Preprint
Article

This version is not peer-reviewed.

Clinical Relevance of Antimicrobial Susceptibility Testing Methods in Carbapenem-Resistant Acinetobacter baumannii Pneumonia: A Secondary Analysis of a Randomized Controlled Trial

A peer-reviewed article of this preprint also exists.

Submitted:

23 December 2025

Posted:

24 December 2025

You are already at the latest version

Abstract
Background/Objective: Carbapenem resistant Acinetobacter baumannii (CRAB) pneumonia has limited treatment options, and sulbactam MIC interpretation varies by antimicrobial susceptibility testing (AST) method. This study compared sulbactam MICs determined by broth microdilution (BMD) and E-test and examined their associations with 28-day mortality. Methods: This secondary analysis used data from a randomized controlled trial comparing colistin plus sulbactam at 9 g/day versus 12 g/day in adults with CRAB pneumonia. Sulbactam MICs of 134 isolates were determined by BMD and E-test. Agreement between methods across MIC ranges and associations between MICs, dosing, and 28-day mortality were analyzed. Results: Sulbactam MICs determined by BMD were lower than those obtained by E-test (MIC50/90: 32/128 µg/mL vs. 96/≥256 µg/mL). Overall agreement between methods was limited and depended on MIC level, with better agreement at lower MICs and marked discrepancies at higher MICs, where E-test frequently overestimated MICs. Using the IDSA breakpoint (MIC ≤4 µg/mL), susceptibility was identified in 6% of isolates by BMD and 3% by E-test. A significant survival benefit with high-dose sulbactam (12 g/day) was observed in patients with BMD-determined MICs ≥128 µg/mL (HR 0.27; 95% CI, 0.077–0.956; p=0.042), whereas no mortality association was seen when MICs were categorized using E-test results. Conclusions: AST method selection substantially affects sulbactam MIC interpretation in CRAB pneumonia. BMD shows stronger correlation with clinical outcomes than E-test, particularly at high MIC levels. High dose sulbactam may benefit patients with highly resistant isolates, underscoring the need for accurate and standardized AST methods.
Keywords: 
;  ;  ;  ;  

Introduction

Carbapenem-resistant Acinetobacter baumannii (CRAB) represents a formidable global health threat. It has been identified by both the World Health Organization (WHO) and the Centers for Disease Control and Prevention (CDC) as a top-priority pathogen requiring urgent antimicrobial development efforts [1,2]. This multidrug-resistant (MDR) organism is a leading cause of severe healthcare-associated infections, particularly ventilator-associated pneumonia (VAP) in intensive care units (ICUs) [3,4,5]. The clinical burden of CRAB pneumonia is substantial, with incidence rates reaching up to 649 cases per 1,000 ICU patients in Southeast Asia[4], and reported mortality rates ranging from 14% to 73% [6,7,8].
Despite its clinical importance, effective therapeutic options for CRAB remain limited. Although novel agents such as sulbactam-durlobactam have shown promise, access to these treatments is still restricted in many parts of the world [9,10]. As a result, sulbactam, a β-lactamase inhibitor with intrinsic bactericidal activity against A. baumannii via its binding to penicillin-binding proteins (PBPs) 1 and 3 [11,12], continues to play a central role in treatment. It is often administered in combination with colistin or other antimicrobials [13,14,15]. According to the 2025 Clinical and Laboratory Standards Institute (CLSI) breakpoints, susceptibility for ampicillin-sulbactam is defined as ≤8/4 µg/mL and resistance as ≥32/16 µg/mL, while for sulbactam-durlobactam, susceptibility is defined as ≤4/4 µg/mL and resistance as ≥16/4 µg/mL [16]. Antimicrobial surveillance data from Thailand reveal that over 75% of A. baumannii isolates are resistant to ampicillin-sulbactam [17]. Nevertheless, accumulating evidence suggests that high-dose sulbactam regimens (≥9 g/day) are associated with improved clinical outcomes in patients with CRAB-related hospital-acquired pneumonia (HAP) or VAP [10,13,18,19,20,21].
Optimizing sulbactam therapy relies on the accurate determination of its minimum inhibitory concentration (MIC). However, antimicrobial susceptibility testing (AST) for sulbactam poses significant challenges. Various AST methods including broth microdilution (BMD), disk diffusion, gradient diffusion methods (such as the Epsilometer test or E-test), and automated systems are employed in clinical microbiology laboratories to assess bacterial susceptibility [16,22,23]. Among these, BMD is widely regarded as the reference standard due to its precision and reproducibility [16,23], whereas methods like the E-test are frequently used for their convenience. Nevertheless, concerns remain regarding their tendency to overestimate or underestimate MIC values, particularly near critical breakpoints, and the extent to which they correlate with clinical outcomes [22,24,25,26,27]. Although the Infectious Diseases Society of America (IDSA) and CLSI recommend BMD with a sulbactam MIC breakpoint of ≤4 μg/mL [9,16], the clinical relevance of this threshold has not been rigorously validated in large, well-characterized prospective cohorts.
The variability in sulbactam MICs across different AST methods can lead to discordant susceptibility interpretations, potentially resulting in misclassification of resistant strains and the selection of suboptimal antimicrobial therapy [26,27,28,29]. Furthermore, there is a notable lack of studies directly correlating in vitro MIC values obtained by different AST methods with meaningful clinical outcomes, particularly in resource-limited settings where BMD is not routinely available. Previous investigations involving other difficult-to-treat pathogens, such as tigecycline-resistant A. baumannii, have revealed significant discrepancies and high error rates between E-test and BMD, raising concerns about the reliability of the E-test as a substitute for the reference method [26,30,31,32]. Similar findings have been reported for Acinetobacter spp., where E-test results may erroneously indicate resistance in strains found to be susceptible by BMD [33]. These gaps highlight the urgent need to validate AST methods using clinically relevant endpoints to ensure appropriate treatment selection and improved patient outcomes.
This secondary analysis of a randomized controlled trial comparing sulbactam doses of 9 g/day and 12 g/day in patients with CRAB pneumonia was conducted to evaluate the clinical relevance of sulbactam antimicrobial susceptibility testing. Specifically, the study aimed to examine how differences in MIC determination between E-test and BMD influence MIC distribution, method agreement, and their association with 28-day mortality. By integrating laboratory susceptibility data with clinical outcomes, this study seeks to clarify the role of AST methodology in guiding effective sulbactam therapy for CRAB pneumonia.

Objectives

This study aimed to evaluate the clinical relevance of sulbactam antimicrobial susceptibility testing in the treatment of CRAB pneumonia by examining the differences in MIC distributions and agreement between the E-test and broth microdilution methods, and by assessing how MIC values derived from each method are associated with 28-day mortality.

Materials and Methods

Study Design and Participants

This study is a secondary analysis of a randomized controlled trial conducted at Phramongkutklao Hospital, Bangkok, Thailand, between September 2019 and September 2023. The original trial compared two sulbactam dosing regimens (9 g/day versus 12 g/day) in combination with colistin for the treatment of CRAB pneumonia [21]. The first CRAB isolated from each patient was used for AST.

Collection of Isolates and Identification

Isolates were collected from sputum specimens and transported to the microbiology laboratory, Division of Microbiology, Department of Clinical Pathology, Phramongkutklao Hospital. Bacterial identification was performed using matrix-assisted laser desorption/ionization time-of-flight mass spectrometry (MALDI-TOF MS; Bruker Daltonics, Germany). CRAB was defined as A. baumannii exhibiting resistance to imipenem or meropenem, as determined by an automated broth microdilution system (Sensititre, Thermo Fisher Scientific, USA).

Procedures of Susceptible Testing

E-Test Method

Susceptibility testing using the E-test was performed according to the manufacturer’s instructions (Liofilchem, Italy). Bacterial suspensions were adjusted to a 0.5 McFarland turbidity standard and inoculated onto Mueller-Hinton agar plates. E-test strips with sulbactam concentration gradients (0.016–256 µg/mL) were applied and plates incubated at 37°C for 24 hours. MICs were read at the point where the inhibition ellipse intersected the strip’s scale.

Broth Microdilution Method

BMD testing was conducted using custom-prepared microdilution panels developed by the Department of Pharmaceutical Care, Faculty of Pharmacy, Silpakorn University. Sulbactam powder (SIAM Pharmaceutical) was diluted in cation adjusted Mueller-Hinton broth to final concentrations ranging from 4 to 512 µg/mL in 96-well microplates. Bacterial suspensions were standardized to 0.5 McFarland and inoculated into each well. Plates were incubated at 35°C for 24 hours. The MIC was defined as the lowest concentration at which no visible growth was observed.

Outcomes

The primary outcome was comparing the MIC distributions and categorical/essential agreement between E-test and BMD methods for sulbactam. The secondary outcomes were evaluating the association between MIC values obtained by each method and 28-day all-cause mortality in patients with CRAB pneumonia.

Statistical Analysis

For the primary outcome, we assessed the correlation and agreement between the E-test and BMD methods in determining sulbactam MICs. The performance of the E-test was evaluated by comparing its MIC results against the reference BMD method. For analytical purposes, any E-test MIC value that fell between twofold dilutions was rounded up to the next highest value (e.g., 24 μg/mL was recorded as 32 μg/mL).
The level of agreement was assessed using two criteria: categorical agreement (CA) and essential agreement (EA). CA was defined as the percentage of isolates (n=134) classified in the same susceptibility category by both methods. EA was defined as the percentage of isolates for which the E-test MIC was within ±1 twofold dilution of the BMD reference MIC. Following CLSI criteria, a method is deemed a reliable alternative if both CA and EA exceed 90%.
Acceptable performance thresholds were defined according to CLSI guidelines: CA and EA ≥90%. Errors were ranked as very major error (VME: false-susceptible) and major error (ME: false-resistance) by E-test. VME and ME of ≤1.5% and ≤3% were considered unacceptable, respectively.[34] The strength of the correlation between MIC values obtained by E-test and BMD was analyzed using Pearson’s correlation coefficient.
For the secondary outcome, we evaluated the association between MIC values derived from each method and 28-day mortality in patients with CRAB pneumonia. MIC values were analyzed both as continuous variables and by susceptibility categories (susceptible, intermediate, resistant). Survival analysis was performed using Kaplan–Meier estimates, and differences between groups were assessed using the log-rank test. Where appropriate, additional subgroup analyses were conducted by treatment arm (sulbactam 9 g/day vs. 12 g/day).
Descriptive statistics were used to summarize baseline clinical and microbiological characteristics. Continuous variables were presented as mean ± standard deviation (SD) or median with interquartile range (IQR). Categorical variables were reported as frequencies and percentages. A two-tailed P-value <0.05 was considered statistically significant.

Results

Minimum Inhibitory Concentration (MIC) Distributions

A total of 134 clinical isolates of CRAB were evaluated for sulbactam susceptibility using BMD methods as the reference method and compared with the E-test. The distribution of sulbactam MICs among CRAB isolates varied between the E-test and BMD methods. Using E-test, the majority of isolates exhibited high MIC values, with an MIC50 of 128 µg/mL and MIC90 of ≥256 µg/mL. Only 1.4% of isolates were categorized as susceptible (MICs ≤4 µg/mL) while 90.3% were classified as resistant (MICs ≥16 µg/mL). In contrast, the BMD method demonstrated a lower MIC distribution, with an MIC50 was of 32 µg/mL and MIC90 of 128 µg/mL. By this method, 6.0% of isolates were susceptible to sulbactam and 89.6% were resistant. Overall, the E-test tended to yield higher MIC values than BMD method, resulting in more isolates being classified as highly resistant.
Figure 1. Distribution of sulbactam MICs among CRAB isolates as determined by E-test and BMD methods.
Figure 1. Distribution of sulbactam MICs among CRAB isolates as determined by E-test and BMD methods.
Preprints 191118 g001

Correlation of Sulbactam MICs by E-Test and Broth Microdilution

A total of 134 clinical isolates of CRAB were evaluated for sulbactam susceptibility using BMD methods as the reference method and compared with the E-test. By the E-test, 22 isolates demonstrated identical MIC values to those obtained by BMD, while 43 isolates showed MICs within ±1 log₂ dilution. The remaining 69 isolates exhibited discrepancies of ±2 log₂ dilutions, with both higher and lower MICs observed by E-test compared with BMD. Overall, the E-test method achieved an EA of 49% across all tested isolates. Further analysis showed that when analysis only isolates with MIC ≤64, ≤32, and ≤16 μg/mL, E-test method showed increasing values EA of 55, 69, and 79 % compared with BMD, respectively (Table 1).
For the IDSA recommended susceptibility breakpoint of sulbactam with MIC ≤4 μg/mL, E-test method showed a CA of 95.5% (128/134) compared with BMD. The false-susceptible or VME rate in E-test was 0% (0/126), while false-resistant or ME rate was 75% (6/8), respectively (Figure 2).
Using the sulbactam with MIC ≤16 μg/mL, the E-test demonstrated a CA of 80% (107/134) compared with the BMD. Under this cutoff, very major errors (false-susceptible results) were observed in 18% (19/105) of isolates, while major errors (false-resistant results) occurred in 28% (8/29) (Figure 3).

Impact of Sulbactam Dose and MIC by BMD Method on 28-Day Mortality

To explore the association between sulbactam MIC, dosing regimens, and patient outcomes, we conducted Kaplan–Meier survival analyses stratified by sulbactam dose (9 g/day vs. 12 g/day) and MIC values determined by the BMD method. Survival probability was assessed over 28 days.
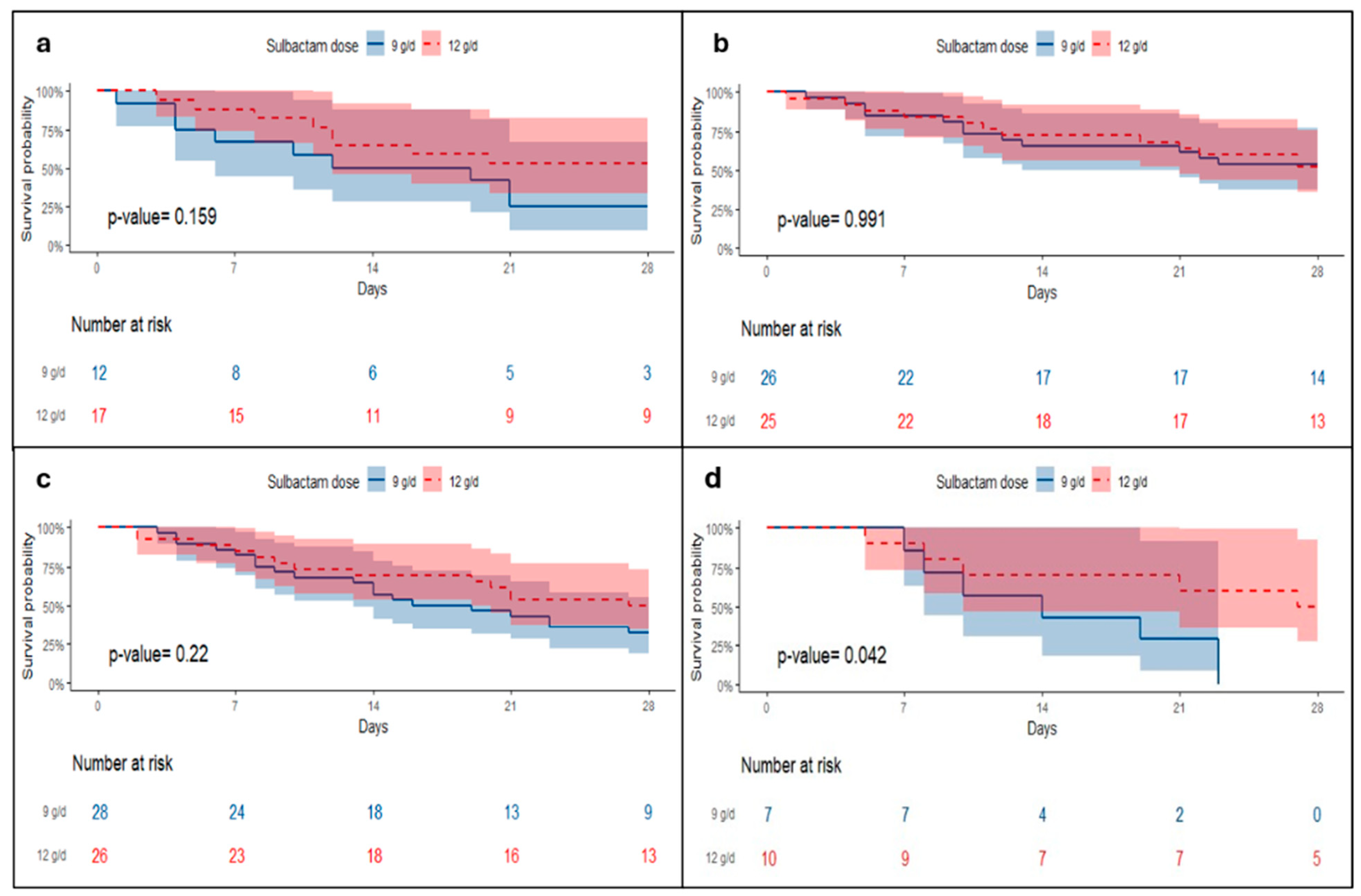
Among patients infected with CRAB isolates exhibiting sulbactam MIC <32 µg/mL, 32 µg/mL, or ≥64 µg/mL (Figures 4a–4c), no statistically significant difference in 28-day survival were observed between those receiving 12 g/day versus 9 g/day of sulbactam. In contrast, a significant survival benefit was observed in the subgroup with MIC ≥128 µg/mL (Figure 4d), where patients receiving 12 g/day had notably higher survival compared to those receiving 9 g/day (p = 0.042).
These findings suggest that high dose sulbactam (12 g/day) may confer a survival advantage in patients infected with CRAB isolates exhibiting high-level resistance (MIC ≥128 µg/mL), while no clear benefit was observed in lower MIC.

Subgroup Survival Analysis by MIC Levels

Subgroup analyses of 28-day mortality by sulbactam MIC values are shown in Figure 4. Although the overall hazard ratio (HR) favored 12 g/day over 9 g/day dosing (HR: 0.717; 95% CI: 0.452–1.137; p = 0.158), statistical significance was not reached.
Notably, among patients with sulbactam MIC ≥128 µg/mL determined by the BMD method, high-dose sulbactam (12 g/day) was associated with significantly lower 28-day mortality compared to 9 g/day (HR: 0.271; 95% CI: 0.077–0.956; p = 0.042). No significant differences in mortality were observed between dosing regimens across other MIC subgroups or in any MIC determined by the E-test method. (Figure 5)

Discussion

In this study, sulbactam MICs among Acinetobacter baumannii isolates tended to be high, especially when measured by the E-test. When MICs determined by broth microdilution (BMD) were compared with previous reports from other regions and time periods, we observed a shift toward higher MIC₉₀ values, increasing from 64 µg/mL in earlier studies [35,36] to 128 µg/mL in our cohort. This increase likely reflects ongoing antibiotic pressure, spread of resistant strains, and regional differences in antibiotic use. When the non-susceptibility cutoff of MIC ≥16 µg/mL was applied, as recommended by IDSA and CLSI [10,23], a large proportion of isolates were classified as resistant. This finding suggests that standard sulbactam dosing may be insufficient in settings where high MICs are common and highlights the need for continued local resistance surveillance[10,20].
Comparison of MIC testing methods showed limited agreement between E-test and BMD. Overall essential agreement was low (49%), and E-test generally produced higher MIC values than BMD, particularly at higher MIC levels. Almost half of the isolates differed by at least 2 log₂ dilutions. Agreement improved when only isolates with lower MICs were analyzed, reaching 55%, 69%, and 79% for MICs ≤64, ≤32, and ≤16 µg/mL, respectively, indicating better E-test performance at lower MIC ranges. At the IDSA-recommended breakpoint of MIC ≤4 µg/mL, E-test showed high categorical agreement with no false-susceptible results, but false-resistant results remained common. These differences are consistent with previous studies and are likely related to sulbactam instability and variable drug diffusion in agar-based testing [22,23,24,27,33,37,38].
The choice of MIC testing method had clear clinical implications. Overestimation of MICs by E-test may lead clinicians to avoid sulbactam and switch to alternative drugs that may be less effective, more toxic, or more expensive. Such misclassification can also affect antimicrobial stewardship efforts and distort local resistance data. On the other hand, underestimation of MICs could encourage use of ineffective treatment. In practice, selection of susceptibility testing methods should consider local MIC patterns and laboratory capacity. In settings where sulbactam MICs are generally low and BMD is not available, E-test may be used for initial assessment. However, in areas with a high frequency of elevated MICs, BMD should be preferred to ensure accurate MIC results and appropriate treatment decisions for CRAB infection [33].
When patient outcomes were analyzed, sulbactam MICs measured by BMD were clearly associated with 28-day mortality. Patients infected with isolates showing very high MICs (≥128 µg/mL) had better survival when treated with high-dose sulbactam (12 g/day) compared with standard dosing (9 g/day), suggesting a dose–response effect in this group [13,39]. In contrast, increasing the dose did not improve outcomes in patients with lower MIC isolates, indicating that higher doses may not be needed when sulbactam activity is relatively preserved. These findings suggest that high MIC thresholds may help identify patients most likely to benefit from high-dose therapy [10,13,19,20].
Overall, our findings support the use of MIC-guided therapy, in which dosing decisions are based on accurate MIC values rather than susceptibility categories alone. Precise MIC measurement is important for optimizing treatment, as unnecessary high-dose therapy may increase toxicity without improving outcomes in patients with lower MIC isolates. Although pharmacokinetic and pharmacodynamic data were not directly measured, our results are consistent with β-lactam principles, especially the importance of maintaining drug levels above the MIC for sufficient time (fT > MIC) to achieve optimal antibacterial activity [19,40].
This study is strengthened by its randomized controlled trial design and by the direct comparison of MICs obtained by BMD and E-test in the same patient cohort. Limitations include small sample sizes in some MIC groups, retrospective MIC testing without blinding, lack of pharmacokinetic data, and a single-center setting, which may limit generalizability. Despite these limitations, the consistent results across analyses support the reliability of our conclusions. Future multicenter studies that combine MIC data with pharmacokinetic/pharmacodynamic analysis are needed to refine MIC-guided dosing strategies and to reconsider sulbactam breakpoints for A. baumannii.

Conclusion

Sulbactam MICs among CRAB isolates differed by testing method, with E-test consistently overestimating MICs compared with BMD. Only BMD-derived MICs were associated with clinical outcomes, as high-dose sulbactam improved survival exclusively in patients with very high MICs (≥128 µg/mL). These findings underscore the importance of accurate MIC testing and support BMD as the preferred method for guiding sulbactam dosing and clinical decision-making in CRAB infections.

Author Contributions

The authors thank the nurses and healthcare staff of the Department of Medicine, Phramongkutklao Hospital, for their support with patient care and enrollment. We also appreciate the Division of Microbiology, Department of Pathology, Phramongkutklao Hospital, for bacterial isolation and routine antimicrobial testing. The Faculty of Pharmacy, Silpakorn University, is acknowledged for performing the reference MIC testing and assisting with standardized susceptibility assays using the broth microdilution (BMD) method.

Conflicts of Interest

The authors declare no conflicts of interest. The authors had full access to all study data and retained sole responsibility for the final content.

References

  1. Organization WH. WHO bacterial priority pathogens list, 2024: bacterial pathogens of public health importance, to guide research, development, and strategies to prevent and control antimicrobial resistance: World Health Organization; 2024.
  2. Prevention CfDCa. Antibiotic Resistance Threats report 2019 [Available from: https://www.cdc.gov/antimicrobial-resistance/data-research/threats/index.html.
  3. Herkel T, Uvizl R, Doubravska L, Adamus M, Gabrhelik T, Htoutou Sedlakova M, et al. Epidemiology of hospital-acquired pneumonia: Results of a Central European multicenter, prospective, observational study compared with data from the European region. Biomedical Papers of the Faculty of Medicine and Dentistry of Palacký University. 2016(3). [CrossRef]
  4. Teerawattanapong N, Panich P, Kulpokin D, Ranong SN, Kongpakwattana K, Saksinanon A, et al. A systematic review of the burden of multidrug-resistant healthcare-associated infections among intensive care unit patients in Southeast Asia: the rise of multidrug-resistant Acinetobacter baumannii. infection control & hospital epidemiology. 2018;39(5):525-33. [CrossRef]
  5. Wang M, Ge L, Chen L, Komarow L, Hanson B, Reyes J, et al. Clinical outcomes and bacterial characteristics of carbapenem-resistant Acinetobacter baumannii among patients from different global regions. Clinical infectious diseases. 2024;78(2):248-58.
  6. Bassetti M, Echols R, Matsunaga Y, Ariyasu M, Doi Y, Ferrer R, et al. Efficacy and safety of cefiderocol or best available therapy for the treatment of serious infections caused by carbapenem-resistant Gram-negative bacteria (CREDIBLE-CR): a randomised, open-label, multicentre, pathogen-focused, descriptive, phase 3 trial. The Lancet Infectious Diseases. 2021;21(2):226-40. [CrossRef]
  7. Durante-Mangoni E, Signoriello G, Andini R, Mattei A, De Cristoforo M, Murino P, et al. Colistin and rifampicin compared with colistin alone for the treatment of serious infections due to extensively drug-resistant Acinetobacter baumannii: a multicenter, randomized clinical trial. Clinical infectious diseases. 2013;57(3):349-58. [CrossRef]
  8. Rangel K, De-Simone SGJI, resistance d. Treatment and management of Acinetobacter pneumonia: lessons learned from recent world event. Infection and drug resistance. 2024:507-29.
  9. Marzella N, Kish T, Costinas C-S, Dima L, Nguyen TJAJoT. Sulbactam–Durlobactam for Carbapenem-Resistant Acinetobacter baumannii–calcoaceticus Complex Infections. American Journal of Therapeutics. 2025;32(2):e151-e8. [CrossRef]
  10. Tamma PD, Heil EL, Justo JA, Mathers AJ, Satlin MJ, Bonomo RAJCid. Infectious Diseases Society of America 2024 guidance on the treatment of antimicrobial-resistant gram-negative infections. Clinical infectious diseases. 2024:ciae403. [CrossRef]
  11. Papp-Wallace KM, Senkfor B, Gatta J, Chai W, Taracila MA, Shanmugasundaram V, et al. Early insights into the interactions of different β-lactam antibiotics and β-lactamase inhibitors against soluble forms of Acinetobacter baumannii PBP1a and Acinetobacter sp. PBP3. Antimicrobial agents and chemotherapy. 2012;56(11):5687-92. [CrossRef]
  12. Veeraraghavan B, Shin E, Bakthavatchalam YD, Manesh A, Dubey D, Tascini C, et al. A microbiological and structural analysis of the interplay between sulbactam/durlobactam and imipenem against penicillin-binding proteins (PBPs) of Acinetobacter spp. Antimicrobial Agents and Chemotherapy. 2025;69(4):e01627-24. [CrossRef]
  13. Chen H, Liu Q, Chen Z, Li CJJoI, Chemotherapy. Efficacy of sulbactam for the treatment of Acinetobacter baumannii complex infection: a systematic review and meta-analysis. Journal of Infection and Chemotherapy. 2017;23(5):278-85. [CrossRef]
  14. Liu J, Shu Y, Zhu F, Feng B, Zhang Z, Liu L, et al. Comparative efficacy and safety of combination therapy with high-dose sulbactam or colistin with additional antibacterial agents for multiple drug-resistant and extensively drug-resistant Acinetobacter baumannii infections: A systematic review and network meta-analysis. Journal of global antimicrobial resistance. 2021;24:136-47. [CrossRef]
  15. Wang J, Niu H, Wang R, Cai YJIJoAA. Safety and efficacy of colistin alone or in combination in adults with Acinetobacter baumannii infection: A systematic review and meta-analysis. International Journal of Antimicrobial Agents. 2019;53(4):383-400. [CrossRef]
  16. Institute CaLS. Performance Standard for Antimicrobial Susceptibility Testing Wayne, PA, USA2025 [35:[Available from: https://clsi.org/shop/standards/m100/.
  17. Thailand NIoHo. Antibiogram National Antimicrobial Resistant Surveillance Center2023 [Available from: https://narst.dmsc.moph.go.th/antibiogram.
  18. Betrosian AP, Frantzeskaki F, Xanthaki A, Georgiadis GJSjoid. High-dose ampicillin-sulbactam as an alternative treatment of late-onset VAP from multidrug-resistant Acinetobacter baumannii. Scandinavian journal of infectious diseases. 2007;39(1):38-43. [CrossRef]
  19. Jaruratanasirikul S, Nitchot W, Wongpoowarak W, Samaeng M, Nawakitrangsan MJEJoPS. Population pharmacokinetics and Monte Carlo simulations of sulbactam to optimize dosage regimens in patients with ventilator-associated pneumonia caused by Acinetobacter baumannii. European Journal of Pharmaceutical Sciences. 2019;136(European Journal of Pharmaceutical Sciences):104940. [CrossRef]
  20. Saelim W, Santimaleeworagun W, Thunyaharn S, Changpradub D, Juntanawiwat PJAPJoTB. Pharmacodynamic profiling of optimal sulbactam regimens against carbapenem-resistant Acinetobacter baumannii for critically ill patients. Asian Pacific Journal of Tropical Biomedicine. 2018;8(1):14-8. [CrossRef]
  21. Ungthammakhun C, Vasikasin V, Simsiriporn W, Juntanawiwat P, Changpradub DJIJoID. Effect of colistin combined with sulbactam: 9 g versus 12 g per day on mortality in the treatment of carbapenems resistant Acinetobacter baumannii pneumonia: A randomized controlled trial. International Journal of Infectious Diseases. 2024;149:107267. [CrossRef]
  22. Benkova M, Soukup O, Marek JJJoam. Antimicrobial susceptibility testing: currently used methods and devices and the near future in clinical practice. Journal of applied microbiology. 2020;129(4):806-22. [CrossRef]
  23. Testing ECoAS. Clinical Breakpoints and Dosing of Antibiotics 2025 [15:[Available from: https://www.eucast.org/fileadmin/src/media/PDFs/EUCAST_files/Breakpoint_tables/v_15.0_Breakpoint_Tables.pdf.
  24. Gajic I, Kabic J, Kekic D, Jovicevic M, Milenkovic M, Mitic Culafic D, et al. Antimicrobial susceptibility testing: a comprehensive review of currently used methods. Antibiotics. 2022;11(4):427. [CrossRef]
  25. Jones RN, Dudley MNJDm, disease i. Microbiologic and pharmacodynamic principals applied to the antimicrobial susceptibility testing of ampicillin/sulbactam: analysis of the correlations between in vitro test results and clinical response. Diagnostic microbiology and infectious disease. 1997;28(1):5-18.
  26. Liu JienWei LJ, Jang TsrangNeng JT, Cheng YuJen CY, Hsu GwoJong HG, Sun Wu SW, Lu ChinTe LC, et al. Comparison of the Etest and broth microdilution method for tigecycline susceptibility testing against clinical isolates of Acinetobacter baumannii from Taiwan. 2010.
  27. Swenson JM, Killgore GE, Tenover FCJJocm. Antimicrobial susceptibility testing of Acinetobacter spp. by NCCLS broth microdilution and disk diffusion methods. Journal of clinical microbiology. 2004;42(11):5102-8. [CrossRef]
  28. de Oliveira MS, Costa SF, de Pedri E, van der Heijden I, Levin ASSJC. The minimal inhibitory concentration for sulbactam was not associated with the outcome of infections caused by carbapenem-resistant Acinetobacter sp. treated with ampicillin/sulbactam. Clinics. 2013;68(4):569-73.
  29. Jiang L, Yin D, Song P, Tang C, Liu X, Hu FJEJoCM, et al. Evaluation of the in vitro activity of ampicillin-sulbactam and cefoperazone-sulbactam against A. Baumannii by the broth disk elution test. European Journal of Clinical Microbiology & Infectious Diseases. 2024;43(9):1711-9. [CrossRef]
  30. Casal M, Rodriguez F, Johnson B, Garduno E, Tubau F, de Lejarazu RO, et al. Influence of testing methodology on the tigecycline activity profile against presumably tigecycline-non-susceptible Acinetobacter spp. Journal of antimicrobial chemotherapy. 2009;64(1):69-72. [CrossRef]
  31. Huang Y-T, Kuo Y-W, Teng L-J, Liao C-H, Hsueh P-RJJogar. Comparison of Etest and broth microdilution for evaluating the susceptibility of Staphylococcus aureus and Streptococcus pneumoniae to ceftaroline and of carbapenem-resistant Enterobacterales and Pseudomonas aeruginosa to ceftazidime/avibactam. Journal of global antimicrobial resistance. 2021;26:301-7. [CrossRef]
  32. Karageorgopoulos DE, Kelesidis T, Kelesidis I, Falagas MEJJoAC. Tigecycline for the treatment of multidrug-resistant (including carbapenem-resistant) Acinetobacter infections: a review of the scientific evidence. Journal of Antimicrobial Chemotherapy. 2008;62(1):45-55. [CrossRef]
  33. Arroyo L, Garcia-Curiel A, Pachon-Ibanez M, Llanos A, Ruiz M, Pachon J, et al. Reliability of the E-test method for detection of colistin resistance in clinical isolates of Acinetobacter baumannii. Journal of clinical microbiology. 2005;43(2):903-5. [CrossRef]
  34. Institute CaLS. Verification of Commercial Microbial Identification and Antimicrobial susceptibility Testing systems M52 Wayne, PA, USA2015 [1:[Available from: https://cdn.bfldr.com/YLD4EVFU/at/pnc94wn9brb7bjv449w652j/m52_sample.pdf.
  35. Seifert H, Müller C, Stefanik D, Higgins PG, Miller A, Kresken MJJoAC. In vitro activity of sulbactam/durlobactam against global isolates of carbapenem-resistant Acinetobacter baumannii. Journal of Antimicrobial Chemotherapy. 2020;75(9):2616-21. [CrossRef]
  36. Wang L, Chen Y, Han R, Huang Z, Zhang X, Hu F, et al. Sulbactam enhances in vitro activity of β-lactam antibiotics against Acinetobacter baumannii. Infection and Drug Resistance. 2021:3971-7. [CrossRef]
  37. Diekema DJ, Lee K, Raney P, Herwaldt LA, Doern GV, Tenover FCJJocm. Accuracy and appropriateness of antimicrobial susceptibility test reporting for bacteria isolated from blood cultures. 2004;42(5):2258-60. [CrossRef]
  38. Kassim A, Omuse G, Premji Z, Revathi GJAocm, antimicrobials. Comparison of Clinical Laboratory Standards Institute and European Committee on Antimicrobial Susceptibility Testing guidelines for the interpretation of antibiotic susceptibility at a University teaching hospital in Nairobi, Kenya: a cross-sectional study. 2016;15(1):21. [CrossRef]
  39. Lenhard JR, Smith NM, Bulman ZP, Tao X, Thamlikitkul V, Shin BS, et al. High-dose ampicillin-sulbactam combinations combat polymyxin-resistant Acinetobacter baumannii in a hollow-fiber infection model. 2017;61(3):10.1128/aac. 01268-16. [CrossRef]
  40. Yokoyama Y, Matsumoto K, Ikawa K, Watanabe E, Shigemi A, Umezaki Y, et al. Pharmacokinetic/pharmacodynamic evaluation of sulbactam against Acinetobacter baumannii in in vitro and murine thigh and lung infection models. 2014;43(6):547-52. [CrossRef]
Figure 2. Scattergrams showing numbers of isolates (n = 134) with sulbactam minimal inhibitory concentration determined by agar dilution, E-test versus broth microdilution as a reference method. Solid lines represent the IDSA recommended susceptibility breakpoint of sulbactam with MIC ≤ 4 μg/mL. The diagonal boxes (light gray and dark gray) indicate categorical agreement and essential agreement.
Figure 2. Scattergrams showing numbers of isolates (n = 134) with sulbactam minimal inhibitory concentration determined by agar dilution, E-test versus broth microdilution as a reference method. Solid lines represent the IDSA recommended susceptibility breakpoint of sulbactam with MIC ≤ 4 μg/mL. The diagonal boxes (light gray and dark gray) indicate categorical agreement and essential agreement.
Preprints 191118 g002
Figure 3. Scattergrams showing numbers of isolates (n = 134) with sulbactam minimal inhibitory concentration determined by agar dilution, E-test versus broth microdilution as a reference method. Solid lines represent MIC of sulbactam with MIC ≤ 16 μg/mL. The diagonal boxes (light gray and dark gray) indicate categorical agreement and essential agreement.
Figure 3. Scattergrams showing numbers of isolates (n = 134) with sulbactam minimal inhibitory concentration determined by agar dilution, E-test versus broth microdilution as a reference method. Solid lines represent MIC of sulbactam with MIC ≤ 16 μg/mL. The diagonal boxes (light gray and dark gray) indicate categorical agreement and essential agreement.
Preprints 191118 g003
Figure 4. Kaplan–Meier survival curves for 28-day mortality among patients with CRAB pneumonia, stratified according to sulbactam MIC values (as determined by the BMD method) and treatment dosage. Survival outcomes are shown for: (a) MIC <32 µg/mL, (b) MIC 32 µg/mL, (c) MIC ≥64 µg/mL, and (d) MIC ≥128 µg/mL.
Figure 4. Kaplan–Meier survival curves for 28-day mortality among patients with CRAB pneumonia, stratified according to sulbactam MIC values (as determined by the BMD method) and treatment dosage. Survival outcomes are shown for: (a) MIC <32 µg/mL, (b) MIC 32 µg/mL, (c) MIC ≥64 µg/mL, and (d) MIC ≥128 µg/mL.
Preprints 191118 g004
Figure 5. Forest plot of subgroup analyses of 28-day mortality by sulbactam MIC values, determined using either the E-test or broth microdilution (BMD) method.
Figure 5. Forest plot of subgroup analyses of 28-day mortality by sulbactam MIC values, determined using either the E-test or broth microdilution (BMD) method.
Preprints 191118 g005
Table 1. Differences in log2 dilutions of sulbactam minimal inhibitory concentrations obtained by E test compared with broth microdilution (BMD).
Table 1. Differences in log2 dilutions of sulbactam minimal inhibitory concentrations obtained by E test compared with broth microdilution (BMD).
Sulbactam against tested isolates
by BMD
Method by E-test No. (%) of isolates showing essential agreement (EA)
No. (%) of isolates showing MIC difference (log2 dilution) of:
-1 0 +1 ≥ ±2
All tested isolates (n=134) 20 22 23 69 65 (49 %)
Only isolates with MIC ≤ 64 μg/mL (n=115) 18 22 23 52 63 (55 %)
Only isolates with MIC ≤ 32 μg/mL (n=78) 15 20 19 24 54 (69 %)
Only isolates with MIC ≤ 16 μg/mL (n=29) 0 12 11 6 23 (79 %)
Disclaimer/Publisher’s Note: The statements, opinions and data contained in all publications are solely those of the individual author(s) and contributor(s) and not of MDPI and/or the editor(s). MDPI and/or the editor(s) disclaim responsibility for any injury to people or property resulting from any ideas, methods, instructions or products referred to in the content.
Copyright: This open access article is published under a Creative Commons CC BY 4.0 license, which permit the free download, distribution, and reuse, provided that the author and preprint are cited in any reuse.
Prerpints.org logo

Preprints.org is a free preprint server supported by MDPI in Basel, Switzerland.

Subscribe

Disclaimer

Terms of Use

Privacy Policy

Privacy Settings

© 2026 MDPI (Basel, Switzerland) unless otherwise stated