Submitted:
11 October 2025
Posted:
13 October 2025
You are already at the latest version
Abstract
Keywords:
1. Introduction
2. Materials and Methods
2.1. Materials
2.1.1. The OMS-L on FY-3F Satellite
2.1.2. The OMS-L Level-1 Version 1.2 Data
2.1.3. Forward Model and a Priori Data
2.2. Methods
2.2.1. Retrieval Vector
2.2.2. Weighted Multiplicative Algebraic Reconstruction Technique
3. Results and Discussion
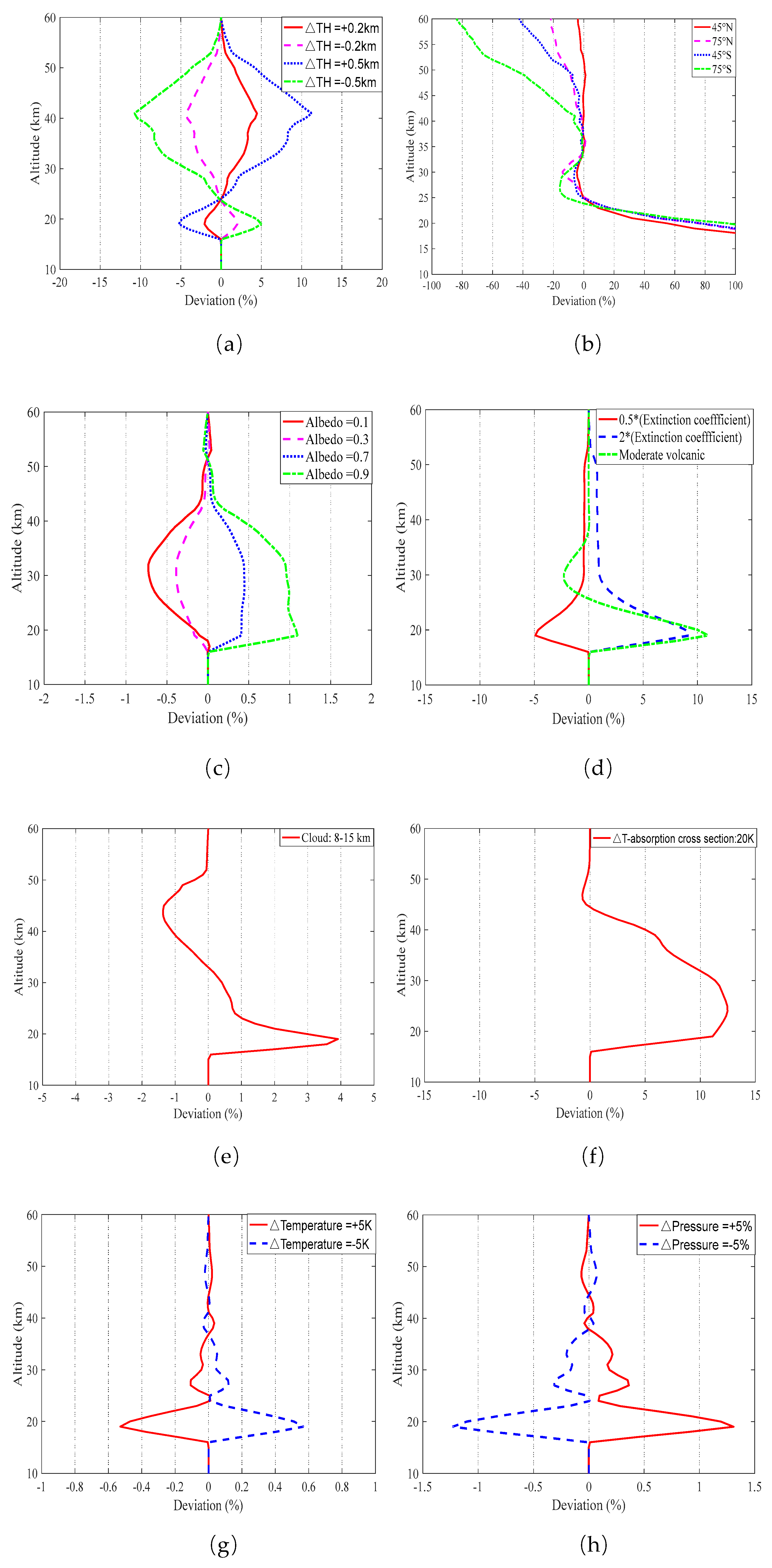
3.1. Sensitivity Analysis
3.2. Retrieval Results and Comparison
3.2.1. Single Profile Comparison
3.2.2. Month Profiles Comparison
4. Conclusions
Author Contributions
Funding
Data Availability Statement
Acknowledgments
Conflicts of Interest
References
- Chipperfield, M.P.; Bekki, S.; Dhomse, S.; Harris, N.R.P.; Hassler, B.; Hossaini, R.; Steinbrecht, W.; Thiéblemont, R.; Weber, M. Detecting recovery of the stratospheric ozone layer. Nature 2017, 549, 211–218. [CrossRef]
- Liu, S.; Zong, X.; Qiao, C.; Lyu, D.; Zhang, W.; Zhang, J.; Liu, H.; Duan, M. Retrieval of Stratospheric Ozone Profiles from Limb Scattering Measurements of the Backward Limb Spectrometer on Chinese Space Laboratory Tiangong-2: Preliminary Results. Remote. Sens. 2022, 14, 4771. [CrossRef]
- Li, F.; Newman, P.A.; Waugh, D.W. Impacts of Stratospheric Ozone Recovery on Southern Ocean Temperature and Heat Budget. Geophys. Res. Lett. 2023, 50. [CrossRef]
- Stone, K.A.; Solomon, S.; Kinnison, D.E.; Mills, M.J. On Recent Large Antarctic Ozone Holes and Ozone Recovery Metrics. Geophys. Res. Lett. 2021, 48. [CrossRef]
- Chiodo. G., Friedel. M., Seeber, S., Domeisen, D. I. V., Stenke, A., Sukhodolov, T., & Zilker, F. The influence of springtime Arctic ozone recovery on stratospheric and surface climate. Atmospheric Chemistry & Physics, 2023, 23, 10451–10472.
- Liu, N.; Xie, F.; Xia, Y.; Niu, Y.; Liu, H.; Xiang, X.; Han, Y. Impact of Methane Emissions on Future Stratospheric Ozone Recovery. Adv. Atmospheric Sci. 2025, 42, 1463–1482. [CrossRef]
- Chen, X.; Wu, L.; Chen, X.; Zhang, Y.; Guo, J.; Safieddine, S.; Huang, F.; Wang, X. Cross-Tropopause Transport of Surface Pollutants during the Beijing 21 July Deep Convection Event. J. Atmospheric Sci. 2022, 79, 1349–1362. [CrossRef]
- Ma, P.; Mao, H.; Zhang, J.; Yang, X.; Zhao, S.; Wang, Z.; Li, Q.; Wang, Y.; Chen, C. Satellite monitoring of stratospheric ozone intrusion exceptional events- a typical case of China in 2019. Atmospheric Pollut. Res. 2022, 13. [CrossRef]
- Bognar, K., Tegtmeier, S., Bourassa, A., Roth, C., Warnock, T., Zawada, D., and Degenstein, D., Stratospheric ozone trends for 1984–2021 in the SAGE II–OSIRIS–SAGE III/ISS composite dataset, Atmos. Chem. Phys., 2022, 22, 9553–9569.
- Kessenich, H.E.; Seppälä, A.; Rodger, C.J. Potential drivers of the recent large Antarctic ozone holes. Nat. Commun. 2023, 14, 1–9. [CrossRef]
- Ardra, D.; Kuttippurath, J.; Roy, R.; Kumar, P.; Raj, S.; Müller, R.; Feng, W. The Unprecedented Ozone Loss in the Arctic Winter and Spring of 2010/2011 and 2019/2020. ACS Earth Space Chem. 2022, 6, 683–693. [CrossRef]
- Ma, C.; Su, H.; Lelieveld, J.; Randel, W.; Yu, P.; Andreae, M.O.; Cheng, Y. Smoke-charged vortex doubles hemispheric aerosol in the middle stratosphere and buffers ozone depletion. Sci. Adv. 2024, 10, eadn3657. [CrossRef]
- Chen, Z.; Liu, J.; Qie, X.; Cheng, X.; Yang, M.; Shu, L.; Zang, Z. Stratospheric influence on surface ozone pollution in China. Nat. Commun. 2024, 15, 1–12. [CrossRef]
- Petropavlovskikh, I.; Wild, J.D.; Abromitis, K.; Effertz, P.; Miyagawa, K.; Flynn, L.E.; Barras, E.M.; Damadeo, R.; McConville, G.; Johnson, B.; et al. Ozone trends in homogenized Umkehr, ozonesonde, and COH overpass records. Atmospheric Meas. Tech. 2025, 25, 2895–2936. [CrossRef]
- Lu, J.; Lou, S.; Huang, X.; Xue, L.; Ding, K.; Liu, T.; Ma, Y.; Wang, W.; Ding, A. Stratospheric Aerosol and Ozone Responses to the Hunga Tonga-Hunga Ha'apai Volcanic Eruption. Geophys. Res. Lett. 2023, 50. [CrossRef]
- Sofieva, V.F.; Szelag, M.; Tamminen, J.; Arosio, C.; Rozanov, A.; Weber, M.; Degenstein, D.; Bourassa, A.; Zawada, D.; Kiefer, M.; et al. Updated merged SAGE-CCI-OMPS+ dataset for the evaluation of ozone trends in the stratosphere. Atmospheric Meas. Tech. 2023, 16, 1881–1899. [CrossRef]
- Zhu, F.; Si, F.; Dou, K.; Zhan, K.; Zhou, H.; Luo, Y. Retrieval of Ozone Profiles Using a Weighted Multiplicative Algebraic Reconstruction Technique from SCIAMACHY Limb Scattering Observations. J. Earth Sci. 2025, 36, 314–326. [CrossRef]
- Arosio, C.; Rozanov, A.; Malinina, E.; Eichmann, K.-U.; von Clarmann, T.; Burrows, J.P. Retrieval of ozone profiles from OMPS limb scattering observations. Atmospheric Meas. Tech. 2018, 11, 2135–2149. [CrossRef]
- Zhu, F.; Li, S.; Luo, J. Retrieval of upper stratospheric ozone profiles from SCIAMACHY Hartley-Huggins limb scatter spectra using WMART. Int. J. Remote. Sens. 2024, 45, 4385–4406. [CrossRef]
- Bourassa, A.E.; Roth, C.Z.; Zawada, D.J.; Rieger, L.A.; McLinden, C.A.; Degenstein, D.A. Drift-corrected Odin-OSIRIS ozone product: algorithm and updated stratospheric ozone trends. Atmospheric Meas. Tech. 2018, 11, 489–498. [CrossRef]
- Kramarova, N.A.; Bhartia, P.K.; Jaross, G.; Moy, L.; Xu, P.; Chen, Z.; DeLand, M.; Froidevaux, L.; Livesey, N.; Degenstein, D.; et al. Validation of ozone profile retrievals derived from the OMPS LP version 2.5 algorithm against correlative satellite measurements. Atmospheric Meas. Tech. 2018, 11, 2837–2861. [CrossRef]
- Li, Y., Instructions for the Use of the Limb L1 Product of the Ultraviolet Hyperspectral Ozone Monitoring Suite –Limb on Fengyun-3 F Satellite (V1.2), 2024, 26pp.
- NSMC: https://www.nsmc.org.cn/nsmc/cn/instrument/OMS-L.html, last access: April 2025.
- Li, Z., Wang, S., Huang, Y., Ma, Q., Xue, Q., Li, Z. Pre-Launch Calibration of the Tiangong-2 Front-Azimuth Broadband Hyperspectrometer. Springer: Singapore, 2019, 49–60.
- Rozanov, V.; Dinter, T.; Rozanov, A.; Wolanin, A.; Bracher, A.; Burrows, J. Radiative transfer modeling through terrestrial atmosphere and ocean accounting for inelastic processes: Software package SCIATRAN. J. Quant. Spectrosc. Radiat. Transf. 2017, 194, 65–85. [CrossRef]
- Bogumil, K., Orphal, J., Burrows, J. P., Temperature dependent absorption cross sections of O3, NO2, and other atmospheric trace gases measured with the SCIAMACHY spectrometer. Proceedings of the ERS-Envisat-Symposium, Goteborg, Sweden. 2000, 10.
- Shettle, E.P. and Fenn, R.W., Models for the Aerosols of the Lower Atmosphere and the Effects of Humidity Variations on Their Optical Properties. Air Force Geophysics Laboratory: Hanscom, MA, USA,1979.
- Kneizys, F. X., Shettle, E. P., Abreu, L. W., Chetwynd, J. H., Anderson, G. P., Gallery, W. O., Selby, J. E. A., and Clough, S. A., Users Guide to LOWTRAN 7. Air Force Geophysics Laboratory AFGL, 1986, 576pp.
- Degenstein, D.A.; Bourassa, A.E.; Roth, C.Z.; Llewellyn, E.J. Limb scatter ozone retrieval from 10 to 60 km using a multiplicative algebraic reconstruction technique. Atmospheric Meas. Tech. 2009, 9, 6521–6529. [CrossRef]
- Rohen, G.; von Savigny, C.; Llewellyn, E.; Kaiser, J.; Eichmann, K.-U.; Bracher, A.; Bovensmann, H.; Burrows, J. First results of ozone profiles between 35 and 65 km retrieved from SCIAMACHY limb spectra and observations of ozone depletion during the solar proton events in October/November 2003. Adv. Space Res. 2006, 37, 2263–2268. [CrossRef]
- Jia, J.; Rozanov, A.; Ladstätter-Weißenmayer, A.; Burrows, J.P. Global validation of SCIAMACHY limb ozone data (versions 2.9 and 3.0, IUP Bremen) using ozonesonde measurements. Atmospheric Meas. Tech. 2015, 8, 3369–3383. [CrossRef]
- Roth, C.Z.; A Degenstein, D.; E Bourassa, A.; Llewellyn, E.J. The retrieval of vertical profiles of the ozone number density using Chappuis band absorption information and a multiplicative algebraic reconstruction technique. Can. J. Phys. 2007, 85, 1225–1243. [CrossRef]
- von Clarmann, T.; Degenstein, D.A.; Livesey, N.J.; Bender, S.; Braverman, A.; Butz, A.; Compernolle, S.; Damadeo, R.; Dueck, S.; Eriksson, P.; et al. Overview: Estimating and reporting uncertainties in remotely sensed atmospheric composition and temperature. Atmospheric Meas. Tech. 2020, 13, 4393–4436. [CrossRef]
- Arosio, C.; Rozanov, A.; Gorshelev, V.; Laeng, A.; Burrows, J.P. Assessment of the error budget for stratospheric ozone profiles retrieved from OMPS limb scatter measurements. Atmospheric Meas. Tech. 2022, 15, 5949–5967. [CrossRef]
- Zhu, F.; Si, F.; Zhou, H.; Dou, K.; Zhao, M.; Zhang, Q. Sensitivity Analysis of Ozone Profiles Retrieved from SCIAMACHY Limb Radiance Based on the Weighted Multiplicative Algebraic Reconstruction Technique. Remote. Sens. 2022, 14, 3954. [CrossRef]
- Rahpoe, N.; von Savigny, C.; Weber, M.; Rozanov, A.; Bovensmann, H.; Burrows, J.P. Error budget analysis of SCIAMACHY limb ozone profile retrievals using the SCIATRAN model. Atmospheric Meas. Tech. 2013, 6, 2825–2837. [CrossRef]
- Flittner, D.E.; Bhartia, P.K.; Herman, B.M. O3 profiles retrieved from limb scatter measurements: Theory. Geophys. Res. Lett. 2000, 27, 2601–2604. [CrossRef]
- Sonkaew, T.; Rozanov, V.V.; von Savigny, C.; Rozanov, A.; Bovensmann, H.; Burrows, J.P. Cloud sensitivity studies for stratospheric and lower mesospheric ozone profile retrievals from measurements of limb-scattered solar radiation. Atmospheric Meas. Tech. 2009, 2, 653–678. [CrossRef]
- Kramarova, N. and DeLand, M., OMPS Limb Profiler Ozone Product O3: Version 2.6 Data Release Notes, 2023, 36pp.
- Zhu, F., Li, S.W., Yang, T. P., Si, F. Q., Research on Inversion and Application of Ozone Profile Based on OMPS Limb Scattering Observation. Acta Optica Sinica, 2025, 45(6):82-92.=.










| Item | indicator |
|---|---|
| Spectral coverage | 290-500 nm |
| Spectral resolution | 0.6 nm |
| SNR | >300@0.1μw/(cm2×sr×nm) |
| Vertical coverage | 15-60 km |
| Vertical resolution | 3 km |
| Instantaneous field of view | 2.3°(horizontal)×0.045°(vertical) |
| HPV1 | HPV2 | HPV3 | HPV4 | HPV5 | HPV6 | HPV7 | |
|---|---|---|---|---|---|---|---|
| (nm) | 295 | 302 | 306 | 312 | 317 | 321 | 332 |
| (nm) | 353 | 353 | 353 | 353 | 353 | 353 | 353 |
| (km) | 49 | 42 | 42 | 36 | 33 | 27 | 18 |
| (km) | 57 | 54 | 51 | 49 | 42 | 40 | 36 |
| (km) | 60 | 60 | 54 | 52 | 45 | 42 | 40 |
| Parameters | Values |
|---|---|
| Wavelength used in UV (nm) | 295, 302, 306, 312, 317, 322 |
| Wavelength used in Vis (nm) | 606 |
| Reference wavelength used in UV (nm) | 353 |
| Reference wavelength used in Vis (nm) | 510,675 |
| Normalization altitude used in UV (km) | 60.5 |
| Normalization altitude used in Vis (km) | 40.5 |
Disclaimer/Publisher’s Note: The statements, opinions and data contained in all publications are solely those of the individual author(s) and contributor(s) and not of MDPI and/or the editor(s). MDPI and/or the editor(s) disclaim responsibility for any injury to people or property resulting from any ideas, methods, instructions or products referred to in the content. |
© 2025 by the authors. Licensee MDPI, Basel, Switzerland. This article is an open access article distributed under the terms and conditions of the Creative Commons Attribution (CC BY) license (http://creativecommons.org/licenses/by/4.0/).