Preprint
Article

This version is not peer-reviewed.

Detection of Temporal Changes in the Behavior of Older Adults Living Alone by Means of Continuous Data Collection in the Home

Submitted:

26 December 2025

Posted:

29 December 2025

You are already at the latest version

Abstract
Background: In Japan, the number of older adults living alone has been increasing, raising the risk of unnoticed health decline or solitary death. Continuous monitoring using sensors can help detect behavioral changes indicating health issues and has the potential to support both older adults and their families. Methods: We obtained behavior and temperature data, continuously recorded over a long period at 15-min intervals from sensors installed in the homes of nine older adults living alone. After data cleaning, behavioral signals were analyzed using Fourier spectral analysis and multiple regression to extract 13-dimensional behavioral characteristic vectors. We whitened a portion of these behavioral characteristic vectors as benchmark data. We applied the same whitening process to the comparing data using the matrix obtained during this whitening process. By analyzing misclassification rates using boundary variance for benchmark and comparing data, we attempted to detect temporal changes in user behavior and differences between individuals. Results: Spectral analysis revealed 24-hour periodicity in all users’ behavior. By analyzing the misclassification rate using boundary variance for long-term signals, we identified users who maintain consistent behavioral patterns and those exhibiting significant temporal variation. We were also able to detect differences in these behavioral patterns. Conclusions: This study demonstrates that long-term temporal changes in the daily behavior of older adults living alone can be detected using simple continuous sensor data. Our approach is applicable not only for monitoring behavior changes in older adults living alone, but also for observing behavior changes in people with disabilities and children within the home environment.
Keywords: 
;  ;  ;  ;  ;  ;  

1. Introduction

Japan leads the world in the pace of its aging population. The proportion of older adults living alone is increasing, and solitary deaths among them have increased by 34% from 20 years ago [1]. Similarly, aging populations are increasing in other countries, and the ability to watch over older adults living alone is crucial in giving them and their families peace of mind. Monitoring systems can detect both falls and reduced activity levels, which indicate declining health. In recent years, numerous monitoring systems for older adults based on information and communication technology and sensing technology have been deployed [2,3], and seasonal variations and periodicity in elderly behavior have already been identified [4,5]. Some studies have equipped older adults with wearable devices to detect and recognize activities of daily living [7]. Other studies have inferred activity patterns by monitoring the usage of lifelines such as gas and water.
The purpose of this study was to establish a new method for detecting temporal changes in the behavioral patterns of older adults living alone. Changes in behavioral patterns over time indicate that something has happened or is about to happen, for example, the onset of dementia or a stroke precursor. If we can capture such changes, we can consider responses such as taking them to a medical facility or arranging for them to live with someone before an incident occurs. Thus, this research has the potential to support the lives of older adults living alone and their families.
We analyzed long-term data collected from non-invasive movement and temperature sensors installed in the residences of older adults living alone. The results reveal that it is possible to capture temporal changes in the behavioral patterns of older adults from these data with our original methods.

2. Materials and Methods

2.1. Datasets Collection

We acquired data collected continuously by sensor devices manufactured by Japan Aito System Co., Ltd. (each housing unit contains two sensors) [8]. The devices were already in use in the homes of the 14 users who comprised the initial study population.
Pyroelectric Infrared(IR) Sensor: This detects human (or animal) movement within a range of 5 m and records the number of movements detected every 15 min. The sensors were installed only in households without pets (14 users). The sensor used in this study is a simple infrared sensor. When an object passes near the sensor, the infrared beam is blocked. The sensor merely counts the number of times this occurs. Therefore, it cannot recognize the details of human movement. Moreover, it cannot distinguish whether the cause of detection is a person, another animal, or an object. In this sense, the measurement accuracy is considered low. Furthermore, the sensor output used in this study is significantly influenced by the installation location, the house’s structure, and the person’s behavioral patterns. Consequently, the output values themselves cannot be compared with different individuals. Even for the same person, the output values can change significantly if the sleeping location changes, the house is remodeled, or the sensor location is altered. The continuous time data in this study were collected from individuals who had not experienced such changes. Furthermore, because the impact on subjects is limited to very brief exposure to infrared light, it is considered non-invasive.
Temperature Sensor: The indoor temperature in °C was recorded as the average over 15 min. The devices were installed in only one location—the living room, bedroom, kitchen, or other area most frequently visited by users. The devices automatically sent the data to a database server via the Internet every 15 min.
Note that the monitoring system from Aito System Co., Ltd., which generated the data used in this study, was already in actual use within households, independent of our study. In addition, this data was acquired through an extremely simple mechanism: only the number of sensor responses within a fixed time period and the average temperature within that same period were automatically transmitted. Therefore, the data contained some rough elements, such as missing values.

2.2. Datasets Cleaning

The sensor datasets contained only the measurement date, time, IR data, and temperature. To impute missing values, we performed the following processes.
  • The total number of complete datasets in 1 day (24 h) is 4 × 24 = 96. Therefore, we deleted days with fewer than or more than 96 datasets.
  • When datasets were deleted in step 1, we simply connected the data from the preceding and following days.
  • Including users with numerous deleted datasets in the analysis significantly lowers the analytical accuracy. Therefore, we excluded users with >10% deleted data.
This processing reduced the number of subjects from 14 to 9. Table 1 shows the basic attributes of the subjects and the data used for analysis, reflecting the processing described above.
As described later, this study analyzed changes in longer-term behavioral patterns rather than investigating moment-to-moment changes in behavior. Therefore, we considered minor daily changes unlikely to affect long-term patterns and excluded data containing missing values as described above. It is necessary to investigate the extent to which data loss can alter overall patterns.

2.3. Ethical Consideration

We received anonymized data from Aito in the form of CSV files. The sensor data were managed separately from users’ personal information and background details by Aito, and no personally identifiable information was included in the datasets provided to us. We had no direct contact with the users at any stage of the study. Minimal background information (age, gender, family composition, care level, residential style, and comorbidity) was provided by Aito separately from the sensor data.
At the time of sensor device installation, Aito explained to users that the collected data might be provided to third parties for research purposes, and opt-in consent was obtained from each user.
Given that the data analyzed in this study were fully anonymized, collected independently of this study, and involved no intervention or interaction with human subjects, this study was determined to be exempt from institutional review board (IRB) approval.

2.4. Analytical Methods

2.4.1. Preparatory Analysis

The objective of this study is to investigate changes in behavioral patterns observable over a reasonably long period, rather than changes in individual, minute-to-minute behaviors. To this end, as a preliminary step, we investigated whether the behavior exhibited periodicity.

2.4.1.1. Long-term Temporal Changes in Behavior

To investigate what could be revealed from the raw sensor data, we examined long-term temporal changes in behavior. We used the number of responses per 15 min (the "signal") from the IR sensor. We calculated the daily average values of both the signal and the temperature sensor measurements and presented them in a time series.

2.4.1.2. Spectral Analysis of All Signals

We analyzed the periodicity of behavior by data processing and spectral analysis of all signals per user. Spectral analysis was performed using the Fast Fourier Transform (FFT). Consequently, the data size had to be 2 N (N is a natural number). First, the initial 2 N data points (where N is the largest natural number such that 2 N < total data count) were extracted from each signal data set. Next, for each data x k ( k = 1 , 2 , , 2 N ) , set new data x k = x k μ , where μ is the mean of the entire data set. This set the constant of the Fourier series to 0. Subsequently, a Fast Fourier Transform (FFT) was executed on x k to obtain the power spectrum (spectral density) and autocorrelation function [9]. Hereafter, x k is denoted as y k .

2.4.2. Main Analysis

2.4.2.1. Analysis of Behavioral Characteristics and Temporal Changes

The long-term spectral analysis of the signal data in section 2.4.1 revealed a 24-h cycle in each signal [Result 1 and 2]. To identify behavioral characteristics and temporal changes in them, we created "characteristic vectors" and "benchmark data" using the signal data as described next.

Characteristic Vector 

To investigate data with a 24-h (daily) cycle, we segmented the signal data into 11-day intervals, as detecting a cycle requires an observation period of at least five times the target cycle length [10]. Furthermore, this study applied FFT for Fourier analysis. In FFT, the data size must be 2 N . The data collected here comprised 96 data points per day. Thus, 5 days yielded 480 points, but 2 8 = 256 and 2 9 = 512 , making FFT inefficient. Ten days produced 960 points, and eleven days yielded 1056 points. 2 10 = 1024 . Therefore, using 11 days of data is the most efficient approach for performing FFT.
In this study, we segmented the data into 11 day intervals. For each data segment (data group), we calculated the following.
The spectrum of a periodic function with period T has peaks at frequencies k / T ( k = 1 , 2 , 3 , ) . In the overall spectrum in Section 2.4.1.2, the spectral peak at frequencies of 0.5 ( 12 / 24 ) (corresponding to k = 12 ) was small. So, we assumed prediction Equation (1) for the original dataset y j ( j = 1 , 2 , , 1056 = x j ) using trigonometric functions of these 12 frequencies.
y j = β 0 + k = 1 12 α k sin 2 π T k t j + β k cos 2 π T k t j , T = 24
We conducted multiple regression analysis using Equation (1) for each dataset, calculating the coefficients α k , β k , and the adjusted coefficient of determination R squared (hereafter, R 2 ). Then, from the obtained α k , β k , we calculated 12 spectra p k = α k 2 + β k 2 k = 1 , 2 , , 12 .
These spectra characterize the periodicity of the signal. We combined these 12 spectra with the R 2 values from the regression analysis to form a 13-dimensional column vector d = ( p 1 , p 2 , , p 13 ( = R 2 ) ) t r (where t r denotes the transpose matrix). We designated this as the characteristic vector d for the respective dataset.
Generally, the R 2 in multiple regression analysis is considered to indicate the degree to which the results of the equation explain the variance of the dependent variable. Here, let " s i g " represent the integral value around the 12 periodic peaks in the signal spectrum. Let " b a s e " represent the integral value of the entire spectrum. Call the ratio of s i g to b a s e ( s i g / b a s e ) " P I ". P I and R 2 have a strong positive correlation [refer to Appendix A].
That is, a large R 2 indicates that spectral components other than the 12 peaks are small. This indicates that a large R 2 value signifies strong periodicity in the signal. Thus, we included R 2 in the characteristic vector as an indicator of the strength of periodicity in the signal. Furthermore, R 2 was used independently of d as an indicator of the strength of periodicity in the signal.

Benchmark Data 

We selected 20 consecutive vectors as benchmark data from the set of characteristic vectors. Benchmark data is a dataset used as a basis for comparison. Specifically, the mean value of the characteristic vectors within the benchmark data is compared with other characteristic vectors.
In this study, the number of characteristic vectors in the benchmark data was set to 20, though there is no clear reason for this specific number. Twenty vectors correspond to 220 days, or approximately 7 months. The objective of this study is not to explore minute daily changes in behavior, but rather to investigate stable patterns over the long term. Therefore, a reasonably long period is necessary. It is unclear whether seven months is truly the optimal period, but such a duration may also eliminate the influence of seasonal changes in behavior. For these reasons, 220 days were chosen. However, it will be necessary to investigate whether shorter periods are feasible in the future.
The choice of benchmark data was based on the purpose of comparison. For example, when the purpose was to investigate a user’s temporal variation, we selected 20 characteristic vectors as "benchmark data" from the first 220 days of that user’s signal data. We compared the benchmark data with other characteristic vectors. The relationship between the characteristic vectors and the benchmark data is shown in Figure 1.
To eliminate differences in scale and correlations between vector components when comparing the benchmark data with other characteristic vectors, we whitened the benchmark data and transformed the characteristic vectors other than the benchmark data.

Whitening of Benchmark Data 

Each component of the characteristic vector d follows an approximately normal distribution within each user’s data [Appendix B]. Then, we conducted the following whitening processing (decorrelation and normalization of each component data) on the benchmark data [11,12].
Data Decorrelation: Let the 20 characteristic vectors in the benchmark data be d j s = p 1 j s , p 2 j s , , p 13 j s t r j = 1 , 2 , , 20 . The mean vector of d j s was defined as m s , the variance vector as v s , and the covariance σ i j s between i and j as follows.
m s = m 1 s , m 2 s , , m 13 s T = m k s T = 1 20 j = 1 20 p k j s tr
v s = v k s T = 1 20 j = 1 20 ( p k j s m k s ) 2 tr
σ i j s = 1 20 l = 1 20 ( p i l s m i s ) ( p j l s m j s )
Using these, the following covariance matrix Σ was created.
Σ = σ i j s = σ 1 1 s σ 1 13 s σ 13 1 s σ 13 13 s i = j : variance i j : covariance
This is a symmetric matrix. Therefore, we find the eigenvalues λ k ( k = 1 , 2 , , 13 ) of Σ and the corresponding eigenvectors x k of length 1, defining the matrix S as follows:
S = x 1 x 2 x 12 x 13 = x 1 1 x 13 1 x 1 13 x 13 13
Then:
S 1 Σ S = λ 1 0 0 λ 13
Applying a linear transformation to the vector d j S using the transpose matrix S T of matrix S causes the transformed data to become uncorrelated. That is:
δ j = S T d j s = S T p 1 j s p 13 j s ( j = 1 , , 20 )
At this point, data of different components of δ j become uncorrelated.
Data Standardization: Find the mean μ and variance σ 2 for each component of δ j :
μ = ( μ 1 , μ 2 , , μ 13 ) t r
σ 2 = ( σ 1 2 , σ 2 2 , , σ 13 2 ) t r
where:
μ j = 1 20 ( δ 1 j + δ 2 j + + δ 20 j )
σ j 2 = 1 20 k = 1 20 ( δ k j μ j ) 2
Standardize δ j using this mean μ and variance σ 2 :
δ i j ¯ = δ i j μ i σ i 2 = δ i j μ i σ i
This makes each vector component follow a standard normal distribution with mean 0 and variance 1.

Transformation of Non-Benchmark Data (Correspondence Transformation) 

For data other than the benchmark data, each characteristic vector was transformed using the matrix S obtained in the whitening process of the benchmark data and then standardized using the mean μ and variance σ 2 derived from the benchmark data.
Specifically, the following was performed on the target characteristic vector d j a to create a characteristic vector in comparison with the benchmark data.
δ j a = S T d j a = S T d 1 j a d 13 j a ( j = 1 , , 20 )
δ i j a ¯ = δ i j a μ i σ i 2 = δ i j a μ i σ i
This process is referred to as the "correspondence transformation" applied to the characteristic vector. Unless otherwise specified, the benchmark data undergo whitening, and other characteristic vectors undergo the correspondence transformation.

Comparing Two Data Sets 

The means of all components of the characteristic vector for the whitened benchmark data are 0, and their variances are 1. We introduce boundary variance V as a criterion for recognizing the difference between the set of characteristic vectors containing this whitened benchmark data ("SA") and the set of characteristic vectors that have undergone correspondence transformation without the benchmark data ("SB").
Defining the boundary variance as V, if all maximum values of all components of a characteristic vector are less than or equal to V, then that vector is judged to belong to SA. If the maximum value of any single component of a characteristic vector exceeds V, that vector is judged not to belong to SA (i.e., belong to SB) (Figure 2).
Here, two types of misclassifications can occur. One is when one of the maximum value of the characteristic vector components taken from SA is > V . In this case, the data are judged not to be SA (but to be SB). This is a misclassification where data that is from SA is judged as SB. The other is when the maximum value of all components of the characteristic vector taken from SB is V . In this case, it is a misclassification, where data from SB are judged as SA. Therefore, we define the false error rates for these data sets as the following two types [13,14].
FRR (False Reject Rate):
The proportion of data included in SA that is judged as belonging to SB, defined as (the number of characteristic vectors in SA where the maximum value of components > V ) ÷ (the total number of characteristic vectors in SA).
FAR (False Accept Rate):
The proportion of data belonging to set SB that is incorrectly judged as belonging to SA, defined as (the number of characteristic vectors in SB where all maximum value of components V ) ÷ (the total number of characteristic vectors in SB).

3. Results

3.1. Result 1: Temporal Change in Activity

Figure 3 shows the temporal change in activity (average daily signal count) of User C. The change in signal over time showed decreased activity during summer, when room temperature rose and increased activity during the winter. This pattern was common among all 9 users, though the magnitude of the signal differed.

3.2. Result 2: Signal Spectral Analysis

User C’s data acquisition period was the longest (Table 1). Thus, we report the analysis results for User C’s signal spectrum (Figure 4). Results were similar for others.
Figure 4 shows relatively large, sharp peaks at T / 1 , T / 2 , T / 3 , T / 4 , representing the T = 24 period. These large peaks all correspond to integer divisions of a 24-h (1-day) period. This confirms that the signal data exhibits a primary 24-h cycle. Beyond a period of T / 12 or a frequency of 12 / T = 0.5 ( 1 / h ) , these peaks diminish and become indistinguishable from other peaks not related to the 24-h cycle.
Several peaks indicate cycles other than 24-h. These peaks were < 10 % of the size of the 24-h peak. Among them, the main ones were T = 341 days (likely corresponding to yearly) and T = 7 days (weekly). All had small peak values and were ignored in subsequent analyses.

3.3. Result 3: Analysis of Behavioral Characteristics and Temporal Changes

The primary issue in this study is whether the analysis can identify each user’s behavioral patterns (definable as a consistent signal pattern persisting over a fixed period).
First, we investigated whether there is a fixed pattern that persists for a certain period in the signal. If such a signal pattern continues for a certain duration, then there is likely a fixed behavioral pattern present. We used the first 20 characteristic vectors as benchmark data. We whitened the benchmark data, and for the other characteristic vectors, we conducted corresponding transformations. Figure 5 shows the time-series plots of the maximum value of each user’s characteristic vector components (" M C V ") and the change in R 2 .
The M C V of all users remained around 2 between times 0 and 20 u . After 20 u , it exceeded this and fluctuated uniquely among users. In particular, the M C V of users C, E, F, H, and I fluctuated stably around 5 (hereafter called "stable group" SG), and a consistent pattern appeared to persist. Conversely, other users had large M C V fluctuations (A, B, D, G; "fluctuating group": FG). M C V variation over time fluctuated greatly, and their behavior did not appear to follow a consistent pattern.
Regarding R 2 , it remained above 0.4 for Users A, B, C, and G, while other users were around 0.2. R 2 is an indicator of periodicity, with R 2 = 0.6 signifying that the signal exhibits nearly periodic fluctuations [Appendix A]. R 2 = 0.2 indicates a state of very low periodicity. As a result, R 2 showed a different trend compared to M C V .

3.4. Result 4: Recognition of Differences in Behavioral Patterns

Result 3 reveals that the maximum values of the characteristic vector components of some users varied little, suggesting that these users maintain consistent behavioral patterns.
So we investigated whether our method could identify differences in these behavioral patterns. To do so, we selected data where patterns are presumed to differ. It is reasonable to assume that different users have different behavioral patterns. Therefore, we investigated whether the analysis could distinguish differences in behavioral patterns between users in SG with low variation in M C V s. We denoted the set of characteristic vectors of one user as SA and that of another user as SB. One of the 20 consecutive characteristic vectors in set SA was selected as the benchmark data, which was then whitened and standardized. Using the boundary variance described in section 2.4.2.2, we conducted the classification between SA and SB and measured the F R R and F A R misclassification rates.
Figure 6 illustrates how the misclassification rates between each user and other users when the boundary variance is varied.
Among the users selected in this study, classification was generally possible with boundary variance V values between 4 and 6. This is the boundary variance that minimizes the total misclassification rate of SA and SB (i.e., the sum of SA’s F R R and SB’s F A R ). The average boundary variance where F R R + F A R was minimized was 5.75, and a false recognition rate ( F R R + F A R ) was 0.35 at that point. The fact that user classification is possible using boundary variance values indicates a high potential for recognizing changes in behavioral patterns using our method.

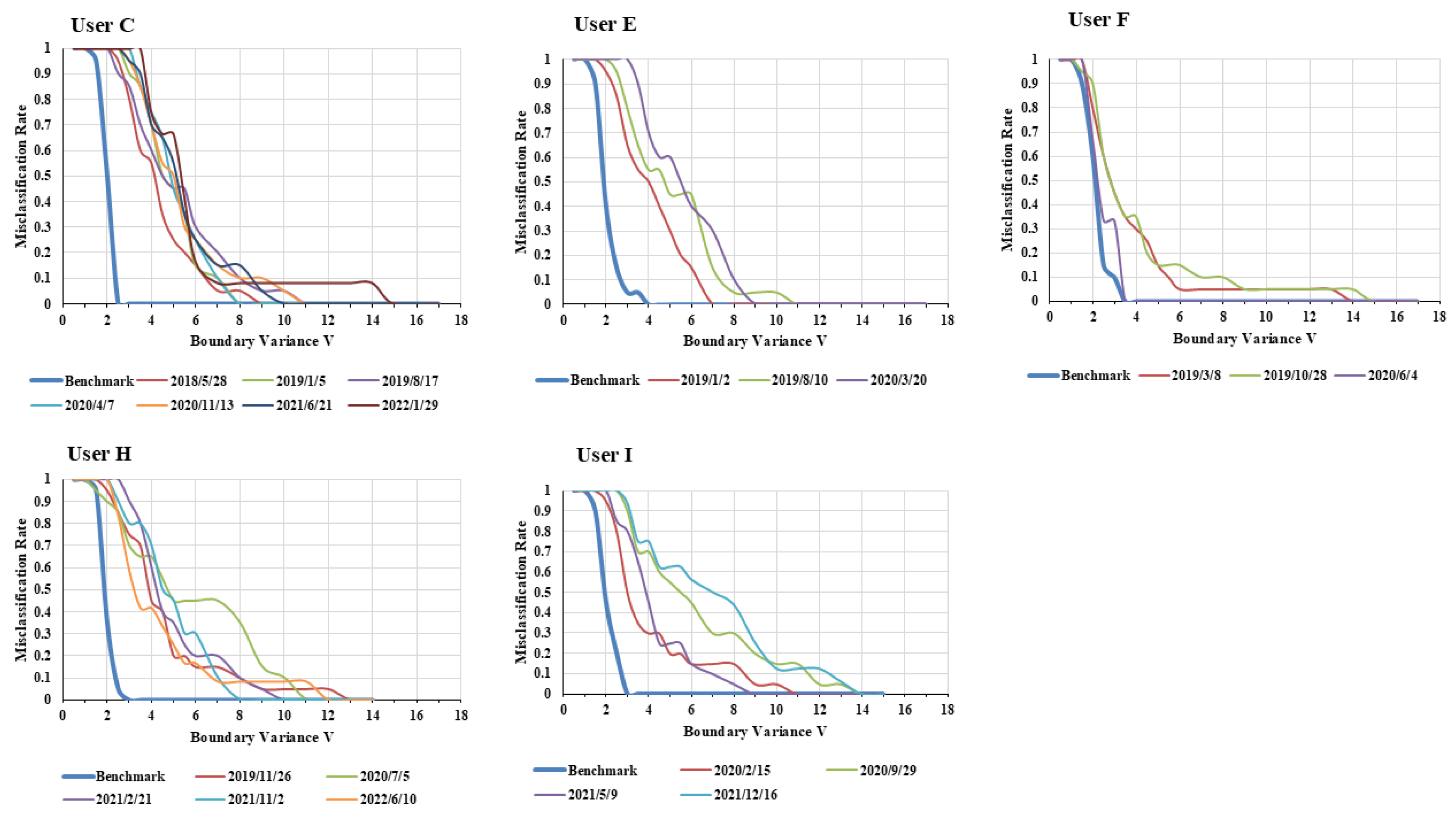
3.5. Result 5: Temporal Changes in Behavioral Patterns

Result 4 showed that the boundary variance V for identification is between 4 and 6. This corresponds to the maximum value of the characteristic vector components in the users in Result 4 being around 5. This indicates that as long as the maximum vector component values are concentrated around 5.0, the user’s behavior pattern has not changed. We investigated this point in more detail for each user. In Result 3, the time series patterns were intuitively divided into SG and FG. However, since the M C V time series for SG was within 5 and that for FG exceeded 5, the classification in Result 3 can be said to have a basis.
To examine the extent of changes over time for each user, the following analysis was conducted. First, we define groups of 20 characteristic vectors arranged in the user’s time series as analytical data. The first analytical data within this group is designated as the benchmark data. That is, the time series is grouped every 20 u (220 days), and comparisons were made between 20 u data. We whitened the benchmark data and conducted a correspondence transformation on the characteristic vectors within the analytical data. We plotted the F R R for each user’s benchmark data and for each analytical data by time. Specifically, for the benchmark data and each analytical data, we calculated the rate of characteristic vectors whose maximum component value exceeded V.
Figure 7 shows the F R R for the five users in the SG group, which exhibited low M C V variation, and Figure 8 shows the F R R for the four users in the FG group, which exhibited high M C V variation. In each figure, the horizontal axis represents the boundary variance V, and the vertical axis represents the misclassification rate ( F R R ) of the benchmark data and of each other time point’s analytical data. In both figures, the greater the deviation of the F R R in the analysis data from the F R R in the benchmark data, the larger the change in the behavioral pattern at that point in time.
Figure 8 clearly shows greater spread from the line of benchmark data than Figure 7. In Figure 7, the F R R spreads from 8 to 10 for boundary variance V, peaking at 16, with no significant overtime spread. In contrast, in Figure 8, the F R R for all users except User A exceeded 16, and a significant expansion of the F R R over time was evident. This indicates that users in Figure 8 showed greater changes in their behavioral patterns over time than those in Figure 7.
Therefore, it can be concluded that behavioral changes occur when the F R R expands to 10 or higher. According to this criterion, the behavior of the FG (User A, B, D, G) changed over time, as predicted in Result 3.
Note that we had no detailed information on individual clinical aspects and home environments of the users in this study, so little can be inferred from differences in behavioral patterns among them. However, within the scope of available information, we will discuss the relationship between the temporal changes in behavior observed in the FG and the clinical and home-related information.
The M C V of User A increased toward the end of the data collection period (Figure 5). As we later learned that A had moved from living alone into a care home, the change in behavior suggests that a behavioral abnormality may have occurred before admission. User B showed a major change in behavioral patterns around 30 u (30 × 11 = 330 days). The reason is unknown, but since User B continued living alone even after this change, it may not have been a long-term problem. The maximum M C V value of User D increased significantly around 50 u (550 days). User D is known to have dementia and depression. It is possible that her cognitive function changed around this time. User G showed significant fluctuations immediately after the benchmark data period ( 20 u ), and this state persisted. User G has a medical history of Hypertension, Rheumatism, and MCI (Mild Cognitive Impairment). For instance, it is possible that User G developed MCI with behavioral changes after the benchmark data period, and this condition continued until the end.
The relationship between the M C V changes described above and the clinical features is merely speculative. It should be noted that this is not, by any means, a scientific inference based on clinical data. To investigate the relationship between M C V and clinical features, data containing more clinical information is necessary, which we consider a future issue for our study methods.

4. Discussion

The purpose of this paper was to capture temporal changes in the behavior of elderly individuals using a monitoring system. The data used was continuous behavioral data acquired in natural settings.
Time-series analysis of the raw data revealed seasonal changes in signal and patterns (decreased activity in summer, increased activity in winter). Cepeda et al. (2018) investigated activity levels by having 3,507 participants wear accelerometers and found the opposite: physical activity levels were higher in summer than in winter [5], as found in other studies too [16,17]. Several factors may explain why our results show the opposite: we focused on older adults living alone; Japanese summers are hot and humid; and data collection methods differed. More work is needed to clarify the differences.
Spectral analysis of the signal data indicates a 24-hour cycle in the signal, i.e., activity levels. The presence of a 24-hour cycle (circadian rhythm) in human activity has already been demonstrated in numerous previous studies [18,19].
To investigate whether temporal variations in behavior could be detected from signal data, we conducted multiple regression analysis using predictive models. The 12 calculated spectral components (behavioral features) and the adjusted R 2 (an indicator of periodicity) were combined and used as a behavioral characteristic vector. This revealed that the characteristic vectors could distinguish between users. This means that the behavioral characteristics of each user can be extracted. If we can demonstrate differences in characteristic vectors of a user over time, we can detect temporal variations in that user’s behavioral patterns.
As a result, the temporal change in behavior differed between users, dividing them into two groups. One group, SG, showed small changes and stability, while the other group, FG, exhibited significant fluctuations starting at a certain point. We demonstrated that for users belonging to the SG, we could classify characteristics of behavioral patterns distinct from those of other users. Moreover, in the FG, we were able to distinguish differences in behavioral patterns over time within the same user, that is, the temporal change in behavior.
Therefore, the analysis method presented in this paper successfully captured the differences in behavioral characteristics and temporal changes among elderly individuals living alone, even when using large amounts of continuous signal data obtained from a simple system.
Numerous studies have been conducted on developing systems to monitor the behavior of older adults using data acquired from sensors or on tracking their activities [6,7]. Ioan et al. (2019) installed sensors in all rooms occupied by older adult subjects, mapped their response frequencies, and used image recognition techniques to investigate deviations and tendencies toward deviation from their daily activity routines [20]. Dorsaf Z. et al. (2020) proposed a framework for detecting changes in the daily activities of older adults. They stated that using this framework enables the detection not only of sudden changes, such as falls or temporary illnesses, but also of "silent changes" occurring over long periods [21]. This focus on detecting "silent changes" is similar to our objective. However, they collected data labeled by multiple sensors in a smart home—such as sleep, meals, outings, and toilet use—as signal data, and used a normal behavior model based on data collected over only 1 month, unlike our study [21].
Ohta S. et al. (2002) installed sensors in six rooms of a house and conducted an activity monitoring study using infrared sensors for a total of 80 months (maximum 20 months) with eight older adults [22]. This study attempted to estimate health status by comparing dwell times in specific rooms (e.g., toilet) with records. However, it differs from our study in its sensor complexity and its use of dynamic programming (DP) matching to distinguish between normal and abnormal activity.
Serge H. et al. (2009) attempted to classify the activities of daily living (ADL) of older adults with a history of stroke using electromyography (EMG) and accelerometers [23]. They reported that the classification method achieved sensitivity and specificity of over 95%. However, they noted that it remains unclear whether this method would function effectively on data collected from unrestricted daily activities outside of an experimental setting [23].
This study has novelty in that it uses data naturally obtained from the daily lives of older adults living alone, rather than experimental data, as had been a concern by Serge H. et al. (2009) [23]. Also, significant importance lies in the fact that behavioral characteristics and temporal change can be detected from the very simple continuous data used in this study. That is, the simple signal data analysis method we presented has the potential to lead to a wide range of support applications. In this study, infrared sensors were used, but our analytical method developed here is independent of the sensor’s mechanism. If time-series data related to behavior can be obtained, the analytical method used in this study should be applicable. Moreover, the sensors do not require high precision. This demonstrates that behavioral analysis is possible even with simple, low-cost sensors. This includes not only monitoring changes in the activities of older adults living alone but also observing changes in the activities of people with behavioral disorders living at home and children.
In the future, we need to conduct the verification of the temporal change in behavioral patterns detected in this analysis with the medical time-series progression information regarding the users. While we were able to detect behavioral characteristics and temporal change in this study, we could not detect characteristics inherent in the data, such as signs of stroke or dementia. Detecting these inherent characteristics could lead to support for older adults living alone and their families.

Author Contributions

Conceptualization, M.H. and Y.T.; methodology, Y.T. and M.H.; software, Y.T.; investigation and analysis M.H. and Y.T.; validation, Y.T.; data curation, M.H.; writing—original draft preparation, M.H. and Y.T.; writing—review and editing, Y.T. and M.H.; visualization, M.H. and Y.T.; All authors have read and agreed to the published version of the manuscript.

Funding

This research received no external funding.

Institutional Review Board Statement

Not applicable.

Informed Consent Statement

Not applicable.

Data Availability Statement

Restrictions apply to the availability of these data. Data were obtained from Aito System Co., Ltd. and are available from the authors with the permission of Aito System Co., Ltd..

Acknowledgments

The authors would like to express their sincere gratitude to Aito System Co., Ltd. for kindly providing the data used in this study. The authors also wish to extend their heartfelt appreciation to Dr. Takashi Tahara for his valuable advice regarding the structure, data analysis methods, and discussion of this manuscript.

Conflicts of Interest

The authors declare no conflicts of interest.

Abbreviations

The following abbreviations are used in this manuscript:
NC Not Care Needed
LA Living Alone
WF With Family
MCI Mild Cognitive Impairment
FFT Fast Fourier Transform
R2 R squared
PI Periodicity Indicator
FRR False Reject Rate
FAR False Accept Rate
MCV Maximum value of each user’s Characteristic Vector
SG Stable Group
FG Fluctuation Group

Appendix A. Relationship Between Periodicity Indicators and R2

As shown in Methods 2.4.3. of the main text, the spectrum of the signal data peaks at frequencies n / t ( n = 1 , 2 , 3 , , 12 T = 24 ) . Therefore, as a periodicity indicator, we calculated the ratio of the integral of the spectrum within 0.01 ( 1 / h ) before and after this peak frequency to the integral of the background spectrum. Let S f be the spectrum and f be the frequency ( 1 / h ) .
s i g = k = 1 12 k T 0.01 k T + 0.01 S ( f ) d f , b a s e = 0.01 0.5 + 0.01 S ( f ) d f
We define the periodicity indicator P I (Periodicity Indicator) as:
P I = s i g b a s e
When S ( f ) has a peak only at n / T and is 0 elsewhere, P I 1 . Furthermore, when S ( f ) is white noise:
s i g = k = 1 12 k T 0.005 k T + 0.005 1 d f = 0.01 × 12 = 0.12
b a s e = 0.01 0.5 + 0.005 1 d f = 0.495
Therefore:
s i g b a s e = 0.12 0.495 = 0.2424
From the above, 0.24 P I 1.0 . As periodicity strengthens, P I approaches 1.0, allowing periodicity to be determined by the P I value. The results of correlating this P I and R 2 using the signal data are shown in Figure A1.
The relationship between P I and R 2 is shown by the regression line P I = 0.24 + 0.80 × R 2 , where P I = 1.0 corresponds to R 2 = 0.95 . That is, the range of R 2 is 0 to 0.95. Therefore, since P I and R 2 are strongly correlated, we can use R 2 as a substitute for P I .
Figure A1. Correlation between R 2 and P I .
Figure A1. Correlation between R 2 and P I .
Preprints 190741 g0a1

Appendix B. Test for Normality

For each component of the 20 feature vectors of each analysis dataset, we examined whether its distribution was non-normal by means of the Kolmogorov–Smirnov test. We concluded that the components of the feature vector for all analysis datasets appear normal (the probability of error in claiming a non-normal distribution is > 0.1 ).
The raw data for this analysis consisted of 96-dimensional vectors of signal data. None of the components of these vectors followed a normal distribution. Consequently, analytical methods such as whitening could not be applied when using these components directly. One reason for using the periodic components extracted via Fourier analysis that they followed a normal distribution.

References

  1. Nomura, M.; McLean, S.; Miyamori, D.; Kakiuchi, Y.; Ikegaya, H. Isolation and unnatural death of elderly people in the aging Japanese society. Science & Justice 2016, 56(2), 80–83. [Google Scholar] [CrossRef] [PubMed]
  2. Casanova-Perez, R. A.; Padilla-Huamaninco, P. G.; Freitas-Vidal, C. I. D.; Choi, Y. K. Home Behavior Monitoring Module in OpenEMR: Use of home sensors as Patient-Generated Data (PGD) for elderly care. Journal AMIA Annu Symp Proc. 2018, 2279–2283. [Google Scholar]
  3. Pol, M.; van Nes, F.; van Hartingsveldt, M.; Buurman, B.; de Rooij, S.; Kröse, B. Older People’s Perspectives Regarding the Use of Sensor Monitoring in Their Home. Journal Gerontologist 2016, 56(3), 485–493. [Google Scholar] [CrossRef] [PubMed]
  4. Sayegh, S.; Van Der Walt, M.; Al-Kuwari, M. G. One-year assessment of physical activity level in adult Qatari females: a pedometer-based longitudinal study. Journal Int J Womens Health 2016, 8, 287–293. [Google Scholar] [CrossRef] [PubMed]
  5. Cepeda, M.; Koolhaas, C. M.; van Rooij, F. J. A.; Tiemeier, H.; Guxens, M.; Franco, O. H.; Schoufour, J. D. Seasonality of physical activity, sedentary behavior, and sleep in a middle-aged and elderly population: The Rotterdam study. Maturitas 2018, 110, 41–50. [Google Scholar] [CrossRef] [PubMed]
  6. Mathunjwa, B. M.; Chen, Y.-F.; Tsai, T.-C.; Hsu, Y.-L. A Lifestyle Monitoring System for Older Adults Living Independently Using Low-Resolution Smart Meter Data. Sensors 2024, 24(11), 3662. [Google Scholar] [CrossRef] [PubMed]
  7. Koketsu, T.; Ohno, Y.; Ishihara, T.; Nishimoto, Y.; Kobayashi, K. Monitoring Living Activities of the Elderly Living Alone Using a Lifeline. Japanese Journal of Applied IT 2018, 3(2), 12–19. [Google Scholar]
  8. Aito System Ltd. Available online: https://aitosys.com/aishiru/ (accessed on 24 November 2025).
  9. Cooley, J. W.; Tukey, J. W. An Algorithm for the Machine Calculation of Complex Fourier Series. Mathematics of Computation 1965, 19(90), 297–301. [Google Scholar] [CrossRef]
  10. Mourão, M.; Satin, L; Schnell, S. Optimal Experimental Design to Estimate Statistically Significant Periods of Oscillations in Time Course Data. PLOS ONE 2014, 9(4), e93826. [Google Scholar] [CrossRef] [PubMed]
  11. Christopher, B. Pattern Recognition and Machine Learning. In Information Science and Statistics; Michael, J., Jon, K., Bernhard, S, Eds.; Springer: New York, NY, USA, 2006; pp. 565–570. [Google Scholar]
  12. Hyvärinen, A.; Oja, E. Independent Component Analysis: Algorithms and Applications. Neural Networks 2000, 13(4-5), 411–430. [Google Scholar] [CrossRef] [PubMed]
  13. Jain, A. K.; Ross, A. A.; Nandakumar, K. Introduction to Biometrics, Foreword by James Wayman; Springer New York: New York, USA, 2017; pp. 18–22. [Google Scholar]
  14. Dass, S.; Zhu, Y.; Jain, A. Validating a Biometric Authentication System: Sample Size Requirements. IEEE Transactions on Pattern Analysis and Machine Intelligence 2006, 28(12), 1902–319. [Google Scholar] [CrossRef] [PubMed]
  15. Overview of Japan’s Climate (Japan Meteorological Agency). Available online: https://www.data.jma.go.jp/gmd/cpd/longfcst/en/tourist_japan.html (accessed on 23 November 2025).
  16. Charles, E. M.; Patty, S. F.; James, R. H.; Edward, J. S., III; Philip, A. M.; Milagros, C. R.; Cara, B. E.; Ira, S. O. Seasonal variation in household, occupational, and leisure time physical activity: longitudinal analyses from the seasonal variation of blood cholesterol study. Am J Epidemiol 2001, 153(2), 172–183. [Google Scholar]
  17. Ma, Y.; Olendzki, B. C.; Li, W.; Hafner, A. R.; Chiriboga, D.; Hebert, J. R.; Campbell, M.; Sarnie, M.; Ockene, I. S. Seasonal variation in food intake, physical activity, and body weight in a predominantly overweight population. Eur J Clin Nutr 2006, 60(4), 519–528. [Google Scholar] [CrossRef] [PubMed]
  18. Vitaterna, M. H.; Takahashi, J. S.; Turek, F. W. Overview of circadian rhythms. Alcohol Res Health 2001, 25, 85–93. [Google Scholar] [PubMed]
  19. Bass, J. Circadian topology of metabolism. Nature 2012, 491(7424), 348–356. [Google Scholar] [CrossRef] [PubMed]
  20. Susnea, I.; Dumitriu, L.; Talmaciu, M.; Pecheanu, E.; Munteanu, D. Unobtrusive Monitoring the Daily Activity Routine of Elderly People Living Alone, with Low-Cost Binary Sensors. Sensors 2019, 19(10), 2264. [Google Scholar] [CrossRef] [PubMed]
  21. Zekri, D.; Delot, T.; Thilliez, M.; Lecomte, S.; Desertot, M. A Framework for Detecting and Analyzing Behavior Changes of Elderly People over Time Using Learning Techniques. Sensors 2020, 20(24), 7112. [Google Scholar] [CrossRef]
  22. Ohta, S.; Nakamoto, H.; Shinagawa, Y.; Tanikawa, T. A Health Monitoring System for Elderly People Living Alone. Journal of Telemedicine and Telecare 2002, 8(3), 151–156. [Google Scholar] [CrossRef]
  23. Roy, S. H.; Cheng, M. S.; Chang, S.-S.; Moore, J.; De Luca, G.; Nawab, S. H. Combined sEMG and Accelerometer System for Monitoring Functional Activity in Stroke. IEEE Transactions on Neural Systems and Rehabilitation Engineering 2009, 17(6), 585–594. [Google Scholar] [CrossRef]
Figure 1. Relationship between the characteristic vectors and the benchmark data.
Figure 1. Relationship between the characteristic vectors and the benchmark data.
Preprints 190741 g001
Figure 2. Misclassification Rate by Boundary Variance V.
Figure 2. Misclassification Rate by Boundary Variance V.
Preprints 190741 g002
Figure 3. Seasonal variation of signal and temperature. Orange line, average room temperature; blue line, average signal values. Yellow shading, summer; gray shading, winter. Seasonal divisions: spring (March – May), summer (June – August), autumn (September – November), winter (December – February) [15].
Figure 3. Seasonal variation of signal and temperature. Orange line, average room temperature; blue line, average signal values. Yellow shading, summer; gray shading, winter. Seasonal divisions: spring (March – May), summer (June – August), autumn (September – November), winter (December – February) [15].
Preprints 190741 g003
Figure 4. The spectra of User C for the entire observation period (Frequency: 0.0-0.6).
Figure 4. The spectra of User C for the entire observation period (Frequency: 0.0-0.6).
Preprints 190741 g004
Figure 5. Longitudinal changes in M C V and R 2 . The maximum value on the horizontal axis was set to 120 (11 × 120 days = 1320 days = 3.6 years), and the maximum value on the vertical axis was set to 20. Because the M C V for User G significantly exceeded 20, the maximum value on the vertical axis was set to 50. The horizontal axis represents time, measured in units (u) based on the 11 days of characteristic vector measurement period. The first 20 u (220 days) represents the benchmark data.
Figure 5. Longitudinal changes in M C V and R 2 . The maximum value on the horizontal axis was set to 120 (11 × 120 days = 1320 days = 3.6 years), and the maximum value on the vertical axis was set to 20. Because the M C V for User G significantly exceeded 20, the maximum value on the vertical axis was set to 50. The horizontal axis represents time, measured in units (u) based on the 11 days of characteristic vector measurement period. The first 20 u (220 days) represents the benchmark data.
Preprints 190741 g005
Figure 6. F R R and F A R between a particular user and the others in SG.
Figure 6. F R R and F A R between a particular user and the others in SG.
Preprints 190741 g006
Figure 7. Misclassification Rate in SG for Each User’s Benchmark Data and Analytical Data by Time.
Figure 7. Misclassification Rate in SG for Each User’s Benchmark Data and Analytical Data by Time.
Preprints 190741 g007
Figure 8. Misclassification Rate in FG for Each User’s Benchmark Data and Analytical Data by Time.
Figure 8. Misclassification Rate in FG for Each User’s Benchmark Data and Analytical Data by Time.
Preprints 190741 g008
Table 1. The basic attributes of the subjects and the data used for analysis.
Table 1. The basic attributes of the subjects and the data used for analysis.
User Sex1 Age Care Level2 Residential Style3 Comorbidity4 Number of Dataset Dataset acquisition period Dataset acquisition days
A f 70s NC LA NO 75,840 2018/01/09-2020/03/14 777
B f 70s NC LA NO 66,520 2020/09/20-2022/09/14 673
C m 80s NC WF Hypertension, Angina 164,660 2017/09/27-2022/07/03 1,680
D f 80s 4 LA Hypertension, Depression, Dementia 74,608 2018/05/25-2020/07/14 755
E m 60s NC WF NO 75,436 2018/05/25-2020/07/18 781
F f 80s 4 LA Dementia 67,636 2018/07/31-2020/07/13 700
G f 80s 2* LA Hypertension, MCI, Rheumatism 115,968 2019/04/14-2022/10/29 1,186
H m 80s 2* LA Hypertension, Stroke, Osteoarthritis 123,092 2019/04/14-2022/10/29 1,242
I f 90s 4 LA NO 103,428 2019/06/25-2022/06/14 1,060
1. Sex: m (Male); f (Female) 2. Care Level: NC (no care needed); 1–7 (Support level 1-2, Care Level 1-5, * is Support level). A higher number indicates a greater need for care and a reduced ability to perform daily activities independently. 3. Residential Style: LA (Living Alone); WF (living With Family). 4. MCI (Mild Cognitive Impairment)
Disclaimer/Publisher’s Note: The statements, opinions and data contained in all publications are solely those of the individual author(s) and contributor(s) and not of MDPI and/or the editor(s). MDPI and/or the editor(s) disclaim responsibility for any injury to people or property resulting from any ideas, methods, instructions or products referred to in the content.
Copyright: This open access article is published under a Creative Commons CC BY 4.0 license, which permit the free download, distribution, and reuse, provided that the author and preprint are cited in any reuse.
Prerpints.org logo

Preprints.org is a free preprint server supported by MDPI in Basel, Switzerland.

Subscribe

Disclaimer

Terms of Use

Privacy Policy

Privacy Settings

© 2026 MDPI (Basel, Switzerland) unless otherwise stated