Submitted:
31 August 2025
Posted:
03 September 2025
You are already at the latest version
Abstract
Keywords:
1. Introduction
1.1. Overview of Healthcare and Drug Development
1.2. Importance of Innovative Methods in Drug Discovery and Development
1.3. Current Challenges in Pharmaceutical Synthesis
1.4. Role of Catalysis in Pharmaceutical Synthesis
1.5. Trinuclear Metal Carbonyl Clusters and Their Symmetrical Properties
1.6. Symmetry in Chemical Catalysis
1.7. Metal Catalyzed C-H Activation and Its Applications
1.8. C-H Activation in Drug Synthesis
1.9. Role of Osmium in Catalytic C–H Activation
1.10. Objective of the Study
2. Literature Review
3. Materials and Methods
3.1. General Details
3.2. Synthetic Procedures
3.2.1. Synthesis of Trinuclear Metal Carbonyl Clusters
- A mixture of Os3(CO)12 (100 mg, 0.11 mmol) and trimethylamine N-oxide (25 mg, 0.33 mmol) was dissolved in 50 mL of methylene chloride in a 100 mL three-neck flask.
- The reaction mixture was stirred at room temperature for 2 hours under a nitrogen atmosphere.
- After completion of the reaction, as indicated by IR spectroscopy, the solvent was removed under reduced pressure.
- The resulting product, Os3(CO)10(NCCH3)2, was purified by column chromatography using a mixture of hexane and methylene chloride (3:1) as the eluent.
3.2.2. Experimental Procedures
3.2.3. General Procedure for C-H Activation
-
Os3(CO)10(NCCH3)2 (80 mg, 0.085 mmol) was added to a 100 mL three-neck flask containing 60 mL of solvent (heptane or methylene chloride).
- N,N-dimethylacrylamide (DMA) or methyl acrylate (MA) was added to the reaction mixture in a molar ratio of 1:5 or 1:2 with respect to the osmium complex.
- The reaction mixture was heated to reflux with stirring for the specified time (7-12 hours) under a nitrogen atmosphere.
- The progress of the reaction was monitored by IR spectroscopy.
- Upon completion, the solvent was removed under reduced pressure, and the products were isolated by thin-layer chromatography (TLC) using a mixture of hexane and methylene chloride (3:1 or 1:1) as the eluent.
3.2.4. Synthesis of Specific Activated Compounds
-
Synthesis of Os2(CO)6(µ-H)(µ-O=C(N(CH3)2)CHCH), 1:
-
Os3(CO)10(NCCH3)2 (80 mg, 0.085 mmol) was reacted withN,N-dimethylacrylamide (DMA) (42.5 mg, 0.428 mmol) in 60 mL of heptane for 7 hours.
- The product was isolated by TLC, yielding 13.1 mg (16.3%) of yellow Os2(CO)6(µ-H)(µ-O=C(N(CH3)2)CHCH).
- Solvent use rationale: Heptane is non-polar and non-coordinating with a higher b.p. (98 C), enabling hot reflux to drive C–H activation while avoiding competitive solvent binding to osmium.
-
-
Synthesis of Os4(CO)12(µ-O=C(N(CH3)2)CHCH)2, 2:
-
Os3(CO)10(NCCH3)2 (80 mg, 0.085 mmol) was reacted withN,N-dimethylacrylamide (DMA) (144.3 mg, 1.45 mmol) in 60 mL of methylene chloride for 12 hours.
- The product was isolated by TLC, yielding 12.3 mg (15.4%) of Os4(CO)12(µ-O=C(N(CH3)2)CHCH)2.
- Solvent use rationale: Methylene chloride (CH2Cl2) is moderately polar and weakly coordinating with excellent solubility for Os carbonyl clusters; its low b.p. (40C) allows gentle rt/reflux conditions that control reactivity and limit over-decarbonylation.
-
-
Synthesis of Os3(CO)9(µ-O=C(N(CH3)2)CH2CHCCHC(N(CH3)2)=O), 3:
-
Os3(CO)10(NCCH3)2 (80 mg, 0.085 mmol) was reacted withN,N-dimethylacrylamide (DMA) (42.5 mg, 0.428 mmol) in 60 mL of heptane for 7 hours.
- The product was isolated by TLC, yielding 23.0 mg (28.8%) of yellow Os3(CO)9(µ-O=C(N(CH3)2)CH2CHCCHC(N(CH3)2)=O).
- Solvent use rationale: Heptane is non-polar and non-coordinating with a higher b.p. (98C), enabling hot reflux to drive C–H activation while avoiding competitive solvent binding to osmium.
-
-
Synthesis of Os3(CO)8(µ-O=C(N(CH3)2)CHCH)2, 4:
-
Os3(CO)10(NCCH3)2 (80 mg, 0.085 mmol) was reacted withN,N-dimethylacrylamide (DMA) (144.3 mg, 1.45 mmol) in 60 mL of methylene chloride for 12 hours.
- The product was isolated by TLC, yielding 5.0 mg (6.2%) of yellow Os3(CO)8(µ-O=C(N(CH3)2) CHCH)2.
- Solvent use rationale: Methylene chloride (CH2Cl2) is moderately polar and weakly coordinating with excellent solubility for Os carbonyl clusters; its low b.p. (40C) allows gentle rt/reflux conditions that control reactivity and limit over-decarbonylation.
-
-
Synthesis of Os6(CO)20(µ-H)(µ-O=C(N(CH3)2)CHCH)2, 5:
-
Os3(CO)10(NCCH3)2 (80 mg, 0.085 mmol) was reacted withN,N-dimethylacrylamide (DMA) (144.3 mg, 1.45 mmol) in 60 mL of methylene chloride for 12 hours.
- The product was isolated by TLC, yielding 18.2 mg (22.5%) of Os6(CO)20(µ-H)(µ-O=C(N(CH3)2) CHCH)2.
- Solvent use rationale: Methylene chloride (CH2Cl2) is moderately polar and weakly coordinating with excellent solubility for Os carbonyl clusters; its low b.p. (40C) allows gentle rt/reflux conditions that control reactivity and limit over-decarbonylation.
-
-
Synthesis of HOs3(CO)10(µ-O=C(N(CH3)2)CHCH), 6:
-
Os3(CO)10(NCCH3)2 (80 mg, 0.085 mmol) was reacted withN,N-dimethylacrylamide (DMA) (192.4 mg, 1.94 mmol) in 30 mL of methylene chloride at room temperature for 2 hours.
- The product was isolated by TLC, yielding 55.8 mg (69.1%) of yellow HOs3(CO)10(µ-O=C(N(CH3)2)CHCH).
- Solvent use rationale: Methylene chloride (CH2Cl2) is moderately polar and weakly coordinating with excellent solubility for Os carbonyl clusters; its low b.p. (40C) allows gentle rt/reflux conditions that control reactivity and limit over-decarbonylation.
-
-
Synthesis of Os5(CO)15(µ-O=C(N(CH3)2)CHCH)2, 7:
- HOs3(CO)10(µ-O=C(N(CH3)2)CHCH), 6 (30 mg, 0.032 mmol) was added to a NMR tube containing a solution of trimethylamine N-oxide (4.0 mg, 0.04 mmol) in 3 mL d-methylene chloride.
- The reaction mixture was placed in an oil bath at 45C for 7 days with intermittent monitoring by NMR spectroscopy.
- The solvent was then removed by evaporation at room temperature, and the product was isolated by TLC using a mixture of hexane and methylene chloride (1:1) as the eluent.
- In order of elution, the products were: 3.0 mg of yellow Os3(CO)12 (10.34% yield), 5 mg of Os2(CO)6(µ-H)(µ-O=C(N(CH3)2)CHCH), 1 (24.13% yield), and 10.2 mg of Os5(CO)15(µ-O=C(N(CH3)2)CHCH)2 (20.71% yield).
- Solvent use rationale:d-Methylene chloride (CD2Cl2) is the deuterated analogue chosen for in-tube NMR monitoring over days, providing the same solvation as CH2Cl2 with minimal background signals.
-
Synthesis of Os3(CO)9(µ-H)(µ-O=C(OCH3)CHCH), 8:
- Os3(CO)10(NCCH3)2 (80 mg, 0.085 mmol) was added to a 100 mL three-neck flask containing a solution of methyl acrylate (CH3OCOCHCH2) (36.91 mg, 0.42 mmol) in 60 mL hexane.
- The reaction mixture was allowed to stir at reflux for 3 hours with intermittent monitoring by IR spectroscopy.
- The solvent was then removed in vacuo, and the product was isolated by TLC using a mixture of hexane and methylene chloride (3:1) as the eluent.
-
In order of elution, the products were: 5.0 mg of yellow known compound Os3(CO)11(µ-H)(µ-Cl) (6.25% yield), 6.1 mg of yellow known compoundOs3(CO)12(µ-H)(µ-OH) (7.63% yield), and 23 mg of yellow Os3(CO)9(µ-H)(µ-O=C(OCH3)CHCH) (28.75% yield).
- Solvent use rationale: Hexane is non-polar and non-coordinating with a moderate b.p. (69C), supporting clean reflux with methyl acrylate while avoiding donor interference at the metal center.

4. Results
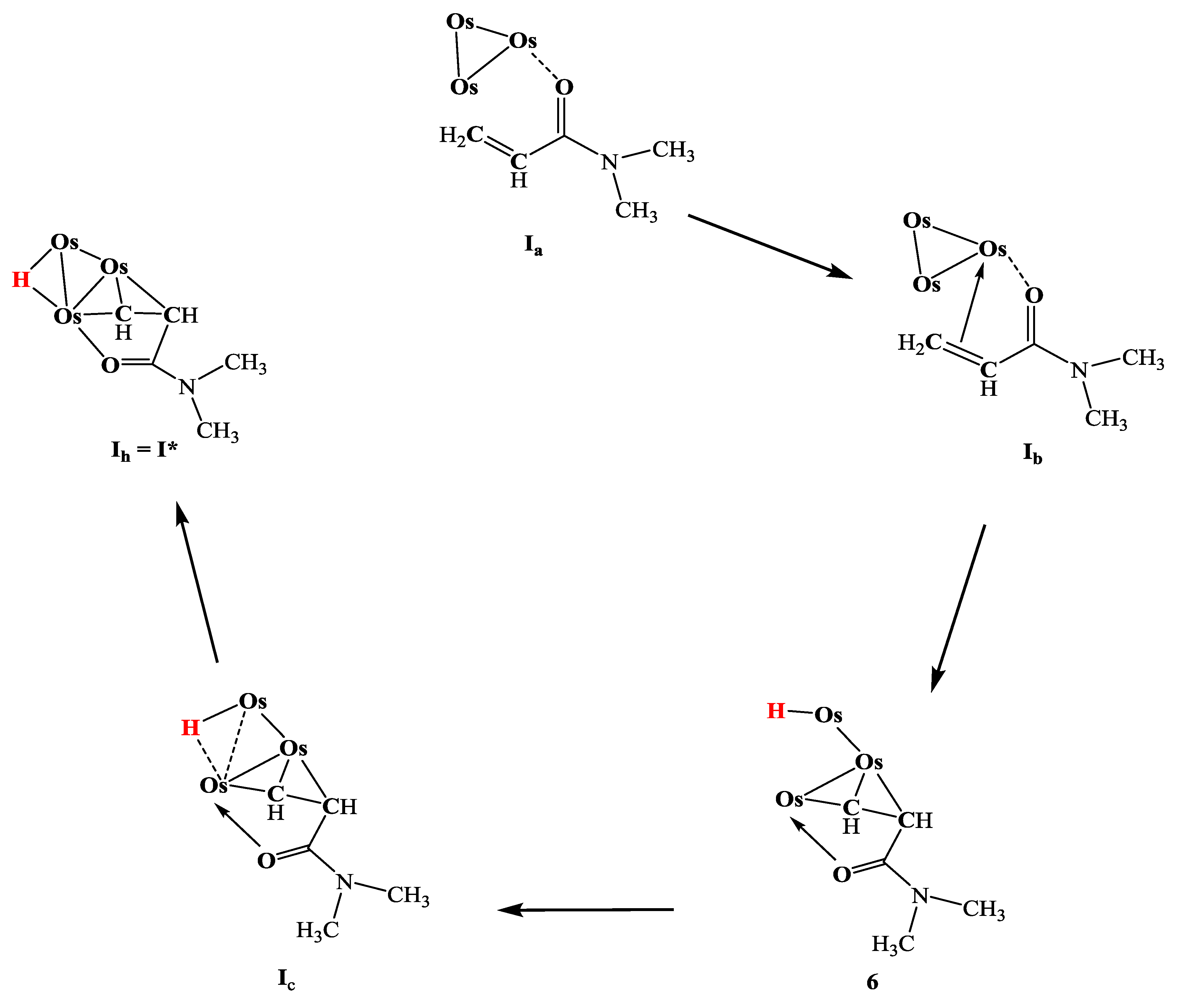
4.1. Mechanistic Pathways and Transformations

5. Discussion
5.1. Transition Metal Catalysis in Drug Development: Overview and Examples
5.2. Cross-Coupling Reactions and Assembly of Drug Scaffolds
5.3. C–H Activation and Late-Stage Functionalization
5.4. Asymmetric and Specialized Catalysis in API Synthesis
5.5. Symmetrical Multimetal Catalysis: Cooperative Mechanisms and Pharmaceutical Potential
5.6. Cooperative C–H and C–C Activation by Bimetallic Systems
5.7. Symmetry, Catalyst Design, and Selectivity
5.8. Flow Chemistry, Green Processes, and Raw Material Efficiency
5.9. Conclusion: Bridging Cluster Chemistry to Drug Synthesis
6. Conclusion
- Late-stage functionalization of amide scaffolds. Site-specific -C–H activation on an acrylamide bound to a multinuclear site suggests a route to regiocontrolled installation of handles (C–C, C–O, C–N) on drug-like amides without prefunctionalization.
- Symmetric C–C coupling of feedstocks. The dimerization and multi-bridging motifs (2, 3, 4, 7) are prototypes for coupling identical / units into conjugated or 1,4-dicarbonyl-like frameworks that frequently seed heterocycles and pharmacophores.
- Integration of CO as a one-carbon synthon. Readily observed CO migration/expulsion across the series highlights that carbonylation steps can be embedded within a single multinuclear coordination sphere—an attractive blueprint for compacting step counts in API routes.
- Process alignment. The tolerance of amide and ester functions, together with solvent-dependent selectivity, speaks to tunability crucial for flow chemistry and green metrics (atom economy, minimized protecting groups) emphasized in industrial manufacture.
- From stoichiometry to catalysis. Design turnover-capable bimetal/trimetal catalysts that mimic 6 as a resting state and cycle through the -C–H activation/C–C coupling motifs seen in 1–5,7–8. Metrics: TON/TOF, mass balance, and robustness screens in the presence of amide/ester functionality.
- Scope on drug-like substrates. Probe directed and undirected -C–H activation on acrylamide/enoamide fragments embedded in representative small-molecule intermediates; map substituent, electronics, and steric effects that control regioselectivity.
- Mechanistic quantification. Combine variable-temperature NMR (hydride exchange/EXSY), isotopic labeling (KIE for -C–H cleavage), and computation to distinguish CMD-like versus stepwise pathways across Os–Os edges; correlate with electron counts and symmetry elements observed crystallographically.
- Translational engineering. (i) Port the cooperative blueprint to congeners (Ru, Rh) and supported/heterogenized analogues for improved practicality; (ii) evaluate continuous-flow operation where solvent choice already modulates selectivity; (iii) embed carbonylation events to deliver carboxyl/ketone motifs in situ from CO, minimizing step count.
Supplementary Materials
Author Contributions
Funding
Institutional Review Board Statement
Informed Consent Statement
Data Availability Statement
Acknowledgments
Conflicts of Interest
Abbreviations
| FT-IR | Fourier Transform Infrared Spectroscopy |
| NMR | Nuclear Magnetic Resonance |
| MS | Mass Spectrometry |
| DMA | N,N-Dimethylacrylamide |
| MA | Methyl Acrylate |
| QTAIM | Quantum Theory of Atoms in Molecules |
| Q-TOF | Quadrupole Time-of-Flight |
| TMS | Tetramethylsilane |
| Cp* | Pentamethylcyclopentadienyl |
| EI | Electron Impact |
| ESI | Electrospray Ionization |
| GOF | Goodness of Fit |
| ORTEP | Oak Ridge Thermal Ellipsoid Plot |
References
- Topol, E.J. High-performance medicine: the convergence of human and artificial intelligence. Nature Medicine 2019, 25, 44–56. [CrossRef]
- Rajkomar, A.; Oren, E.; Chen, K.; et al. Scalable and accurate deep learning with electronic health records. NPJ Digital Medicine 2018, 1, 18. [CrossRef]
- Esteva, A.; Kuprel, B.; Novoa, R.A.; et al. Dermatologist-level classification of skin cancer with deep neural networks. Nature 2017, 542, 115–118. [CrossRef]
- Maleki, M.; Khan, M. Covid-19 health equity & justice dashboard: A step towards countering health disparities among seniors and minority population. Available at SSRN 4595845 2023.
- Piwek, L.; Ellis, D.A.; Andrews, S.; Joinson, A. The rise of consumer health wearables: Promises and barriers. PLOS Medicine 2016, 13, e1001953. [CrossRef]
- Collins, F.S.; Varmus, H. A new initiative on precision medicine. New England Journal of Medicine 2015, 372, 793–795. [CrossRef]
- Maleki, M. Advancing Healthcare Accessibility through a Neighborhood Search Recommendation Tool. Available at SSRN 4825773 2024.
- Wilkinson, M.D.; Dumontier, M.; Aalbersberg, I.J.; et al. The FAIR Guiding Principles for scientific data management and stewardship. Scientific Data 2016, 3, 160018. [CrossRef]
- Sherman, R.E.; Anderson, S.A.; Dal Pan, G.J.; et al. Real-World Evidence—What Is It and What Can It Tell Us? New England Journal of Medicine 2016, 375, 2293–2297. [CrossRef]
- Scannell, J.W.; Blanckley, A.; Boldon, H.; Warrington, B. Diagnosing the decline in pharmaceutical R&D efficiency. Nature Reviews Drug Discovery 2012, 11, 191–200. [CrossRef]
- DiMasi, J.A.; Grabowski, H.G.; Hansen, R.W. Innovation in the pharmaceutical industry: New estimates of R&D costs. Journal of Health Economics 2016, 47, 20–33. [CrossRef]
- Paul, S.M.; Mytelka, D.S.; Dunwiddie, C.T.; Persinger, C.C.; Munos, B.H.; Lindborg, S.R.; Schacht, A.L. How to improve R&D productivity: the pharmaceutical industry’s grand challenge. Nature Reviews Drug Discovery 2010, 9, 203–214. [CrossRef]
- Hughes, J.P.; Rees, S.; Kalindjian, S.B.; Philpott, K.L. Principles of early drug discovery. British Journal of Pharmacology 2011, 162, 1239–1249. [CrossRef]
- Swinney, D.C.; Anthony, J. How were new medicines discovered? Nature Reviews Drug Discovery 2011, 10, 507–519. [CrossRef]
- Jumper, J.; Evans, R.; Pritzel, A.; Green, T.; Figurnov, M.; Ronneberger, O.; Tunyasuvunakool, K.; Bates, R.; Žídek, A.; Potapenko, A.; et al. Highly accurate protein structure prediction with AlphaFold. Nature 2021, 596, 583–589. [CrossRef]
- Sanchez-Lengeling, B.; Aspuru-Guzik, A. Inverse molecular design using machine learning: Generative models for matter engineering. Science 2018, 361, 360–365. [CrossRef]
- Stokes, J.M.; Yang, K.; Swanson, K.; et al. A deep learning approach to antibiotic discovery. Cell 2020, 180, 688–702.e13. [CrossRef]
- Maleki, M.; Ghahari, S. Clinical trials protocol authoring using llms. arXiv preprint arXiv:2404.05044 2024.
- Singhal, K.; Azizi, S.; Tu, T.; et al.. Large language models encode clinical knowledge. Nature 2023, 620, 172–180. [CrossRef]
- Pallmann, P.; Bedding, A.W.; Choodari-Oskooei, B.; et al. Adaptive designs in clinical trials: why use them, and how to run and report them. BMJ 2018, 362, k698. [CrossRef]
- Polack, F.P.; Thomas, S.J.; Kitchin, N.; et al. Safety and efficacy of the BNT162b2 mRNA COVID-19 vaccine. New England Journal of Medicine 2020, 383, 2603–2615. [CrossRef]
- Baden, L.R.; El Sahly, H.M.; Essink, B.; et al. Efficacy and Safety of the mRNA-1273 SARS-CoV-2 Vaccine. New England Journal of Medicine 2021, 384, 403–416. [CrossRef]
- MacDonald, N.E. Vaccine hesitancy: definition, scope and determinants. Vaccine 2015, 33, 4161–4164. [CrossRef]
- Maleki, M.; Ghahari, S. Comprehensive clustering analysis and profiling of covid-19 vaccine hesitancy and related factors across us counties: Insights for future pandemic responses. In Proceedings of the Healthcare. MDPI, 2024, Vol. 12, p. 1458.
- Loomba, S.; de Figueiredo, A.; Piatek, S.J.; de Graaf, K.; Larson, H.J. Measuring the impact of COVID-19 vaccine misinformation on vaccination intent in the UK and USA. Nature Human Behaviour 2021, 5, 337–348. [CrossRef]
- Maleki, M. Clustering analysis of us covid-19 rates, vaccine participation, and socioeconomic factors. arXiv preprint arXiv:2404.08186 2024.
- Maleki, M.; Bahrami, M.; Menendez, M.; Balsa-Barreiro, J. Social Behavior and COVID-19: Analysis of the Social Factors behind Compliance with Interventions across the United States. International Journal of Environmental Research and Public Health 2022, 19. [CrossRef]
- Maleki, M. Evaluating the Reproducibility of ICU Patient Readmission using RNN and ODE models. Available at SSRN 4825763 2024.
- Ioannidis, J.P.A. Why most published research findings are false. PLoS Medicine 2005, 2, e124. [CrossRef]
- Hannun, A.Y.; Rajpurkar, P.; Haghpanahi, M.; et al. Cardiologist-level arrhythmia detection and classification in ambulatory electrocardiograms using a deep neural network. Nature Medicine 2019, 25, 65–69. [CrossRef]
- Maleki, M.; Haeri, F. Identification of cardiovascular diseases through ECG classification using wavelet transformation. arXiv preprint arXiv:2404.09393 2024.
- Baker, S.R.; Bloom, N.; Davis, S.J.; Kost, K.J.; Sammon, M.C.; Viratyosin, T. The unprecedented stock market reaction to COVID-19. The Review of Asset Pricing Studies 2020, 10, 742–758. [CrossRef]
- Maleki, M.; Ghahari, S. Impact of Major Health Events on Pharmaceutical Stocks: A Comprehensive Analysis Using Macroeconomic and Market Indicators. arXiv preprint arXiv:2408.01883 2024.
- Zhang, D.; Hu, M.; Ji, Q. Financial markets under the global pandemic of COVID-19. Finance Research Letters 2020, 36, 101528. [CrossRef]
- Skeel, R.T.; Khleif, S.N. Handbook of Cancer Chemotherapy, 8th ed.; Lippincott Williams & Wilkins, 2011.
- Ghosh, A.K.; Bilcer, G.; Schiltz, G. Syntheses of FDA approved HIV protease inhibitors. Synthesis 2001, 2001, 2203–2229.
- Grein, J.; Ohmagari, N.; Shin, D.; Diaz, G.; Asperges, E.; Castagna, A.; Feldt, T.; Green, M.L.; Green, M.L.; Lescure, F.X.; et al. Compassionate Use of Remdesivir for Patients with Severe Covid-19. New England Journal of Medicine 2020, 382, 2327–2336. [CrossRef]
- Narkhede, M.; Pardeshi, A.; Bhagat, R.; Dharme, G. Review on Emerging Therapeutic Strategies for Managing Cardiovascular Disease. Current Cardiology Reviews 2024, 20, 86–100.
- Potere, N.; Bonaventura, A.; Abbate, A. Novel Therapeutics and Upcoming Clinical Trials Targeting Inflammation in Cardiovascular Diseases. Arteriosclerosis, Thrombosis, and Vascular Biology 2024, 44, 2371–2395.
- Smolen, J.S.; Aletaha, D.; McInnes, I.B. Rheumatoid arthritis. The Lancet 2016, 388, 2023–2038. [CrossRef]
- Evens, R.P. Health care and industry overview and challenges. In Drug and Biological Development: From Molecule to Product and Beyond; Springer, 2007; pp. 5–32.
- Rousseaux, C.G.; Bracken, W.M.; Guionaud, S. Overview of drug development. In Haschek and Rousseaux’s Handbook of Toxicologic Pathology; Elsevier, 2023; pp. 3–48.
- Popp, J.A.; Engelhardt, J.A. Overview of drug development. In Toxicologic Pathology; CRC Press, 2018; pp. 3–26.
- Sinha, S.; Vohora, D. Drug discovery and development: An overview. Pharmaceutical medicine and translational clinical research 2018, pp. 19–32.
- Moore, S.W. An overview of drug development in the United States and current challenges. Southern medical journal 2003, 96, 1244–1256.
- U.S. Food and Drug Administration. The Drug Development Process, 2018. Accessed: 2025-05-31.
- Wang, T.; Liu, M.; Peng, B.; Song, X.; Zhang, C.; Sun, X.; Niu, Q.; Liu, J.; Chen, S.; Chen, K.; et al. From Bench to Bedside: A Review of Clinical Trials in Drug Discovery and Development. arXiv preprint arXiv:2412.09378 2024.
- Petrova, E. Innovation in the pharmaceutical industry: The process of drug discovery and development. In Innovation and Marketing in the Pharmaceutical Industry: Emerging Practices, Research, and Policies; Springer, 2013; pp. 19–81.
- Sun, D.; Gao, W.; Hu, H.; Zhou, S. Why 90% of clinical drug development fails and how to improve it? Acta Pharmaceutica Sinica B 2022, 12, 3049–3062.
- Doody, R.S.; Thomas, R.G.; Farlow, M.; Iwatsubo, T.; Vellas, B.; Joffe, S.; Kieburtz, K.; Raman, R.; Sun, X.; Aisen, P.S.; et al. A phase 3 trial of semagacestat for treatment of Alzheimer’s disease. New England Journal of Medicine 2013, 369, 341–350.
- Barter, P.J.; Caulfield, M.; Eriksson, M.; Grundy, S.M.; Kastelein, J.J.; Komajda, M.; Lopez-Sendon, J.; Mosca, L.; Tardif, J.C.; Waters, D.D.; et al. Effects of torcetrapib in patients at high risk for coronary events. New England Journal of Medicine 2007, 357, 2109–2122.
- O’Shaughnessy, J.; Osborne, C.; Pippen, J.E.; Yoffe, M.; Patt, D.; Rocha, C.; Koo, I.C.; Sherman, B.M.; Bradley, C. Iniparib plus chemotherapy in metastatic triple-negative breast cancer. New England Journal of Medicine 2011, 364, 205–214.
- Clavadetscher, J.; Hoffmann, S.; Lilienkampf, A.; Mackay, L.; Yusop, R.M.; Rider, S.A.; Mullins, J.J.; Bradley, M. Copper catalysis in living systems and in situ drug synthesis. Angewandte Chemie 2016, 128, 15891–15895.
- Li, D.; Wu, P.; Sun, N.; Lu, Y.J.; Wong, W.L.; Fang, Z.; Zhang, K. The diversity of Heterocyclic N-oxide molecules: Highlights on their potential in organic synthesis, catalysis and drug applications. Current Organic Chemistry 2019, 23, 616–627.
- Alizadehsani, R.; Oyelere, S.S.; Hussain, S.; Calixto, R.R.; de Albuquerque, V.H.C.; Roshanzamir, M.; Rahouti, M.; Jagatheesaperumal, S.K. Explainable Artificial Intelligence for Drug Discovery and Development – A Comprehensive Survey. arXiv preprint arXiv:2309.12177 2023.
- Shahparvari, S.; Hassanizadeh, B.; Mohammadi, A.; Kiani, B.; Lau, K.H.; Chhetri, P.; Abbasi, B. A decision support system for prioritised COVID-19 two-dosage vaccination allocation and distribution. Transportation Research Part E: Logistics and Transportation Review 2022, 159, 102598.
- Shahparvari, S.; Hassanizadeh, B.; Chowdhury, P.; Lau, K.H.; Chhetri, P.; Childerhouse, P. Supply Chain Strategies to Reduce Vaccine Wastage for Disease X: A Covid-19 Case. Available at SSRN 5092993.
- Karimzadeh, R.; Arabi, H.; Dehghan, A.; Hylleholt Sillesen, M.; Gudmann Steuble Brandt, E.; Brun Andersen, M.; Thomsen, H.; Toft Nielsen, C.; Hedeager Krag, C.; Bruun, F.; et al. Search in Free-Text Radiology Report Database Using Large Language Model Cooperation. Available at SSRN 4917162.
- Ardestani, Z.Z.; Mao, E.; Krueger, R. Demystifying artificial intelligence for the global public interest: establishing responsible AI for international development through training. Journal of Integrated Global STEM 2024, 1, 142–152. [CrossRef]
- Sajjadi Mohammadabadi, S.M.; Entezami, M.; Karimi Moghaddam, A.; Orangian, M.; Nejadshamsi, S. Generative artificial intelligence for distributed learning to enhance smart grid communication. International Journal of Intelligent Networks 2024, 5, 267–274. [CrossRef]
- Lindus Health. The Future of Drug Development: Innovations and Breakthroughs, 2024.
- Busacca, C.A.; Fandrick, D.R.; Song, J.J.; Senanayake, C. The growing impact of catalysis in the pharmaceutical industry. Advanced Synthesis & Catalysis 2011, 353, 1825–1864.
- Huisman, G.W.; Collier, S.J. On the development of new biocatalytic processes for practical pharmaceutical synthesis. Current opinion in chemical biology 2013, 17, 284–292.
- Kumar, A.; Sharma, S.; Yadav, P. Green Chemistry in the Synthesis of Pharmaceuticals. Chemical Reviews 2021, 121, 1234–1275.
- Li, W.; Zhang, H.; Chen, M. Advanced Green Synthesis: Solvent-Free and Catalyst-Free Reactions. Green Synthesis and Catalysis 2024, 5, 89–102.
- Smith, J.; Lee, A.; Gupta, R. The Evolving Nature of Biocatalysis in Pharmaceutical Research and Development. JACS Au 2022, 2, 123–135.
- Brown, E.; Davis, M.; Nguyen, L. Flow Chemistry: Recent Developments in the Synthesis of Pharmaceuticals. Organic Process Research & Development 2015, 19, 1234–1245.
- Maleki, M. Studies of Ch Activation in Unsaturated Amides and Esters by Trinuclear Metal Carbonyl Clusters of Osmium. Master’s thesis, University of South Carolina, 2019.
- Khmelnitsky, Y.L.; Budde, C.; Arnold, J.M.; Usyatinsky, A.; Clark, D.S.; Dordick, J.S. Synthesis of water-soluble paclitaxel derivatives by enzymatic acylation. Journal of the American Chemical Society 1997, 119, 11554–11555.
- Kajiro, H.; Mitamura, S.; Mori, A.; Hiyama, T. A Practical Synthesis of (1S, 2R)-1-Amino-2-indanol, a Key Component of an HIV Protease Inhibitor, Indinavir. Bulletin of the Chemical Society of Japan 1999, 72, 1093–1100.
- Magano, J.; Dunetz, J.R. Large-scale applications of transition metal-catalyzed couplings for the synthesis of pharmaceuticals. Chemical Reviews 2011, 111, 2177–2250.
- Campos, K.R.; Coleman, P.J.; Alvarez, J.C.; Dreher, S.D.; Garbaccio, R.M.; Terrett, N.K.; Tillyer, R.D.; Truppo, M.D.; Parmee, E.R. The importance of synthetic chemistry in the pharmaceutical industry. Science 2019, 363, eaat0805.
- Holton, R.A.; Biediger, R.J.; Boatman, P.D. First total synthesis of taxol. 1. Functionalization of the B ring. Journal of the American Chemical Society 1994, 116, 1597–1598.
- Lin, J.H. Human immunodeficiency virus protease inhibitors: from drug design to clinical studies. Advanced drug delivery reviews 1997, 27, 215–233.
- Yang, X.; Sun, R. Progress in Transition-Metal-Catalyzed Synthesis of Benzo-Fused Oxygen-and Nitrogen Heterocyclic Compounds from Benzoic Acids. Advanced Synthesis & Catalysis 2023, 365, 124–141.
- Tsogoeva, S.B.; Schanze, K.S. Organic synthesis and catalysis enable facile access to bioactive compounds and drugs. ACS Central Science 2025, 11, 1–10.
- Wang, H.; Xie, Y.; King, R.B.; Schaefer, H.F. Remarkable aspects of unsaturation in trinuclear metal carbonyl clusters: the triiron species Fe3 (CO) n (n= 12, 11, 10, 9). Journal of the American Chemical Society 2006, 128, 11376–11384.
- Pinhas, A.R.; Albright, T.A.; Hofmann, P.; Hoffmann, R. A Class of Trinuclear Clusters with Carbonyl Bridging. Helvetica Chimica Acta 1980, 63, 29–49.
- Evans, J. Bonding properties of trinuclear metal carbonyls. Journal of the Chemical Society, Dalton Transactions 1980, pp. 1005–1011.
- Braguta, V.; Kotov, A.Y. Catalysis of dynamical chiral symmetry breaking by chiral chemical potential. Physical Review D 2016, 93, 105025.
- Mikami, K.; Yamanaka, M. Symmetry breaking in asymmetric catalysis: racemic catalysis to autocatalysis. Chemical reviews 2003, 103, 3369–3400.
- Zhang, S.; Chen, J.; Wei, B.; Zhou, H.; Hua, K.; Liu, X.; Wang, H.; Sun, Y. Efficient alkene hydroformylation by Co–C symmetry-breaking sites. Journal of the American Chemical Society 2024, 146, 6037–6044. [CrossRef]
- Etayo, P.; Vidal-Ferran, A. Rhodium-catalysed asymmetric hydrogenation as a valuable synthetic tool for the preparation of chiral drugs. Chemical Society Reviews 2013, 42, 728–754.
- Labinger, J.A.; Bercaw, J.E. Understanding and exploiting C–H bond activation. Nature 2002, 417, 507–514.
- Hartwig, J.F. Organotransition Metal Chemistry: From Bonding to Catalysis; University Science Books, 2010.
- Sato, K.; Aoki, M.; Noyori, R. A "Green" route to adipic acid: direct oxidation of cyclohexenes with 30 percent hydrogen peroxide. Science 1998, 281, 1646–1647.
- Brookhart, M.; Sabo-Etienne, S. Catalytic tail-to-tail dimerization of methyl acrylate using rhodium (III) catalysts. Journal of the American Chemical Society 1991, 113, 2777–2779.
- Oehme, G.; Grassert, I.; Mennenga, H.; Baudisch, H. On the mechanism of the Pd (II)-catalyzed dimerization and codimerization of methyl methacrylate: application of deuterium exchange experiments. Journal of molecular catalysis 1986, 37, 53–62.
- Cerón-Camacho, R.; Roque-Ramires, M.A.; Ryabov, A.D.; Le Lagadec, R. Cyclometalated Osmium Compounds and beyond: Synthesis, Properties, Applications. Molecules 2021, 26, 1563.
- Basu, D.; Kumar, S.; V, S.S.; Bandichhor, R. Transition metal catalyzed CH activation for the synthesis of medicinally relevant molecules: A Review. Journal of Chemical Sciences 2018, 130, 1–11.
- Monsigny, L.; Doche, F.; Besset, T. Transition-metal-catalyzed C–H bond activation as a sustainable strategy for the synthesis of fluorinated molecules: an overview. Beilstein Journal of Organic Chemistry 2023, 19, 448–473.
- Cano, R.; Mackey, K.; McGlacken, G.P. Recent advances in manganese-catalysed C–H activation: scope and mechanism. Catalysis Science & Technology 2018, 8, 1251–1266.
- Rogge, T.; Kaplaneris, N.; Chatani, N.; Kim, J.Q.; Chang, S.; Punji, B.; Schafer, L.L.; Musaev, D.G.; Wencel-Delord, J.; Roberts, C.A.; et al. C–H activation. Nature Reviews Methods Primers 2021, 1, 43. [CrossRef]
- Riyazahmed, K.S.; Bora, D.; Shankaraiah, N. Application of Transition Metal-Catalyzed C- H Activation Strategies in the Synthesis and Functionalization of β-Carbolines. Asian Journal of Organic Chemistry 2021, 10, 1050–1066.
- Ren, Q.; Nie, B.; Zhang, Y.; Zhang, J. Functional switch between pharmacophore and directing group and their application in drug discovery and development via C–H activation and functionalization. Chinese Journal of Organic Chemistry 2018, 38, 2465–2474. [CrossRef]
- Chelucci, G.; Baldino, S.; Baratta, W. Recent advances in osmium-catalyzed hydrogenation and dehydrogenation reactions. Accounts of chemical research 2015, 48, 363–379.
- Jonsson, S.Y.; Färnegårdh, K.; Bäckvall, J.E. Osmium-catalyzed asymmetric dihydroxylation of olefins by H2O2 using a biomimetic flavin-based coupled catalytic system. Journal of the American Chemical Society 2001, 123, 1365–1371.
- Bradford, C. Carbonyl Complexes of Osmium. Platinum Metals Review 1967, 11, 104–105.
- Corey, E.R.; Dahl, L.F. The molecular and crystal structure of Os3 (CO) 12. Inorganic Chemistry 1962, 1, 521–526.
- Sarker, J.C.; Joy, T.R.; Kabir, S.E. A review of bimetallic osmium–tin and osmium–germanium carbonyl complexes. Polyhedron 2023, 244, 116611.
- Caro-Diaz, E.J.E.; Urbano, M.; Buzard, D.J.; Jones, R.M. C–H Activation Reactions as Useful Tools for Medicinal Chemists. Bioorganic & Medicinal Chemistry Letters 2016, 26, 5378–5383. [CrossRef]
- Cernak, T.; Dykstra, K.D.; Tyagarajan, S.; Vachal, P.; Krska, S.W. The Medicinal Chemist’s Toolbox for Late Stage Functionalization of Drug-like Molecules. Chemical Society Reviews 2016, 45, 546–576. [CrossRef]
- Guillemard, L.; Kaplaneris, N.; Ackermann, L.; Johansson, M.J. Late-stage C–H Functionalization Offers New Opportunities in Drug Discovery. Nature Reviews Chemistry 2021, 5, 522–545. [CrossRef]
- Docherty, J.H.; Peng, Q.; Dominey, A.P.; Dixon, D.J.; et al. Transition-Metal-Catalyzed C–H Bond Activation for the Synthesis of Fine Chemicals. Chemical Reviews 2023, 123, 9335–9450. [CrossRef]
- Bellotti, P.; et al. Photocatalytic Late-Stage C–H Functionalization. Chemical Reviews 2023, 123, 843–939. [CrossRef]
- Li, N.; et al. A Review of Recent Advances in Electrochemical and Metal-Catalyzed Late-Stage Functionalization. Frontiers in Chemistry 2024, 12, 1450042. [CrossRef]
- Whitesell, J.K. C2 Symmetry and Asymmetric Induction. Chemical Reviews 1989, 89, 1581–1590. [CrossRef]
- Pfaltz, A.; Drury, W.J. Design of Chiral Ligands for Asymmetric Catalysis: From C2-Symmetric P,P- and N,N-Ligands to Nonsymmetrical P,N-Ligands. Proceedings of the National Academy of Sciences USA 2004, 101, 5723–5726. [CrossRef]
- Cesari, C.; Shon, J.H.; Zacchini, S.; Berben, L.A. Metal Carbonyl Clusters of Groups 8–10: Synthesis and Catalysis. Chemical Society Reviews 2021, 50, 9503–9539. [CrossRef]
- Nielsen, M.T.; Padilla Paz, R.; Nielsen, M. Homogeneous Catalysis by Organometallic Polynuclear Clusters. Journal of Cluster Science 2020, 31, 11–61. [CrossRef]
- Kozlova, S.G.; Mironov, Y.V. Chirality and Relativistic Effects in Os3(CO)12. Symmetry 2021, 13, 1021. [CrossRef]
- Davies, H.M.; Morton, D. Recent advances in C–H functionalization, 2016.
- de Jesus, R.; et al. Preparative Scale Applications of C–H Activation in Medicinal Chemistry. Angewandte Chemie International Edition 2023, 62, e202306659. [CrossRef]
- Sambiagio, C.; et al. A Comprehensive Overview of Direct (Hetero)Arylation Methods. Chemical Society Reviews 2018, 47, 6603–6743. [CrossRef]
- Liégault, B.; Lapointe, D.; Caron, L.; Vlassova, A.; Fagnou, K. Establishment of Broadly Applicable Reaction Conditions for the Palladium-Catalyzed Direct Arylation of Heteroatom-Containing Aromatic Compounds. Journal of Organic Chemistry 2009, 74, 1826–1834. [CrossRef]
- Guillemard, L.; et al. Late-Stage meta-C–H Alkylation of Pharmaceuticals Using a Directing-Template Strategy. Nature Communications 2024, 15, XXXX. Article number to be updated; see journal site.
- Obradors, C.; Mitschke, B.; Aukland, M.H.; Leutzsch, M.; Grossmann, O.; Brunen, S.; Schwengers, S.A.; List, B. Direct and Catalytic C-Glycosylation of Arenes: Expeditious Synthesis of the Remdesivir Nucleoside. Angewandte Chemie International Edition 2022, 61, e202114619.
- Matsumoto, K.; Ueda, W.; Watanabe, M. Direct Synthesis of Styrene by Rhodium-Catalyzed Oxidative Arylation of Ethylene with Benzene. Journal of Catalysis 2002, 208, 1–4.
- Vaughan, B.; et al. Single-Step Synthesis of Styrene via Oxidative Coupling of Benzene and Ethylene. Science 2015, 348, 421–426. [CrossRef]
- Bennett, M.A.; et al. Selective Formation of Styrene by Oxidative Coupling of Benzene and Ethylene Using Rhodium-Based Catalysts. Organometallics 2024, 43, 1001–1016. [CrossRef]
- Gensch, T.; Hopkinson, M.N.; Glorius, F.; Wencel-Delord, J. Mild Metal-Catalyzed C–H Activation: Examples and Concepts. Chemical Society Reviews 2016, 45, 2900–2936. [CrossRef]
- Yuan, Z.; et al. Development and Application of Decatungstate-Catalyzed C–H Fluorination and Related Transformations. Accounts of Chemical Research 2023, 56, 3127–3140. [CrossRef]
- Mulligan, C.J.; et al. Revisiting the Mechanism of the Fujiwara–Moritani Reaction. Reaction Chemistry & Engineering 2020, 5, 875–883. [CrossRef]
- Fujiwara, Y.; Moritani, I.; Danno, S.; Asano, R.; Teranishi, S. Aromatic Substitution of Olefins. VI. Arylation of Olefins with Palladium(II) Acetate. Journal of the American Chemical Society 1969, 91, 7166–7169. [CrossRef]
- Fujiwara, Y.; Asano, R.; Moritani, I.; Teranishi, S. Aromatic Substitution of Olefins. XXV. Reactivity of Benzene, Naphthalene, Ferrocene, and Furan toward Styrene. Journal of Organic Chemistry 1976, 41, 1681–1683. [CrossRef]
- Murai, S.; Kakiuchi, F.; Sekine, S.; Tanaka, Y.; Kamatani, A.; Sonoda, M.; Chatani, N. Efficient Catalytic Addition of Aromatic C–H Bonds to Olefins. Nature 1993, 366, 529–531. [CrossRef]
- Kakiuchi, F.; Sekine, S.; Tanaka, Y.; Kamatani, A.; Sonoda, M.; Chatani, N.; Murai, S. Catalytic Addition of Aromatic Carbon–Hydrogen Bonds to Olefins with the Aid of Ruthenium Complexes. Bulletin of the Chemical Society of Japan 1995, 68, 62–83. [CrossRef]
- Shilov, A.E.; Shul’pin, G.B. Activation and Catalytic Reactions of Saturated Hydrocarbons in the Presence of Metal Complexes. Chemical Reviews 1997, 97, 2879–2932. [CrossRef]
- Aime, S.; Deeming, A.J. Intramolecular nucleophilic attack at the α-carbon atom of a μ 3-alkynyl ligand in a triosmium cluster. Journal of the Chemical Society, Dalton Transactions 1983, pp. 1807–1809.
- Johnson, B.F.G.; Lewis, J. Aspects of ruthenium and osmium cluster chemistry. Philosophical Transactions of the Royal Society of London. Series A, Mathematical and Physical Sciences 1982, 308, 5–15.
- Rogge, T.; Kaplaneris, N.; Chatani, N.; Kim, J.; Chang, S.; Punji, B.; Schafer, L.L.; Musaev, D.G.; Wencel-Delord, J.; Roberts, C.A.; et al. C–H Activation. Nature Reviews Methods Primers 2021, 1, 1–31. [CrossRef]
- Cernak, T.; Dykstra, K.D.; Tyagarajan, S.; Vachal, P.; Krska, S.W. The Medicinal Chemist’s Toolbox for Late Stage Functionalization of Drug-like Molecules. Chemical Society Reviews 2016, 45, 546–576. [CrossRef]
- Wencel-Delord, J.; Glorius, F. C–H Bond Activation Enables the Rapid Construction and Late-Stage Diversification of Functional Molecules. Nature Chemistry 2013, 5, 369–375. [CrossRef]
- Castellino, N.J.; Montgomery, A.P.; Danon, J.J.; Kassiou, M. Late-stage Functionalization for Improving Drug-like Molecular Properties. Chemical Reviews 2023, 123, 8127–8153. [CrossRef]
- Kelly, C.B.; Padilla-Salinas, R. Late-stage C–H Functionalization via Chalcogen and Pnictogen Salts. Chemical Science 2020, 11, 10047–10060. [CrossRef]
- Miyaura, N.; Suzuki, A. Palladium-Catalyzed Cross-Coupling Reactions of Organoboron Compounds. Chemical Reviews 1995, 95, 2457–2483. [CrossRef]
- Suzuki, A. Cross-Coupling Reactions of Organoboranes: An Easy Way to Construct C–C Bonds. Angewandte Chemie International Edition 2011, 50, 6722–6737. [CrossRef]
- Heck, R.F. Palladium-Catalyzed Vinylation of Organic Halides. Accounts of Chemical Research 1979, 12, 146–151. [CrossRef]
- Heck, R.F. Palladium Reagents in Organic Syntheses; Academic Press: London, 1985.
- Guram, A.S.; King, A.O.; Allen, J.G.; Wang, J.C.; Schenkel, L.J.; Singer, S.M.; Bender, R.L.; O’Donnell, M.R.; Hartwig, J.F.; Buchwald, S.L. Palladium-Catalyzed Aromatic Aminations with in situ Generated Aminostannanes. Journal of Organic Chemistry 1994, 59, 6039–6044. [CrossRef]
- Driver, M.S.; Hartwig, J.F. Palladium-Catalyzed Amination of Aryl Triflates with Primary Amines. Journal of the American Chemical Society 1996, 118, 7217–7218. [CrossRef]
- Hartwig, J.F. Carbon–Heteroatom Bond Formation Catalysed by Organometallic Complexes. Nature 2008, 455, 314–322. [CrossRef]
- Caro-Diaz, E.J.; Urbano, M.; Buzard, D.J.; Jones, R.M. C–H Activation Reactions as Useful Tools for Medicinal Chemists. Bioorg. Med. Chem. Lett. 2016, 26, 5378–5383. [CrossRef]
- Basu, D.; Kumar, S.; V, S.S.; Bandichhor, R. Transition metal catalyzed C–H activation for the synthesis of medicinally relevant molecules: A Review. J. Chem. Sci. 2018, 130, 1–11. [CrossRef]
- Busacca, C.A.; Fandrick, D.R.; Song, J.J.; Senanayake, C.H. The Growing Impact of Catalysis in the Pharmaceutical Industry. Advanced Synthesis & Catalysis 2011, 353, 1825–1864. [CrossRef]
- Labinger, J.A.; Bercaw, J.E. Understanding and Exploiting C–H Bond Activation. Nature 2002, 417, 507–514. [CrossRef]
- Hartwig, J.F. Organotransition Metal Chemistry: From Bonding to Catalysis; University Science Books, 2010.
- Jönsson, S.Y.; Färnegårdh, K.; Bäckvall, J.E. Osmium-catalyzed Asymmetric Dihydroxylation of Olefins by H2O2 Using a Biomimetic Flavin-Based Coupled Catalytic System. J. Am. Chem. Soc. 2001, 123, 1365–1371. [CrossRef]
- Etayo, P.; Vidal-Ferran, A. Rhodium-catalysed Asymmetric Hydrogenation as a Valuable Synthetic Tool for the Preparation of Chiral Drugs. Chem. Soc. Rev. 2013, 42, 728–754. [CrossRef]
- Steinlandt, P.S.; Zhang, L.; Meggers, E. Metal Stereogenicity in Asymmetric Transition Metal Catalysis. Chem. Rev. 2023, 123, 4764–4794. [CrossRef]
- Pye, D.R.; Mankad, N.P. Bimetallic Catalysis for C–C and C–X Coupling Reactions. Chem. Sci. 2017, 8, 1705–1718. [CrossRef]
- Brookhart, M.; Sabo-Etienne, S. Catalytic Tail-to-Tail Dimerization of Methyl Acrylate Using Rhodium(III) Catalysts. J. Am. Chem. Soc. 1991, 113, 2777–2779. [CrossRef]
- Oehme, G.; Grassert, I.; Mennenga, H.; Baudisch, H. On the Mechanism of the Pd(II)-Catalyzed Dimerization and Codimerization of Methyl Methacrylate: Application of Deuterium Exchange Experiments. J. Mol. Catal. 1986, 37, 53–62. [CrossRef]
- Plutschack, M.B.; Pieber, B.; Gilmore, K.; Seeberger, P.H. The Hitchhiker’s Guide to Flow Chemistry. Chem. Rev. 2017, 117, 11796–11893. [CrossRef]
- Capaldo, L.; Bottecchia, C.; Ravelli, D.; Noël, T. A Field Guide to Flow Chemistry for Synthetic Organic Chemists. Chemical Science 2023, 14, 13226–13283. [CrossRef]
- Brown, E.; Davis, M.; Nguyen, L. Flow Chemistry: Recent Developments in the Synthesis of Pharmaceuticals. Org. Process Res. Dev. 2015, 19, 1234–1245. [CrossRef]
- Cao, Z.; Wang, Q.; Neumann, H.; Beller, M. Modular and Diverse Synthesis of Acrylamides by Palladium-Catalyzed Hydroaminocarbonylation of Acetylene. Angew. Chem. Int. Ed. 2024, 63, e202410597. [CrossRef]
- Rostovtsev, V.V.; Green, L.G.; Fokin, V.V.; Sharpless, K.B. A Stepwise Huisgen Cycloaddition Process: Copper(I)-Catalyzed Regioselective “Ligation” of Azides and Terminal Alkynes. Angew. Chem. Int. Ed. 2002, 41, 2596–2599. [CrossRef]
- Tornøe, C.W.; Christensen, C.; Meldal, M. Peptidotriazoles on Solid Phase: [2+3] Cycloadditions of Terminal Alkynes to Azides. J. Org. Chem. 2002, 67, 3057–3064. [CrossRef]
- Sletten, E.M.; Bertozzi, C.R. From Mechanism to Mouse: A Tale of Two Bioorthogonal Reactions. Acc. Chem. Res. 2011, 44, 666–676. [CrossRef]
- Johnson, B.F.G.; Lewis, J.; Odiaka, T.L.; Raithby, P.R. Reaction of [Os3(CO)10(NCMe)2] with Amides and Aldehydes; X-ray Crystal Structure of [Os3(CO)10(μ-H)(COCH2Ph)]. Journal of Organometallic Chemistry 1981, 216, C56–C60. [CrossRef]
- Aime, S.; Dastru, W.; Gobetto, R.; Jones, P.G.; Lanza, S.; Nervi, C.; Rossetti, R. Solution Structures and Dynamics of Acetonitrile-Substituted Trimetal Carbonyl Clusters M3(CO)12-x(NCCH3)x (M = Os; x = 1, 2). Inorganica Chimica Acta 1995, 235, 155–162.





| Drug (or Class) | Catalytic Transformation | Catalyst (Metal) |
|---|---|---|
| Varenicline (Chantix®, smoking cessation) | Dihydroxylation of a strained alkene to form a vicinal diol intermediate (Upjohn/Sharpless conditions) | OsO4 (with chiral ligand and NMO oxidant) |
| Ibrutinib (BTK inhibitor, covalent anticancer) | Acrylamide “warhead” installation via hydroaminocarbonylation of acetylene (one-step acrylamide formation) | Pd catalyst (phosphine ligand; CO + C2H2 gases) |
| Merck carbapenem (beta-lactam antibiotic candidate) | Aryl–alkenyl bond formation (Suzuki cross-coupling to assemble -lactam core) | Pd(0) (e.g. Pd(PPh3)4) |
| Anticancer natural product (Discodermolide) | Fragment coupling in polyketide assembly (Suzuki coupling of vinyl-boronate and aryl bromide) | Pd(0) with trialkylphosphine |
| Oseltamivir (Tamiflu®, antiviral) | Heterocycle diversification via late-stage hydroaminocarbonylation (introduction of acrylamide moiety) | Pd(II) (similar conditions as above) |
| Various covalent drugs (e.g. osimertinib, zanubrutinib, sotorasib) | Formation of acrylamide or alkene electrophile units (for covalent binding to protein residues) | Pd or Ni catalysis (e.g. Heck coupling or carbonylation) |
Disclaimer/Publisher’s Note: The statements, opinions and data contained in all publications are solely those of the individual author(s) and contributor(s) and not of MDPI and/or the editor(s). MDPI and/or the editor(s) disclaim responsibility for any injury to people or property resulting from any ideas, methods, instructions or products referred to in the content. |
© 2025 by the authors. Licensee MDPI, Basel, Switzerland. This article is an open access article distributed under the terms and conditions of the Creative Commons Attribution (CC BY) license (http://creativecommons.org/licenses/by/4.0/).