velocity (FB 1.17 vs. RB 1.16 m/s; p = 0.65), cadence (99.8 vs. 97.4 steps/min; p = 0.72), or stance-phase duration (59.3% vs. 59.0%; p = 0.82). Group × Time interactions were not significant across gait outcomes. WOMAC and GLFS-1 improved similarly in both groups (p > 0.05). Cadence was inversely correlated with the WOMAC function subscale at 24 months (rho = −0.563; p = 0.036). Conclusions: FB and RB bearing designs showed similar objective gait recovery trajectories and PROM improvements through 24 months after primary TKA, suggesting no intermediate-term functional advantage from bearing design.
