Submitted:
29 August 2025
Posted:
01 September 2025
You are already at the latest version
Abstract
Keywords:
1. Introduction
2. Materials and Methods
2.1. Animal Ethics Committee
2.2. Experimental Design
2.3. Isolation, Cultivation, and Characterization of Canine Adipose-Derived Mesenchymal Stem Cells
2.4. CBD-Rich Cannabis Extract
2.5. Morphology
2.6. Cell Viability
2.7. cAT-MSCs Cytokines and Neurotrophic Factors Gene Expression
2.8. Cytokine Profile
2.9. Statistical Analysis
3. Results
3.1. Morphology
3.2. Cell Viability
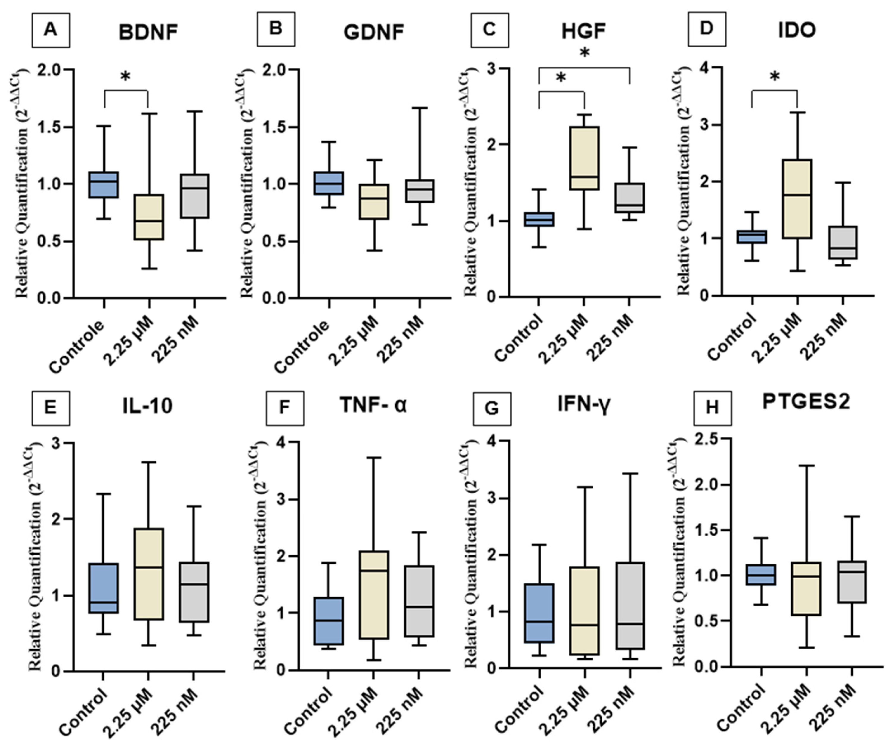
3.3. Gene Expression of Cytokines and Neurotrophic Factors
3.4. Cytokine Profile
4. Discussion
5. Conclusions
References
- Cannabis Therapy in Veterinary Medicine; Cital, S., Kramer, K., Hughston, L., Gaynor, J.S., Eds.; Springer International Publishing: Cham, 2021. ISBN 978-3-030-68316-0.
- Klahn, P. Cannabinoids-Promising Antimicrobial Drugs or Intoxicants with Benefits? Antibiotics 2020, 9, 297. [Google Scholar] [CrossRef]
- Hesami, M.; Pepe, M.; Baiton, A.; Jones, A.M.P. Current Status and Future Prospects in Cannabinoid Production through in Vitro Culture and Synthetic Biology. Biotechnol. Adv. 2023, 62, 108074. [Google Scholar] [CrossRef]
- Mechoulam, R.; Hanuš, L.O.; Pertwee, R.; Howlett, A.C. Early Phytocannabinoid Chemistry to Endocannabinoids and Beyond. Nat. Rev. Neurosci. 2014, 15, 757–764. [Google Scholar] [CrossRef]
- Duranti, A.; Beldarrain, G.; Álvarez, A.; Sbriscia, M.; Carloni, S.; Balduini, W.; Alonso-Alconada, D. The Endocannabinoid System as a Target for Neuroprotection/Neuroregeneration in Perinatal Hypoxic–Ischemic Brain Injury. Biomedicines 2022, 11, 28. [Google Scholar] [CrossRef]
- Compton, A.C.; Abhyankar, V.; Stein, S.; Tipton, D.; Dabbous, M.; Abidi, A. The Immunomodulatory Role of Phytocannabinoids in an in Vitro Peri-Implantitis Model. J. Dent. Implant Res. 2022, 41, 102–112. [Google Scholar] [CrossRef]
- Leinen, Z.J.; Mohan, R.; Premadasa, L.S.; Acharya, A.; Mohan, M.; Byrareddy, S.N. Therapeutic Potential of Cannabis: A Comprehensive Review of Current and Future Applications. Biomedicines 2023, 11, 2630. [Google Scholar] [CrossRef] [PubMed]
- Soliman, N.; Haroutounian, S.; Hohmann, A.G.; Krane, E.; Liao, J.; Macleod, M.; Segelcke, D.; Sena, C.; Thomas, J.; Vollert, J.; et al. Systematic Review and Meta-Analysis of Cannabinoids, Cannabis-Based Medicines, and Endocannabinoid System Modulators Tested for Antinociceptive Effects in Animal Models of Injury-Related or Pathological Persistent Pain. Pain 2020, 162, 26–26. [Google Scholar] [CrossRef] [PubMed]
- García-Gutiérrez, M.S.; Navarrete, F.; Gasparyan, A.; Austrich-Olivares, A.; Sala, F.; Manzanares, J. Cannabidiol: A Potential New Alternative for the Treatment of Anxiety, Depression, and Psychotic Disorders. Biomolecules 2020, 10, 1575. [Google Scholar] [CrossRef]
- Potschka, H.; Bhatti, S.F.M.; Tipold, A.; McGrath, S. Cannabidiol in Canine Epilepsy. Vet. J. 2022, 290, 105913. [Google Scholar] [CrossRef]
- Al-Khazaleh, A.K.; Zhou, X.; Bhuyan, D.J.; Münch, G.W.; Al-Dalabeeh, E.A.; Jaye, K.; Chang, D. The Neurotherapeutic Arsenal in Cannabis Sativa: Insights into Anti-Neuroinflammatory and Neuroprotective Activity and Potential Entourage Effects. Molecules 2024, 29, 410. [Google Scholar] [CrossRef]
- Faiz, M.B.; Naeem, F.; Irfan, M.; Aslam, M.A.; Estevinho, L.M.; Ateşşahin, D.A.; Alshahrani, A.M.; Calina, D.; Khan, K.; Sharifi-Rad, J. Exploring the Therapeutic Potential of Cannabinoids in Cancer by Modulating Signaling Pathways and Addressing Clinical Challenges. Discov. Oncol. 2024, 15, 490. [Google Scholar] [CrossRef]
- Sharifi, M.; Kamalabadi-Farahani, M.; Salehi, M.; Ebrahimi-Brough, S.; Alizadeh, M. Recent Perspectives on the Synergy of Mesenchymal Stem Cells with Micro/Nano Strategies in Peripheral Nerve Regeneration-a Review. Front. Bioeng. Biotechnol. 2024, 12. [Google Scholar] [CrossRef]
- Caplan, A.I.; Dennis, J.E. Mesenchymal Stem Cells as Trophic Mediators. J. Cell. Biochem. 2006, 98, 1076–1084. [Google Scholar] [CrossRef] [PubMed]
- Shammaa, R.; El-Kadiry, A.E.-H.; Abusarah, J.; Rafei, M. Mesenchymal Stem Cells Beyond Regenerative Medicine. Front. Cell and Dev. Biol. 2020, 8. [Google Scholar] [CrossRef] [PubMed]
- Mo, W.; Peng, Y.; Zheng, Y.; Zhao, S.; Deng, L.; Fan, X. Extracellular Vesicle-Mediated Bidirectional Communication between the Liver and Other Organs: Mechanistic Exploration and Prospects for Clinical Applications. J. Nanobiotechnol. 2025, 23, 190. [Google Scholar] [CrossRef]
- Shen, H.; Chen, J.; Liu, M.; Zhao, M.; Hu, D.; Xie, F.; Jin, Q.; Xiao, D.; Peng, Z.; Qin, T.; et al. Research Progress of Extracellular Vesicles Derived from Mesenchymal Stem Cells in the Treatment of Neurodegenerative Diseases. Front. Immunol. 2025, 16. [Google Scholar] [CrossRef] [PubMed]
- Teng, F.S.; de Faria Lainetti, P.; Simão Franzoni, M.; Fernando Leis Filho, A.; de Oliveira Massoco Salles Gomes, C.; Laufer-Amorim, R.; Martins Amorim, R.; Fonseca-Alves, C.E. Canine Adipose-Derived Mesenchymal Stromal Cells Reduce Cell Viability and Migration of Metastatic Canine Oral Melanoma Cell Lines In Vitro. Vet. Sci. 2024, 11, 636. [Google Scholar] [CrossRef]
- Picazo, R.A.; Rojo, C.; Rodriguez-Quiros, J.; González-Gil, A. Current Advances in Mesenchymal Stem Cell Therapies Applied to Wounds and Skin, Eye, and Neuromuscular Diseases in Companion Animals. Animals 2024, 14, 1363. [Google Scholar] [CrossRef]
- Harrell, C.R.; Djonov, V.; Volarevic, V. The Cross-Talk between Mesenchymal Stem Cells and Immune Cells in Tissue Repair and Regeneration. Int. J. Mol. Sci. 2021, 22, 2472. [Google Scholar] [CrossRef]
- Park, B.-W.; Jung, S.-H.; Das, S.; Lee, S.M.; Park, J.-H.; Kim, H.; Hwang, J.-W.; Lee, S.; Kim, H.-J.; Kim, H.-Y.; et al. In Vivo Priming of Human Mesenchymal Stem Cells with Hepatocyte Growth Factor–Engineered Mesenchymal Stem Cells Promotes Therapeutic Potential for Cardiac Repair. Sci. Adv. 2020, 6. [Google Scholar] [CrossRef]
- Barrachina, L.; Remacha, A.R.; Romero, A.; Vázquez, F.J.; Albareda, J.; Prades, M.; Gosálvez, J.; Roy, R.; Zaragoza, P.; Martín-Burriel, I.; et al. Priming Equine Bone Marrow-Derived Mesenchymal Stem Cells with Proinflammatory Cytokines: Implications in Immunomodulation–Immunogenicity Balance, Cell Viability, and Differentiation Potential. Stem Cells Dev. 2017, 26, 15–24. [Google Scholar] [CrossRef]
- Kowalczuk, A.; Marycz, K.; Kornicka-Garbowska, K.; Kornicka, J.; Bujalska-Zadrożny, M.; Groborz, S. Cannabidiol (CBD) Protects Adipose-Derived Mesenchymal Stem Cells (ASCs) against Endoplasmic Reticulum Stress Development and Its Complications. Int. J. Environ. Res. Public Health 2022, 19, 10864. [Google Scholar] [CrossRef]
- Mathew, S.A.; Chandravanshi, B.; Bhonde, R. Hypoxia Primed Placental Mesenchymal Stem Cells for Wound Healing. Life Sci. 2017, 182, 85–92. [Google Scholar] [CrossRef] [PubMed]
- Bartosh, T.J.; Ylostalo, J.H. Efficacy of 3D Culture Priming Is Maintained in Human Mesenchymal Stem Cells after Extensive Expansion of the Cells. Cells 2019, 8, 1031. [Google Scholar] [CrossRef]
- Strecanska, M.; Sekelova, T.; Csobonyeiova, M.; Danisovic, L.; Cehakova, M. Therapeutic Applications of Mesenchymal/Medicinal Stem/Signaling Cells Preconditioned with External Factors: Are There More Efficient Approaches to Utilize Their Regenerative Potential? Life Sci. 2024, 346, 122647. [Google Scholar] [CrossRef]
- Silva, R.N. da; Dias, F.C.R.; Torres, S.M. de; Silva, A.A. do N.; Alves, A. de D.F.; Alves, A.J.; Silva Júnior, V.A. da The Therapeutic Effect of the Oily Extract of Cannabis Sp. in Aluminum Chloride-Induced Alzheimer’s Disease in Rats. Rev. Eletrôn. Acervo Saúde 2024, 24, e14270. [Google Scholar] [CrossRef]
- Petrescu, N.B.; Jurj, A.; Sorițău, O.; Lucaciu, O.P.; Dirzu, N.; Raduly, L.; Berindan-Neagoe, I.; Cenariu, M.; Boșca, B.A.; Campian, R.S.; et al. Cannabidiol and Vitamin D3 Impact on Osteogenic Differentiation of Human Dental Mesenchymal Stem Cells. Medicina 2020, 56, 607. [Google Scholar] [CrossRef]
- Miller, H.; De Leo, N.; Badach, J.; Lin, A.; Williamson, J.; Bonawitz, S.; Ostrovsky, O. Role of Marijuana Components on the Regenerative Ability of Stem Cells. Cell Biochem. Funct. 2021, 39, 432–441. [Google Scholar] [CrossRef]
- Kamali, A.; Oryan, A.; Hosseini, S.; Ghanian, M.H.; Alizadeh, M.; Baghaban Eslaminejad, M.; Baharvand, H. Cannabidiol-Loaded Microspheres Incorporated into Osteoconductive Scaffold Enhance Mesenchymal Stem Cell Recruitment and Regeneration of Critical-Sized Bone Defects. Mater. Sci. Eng.: C 2019, 101, 64–75. [Google Scholar] [CrossRef] [PubMed]
- Alcantara, K.P.; Malabanan, J.W.T.; Nalinratana, N.; Thitikornpong, W.; Rojsitthisak, P.; Rojsitthisak, P. Cannabidiol-Loaded Solid Lipid Nanoparticles Ameliorate the Inhibition of Proinflammatory Cytokines and Free Radicals in an In Vitro Inflammation-Induced Cell Model. Int. J. Mol. Sci. 2024, 25, 4744. [Google Scholar] [CrossRef] [PubMed]
- Mesas, C.; Moreno, J.; Doello, K.; Peña, M.; López-Romero, J.M.; Prados, J.; Melguizo, C. Cannabidiol Effects in Stem Cells: A Systematic Review. BioFactors 2025, 51. [Google Scholar] [CrossRef] [PubMed]
- Yu, L.; Zeng, L.; Zhang, Z.; Zhu, G.; Xu, Z.; Xia, J.; Weng, J.; Li, J.; Pathak, J.L. Cannabidiol Rescues TNF-α-Inhibited Proliferation, Migration, and Osteogenic/Odontogenic Differentiation of Dental Pulp Stem Cells. Biomolecules 2023, 13, 118. [Google Scholar] [CrossRef]
- Livak, K.J.; Schmittgen, T.D. Analysis of Relative Gene Expression Data Using Real-Time Quantitative PCR and the 2−ΔΔCT Method. Methods 2001, 25, 402–408. [Google Scholar] [CrossRef]
- Martin, I.; Galipeau, J.; Kessler, C.; Le Blanc, K.; Dazzi, F. Challenges for Mesenchymal Stromal Cell Therapies. Sci. Transl. Med. 2019, 11. [Google Scholar] [CrossRef]
- Schmuhl, E.; Ramer, R.; Salamon, A.; Peters, K.; Hinz, B. Increase of Mesenchymal Stem Cell Migration by Cannabidiol via Activation of P42/44 MAPK. Biochem. Pharmacol. 2014, 87, 489–501. [Google Scholar] [CrossRef] [PubMed]
- Pan, H.; Mukhopadhyay, P.; Rajesh, M.; Patel, V.; Mukhopadhyay, B.; Gao, B.; Haskó, G.; Pacher, P. Cannabidiol Attenuates Cisplatin-Induced Nephrotoxicity by Decreasing Oxidative/Nitrosative Stress, Inflammation, and Cell Death. J. Pharmacol. Exp Ther. 2009, 328, 708–714. [Google Scholar] [CrossRef]
- Shah, P.; Holmes, K.; Chibane, F.; Wang, P.; Chagas, P.; Salles, E.; Jones, M.; Palines, P.; Masoumy, M.; Baban, B.; et al. Cutaneous Wound Healing and the Effects of Cannabidiol. Int. J. Mol. Sci. 2024, 25, 7137. [Google Scholar] [CrossRef]
- Chen, S.; Kim, J.-K. The Role of Cannabidiol in Liver Disease: A Systemic Review. Int. J. Mol. Sci. 2024, 25, 2370. [Google Scholar] [CrossRef]
- Rossi, F.; Bernardo, M.E.; Bellini, G.; Luongo, L.; Conforti, A.; Manzo, I.; Guida, F.; Cristino, L.; Imperatore, R.; Petrosino, S.; et al. The Cannabinoid Receptor Type 2 as Mediator of Mesenchymal Stromal Cell Immunosuppressive Properties. PLoS ONE 2013, 8, e80022. [Google Scholar] [CrossRef]
- Tero-Vescan, A.; Slevin, M.; Pușcaș, A.; Sita, D.; Ștefănescu, R. Targeting Epigenetic Plasticity to Reduce Periodontitis-Related Inflammation in Diabetes: CBD, Metformin, and Other Natural Products as Potential Synergistic Candidates for Regulation? A Narrative Review. Int. J. Mol. Sci. 2025, 26, 2853. [Google Scholar] [CrossRef] [PubMed]
- Rivera, P.; Romero-Zerbo, Y.; Pavón, F.J.; Serrano, A.; López-Ávalos, M.-D.; Cifuentes, M.; Grondona, J.-M.; Bermúdez-Silva, F.-J.; Fernández-Llebrez, P.; de Fonseca, F.R.; et al. Obesity-Dependent Cannabinoid Modulation of Proliferation in Adult Neurogenic Regions. Eur. J. Neurosci. 2011, 33, 1577–1586. [Google Scholar] [CrossRef]
- Qi, X.; Liu, C.; Li, G.; Luan, H.; Li, S.; Yang, D.; Zhou, Z. Investigation of in Vitro Odonto/Osteogenic Capacity of Cannabidiol on Human Dental Pulp Cell. J. Dent. 2021, 109, 103673. [Google Scholar] [CrossRef]
- Hassan, S.; Eldeeb, K.; Millns, P.J.; Bennett, A.J.; Alexander, S.P.H.; Kendall, D.A. Cannabidiol Enhances Microglial Phagocytosis via Transient Receptor Potential (TRP) Channel Activation. Br. J. Pharmacol. 2014, 171, 2426–2439. [Google Scholar] [CrossRef]
- Schouten, M.; Dalle, S.; Koppo, K. Molecular Mechanisms Through Which Cannabidiol May Affect Skeletal Muscle Metabolism, Inflammation, Tissue Regeneration, and Anabolism: A Narrative Review. Cannabis and Cannabinoid Res. 2022, 7, 745–757. [Google Scholar] [CrossRef]
- Berardis, S.; Dwisthi Sattwika, P.; Najimi, M.; Sokal, E.M. Use of Mesenchymal Stem Cells to Treat Liver Fibrosis: Current Situation and Future Prospects. World J. Gastroenterol. 2015, 21, 742. [Google Scholar] [CrossRef] [PubMed]
- Mangieri, C.W.; McCartt, J.C.; Strode, M.A.; Lowry, J.E.; Balakrishna, P.M. Perioperative Hepatocyte Growth Factor (HGF) Infusions Improve Hepatic Regeneration Following Portal Branch Ligation (PBL) in Rodents. Surg. Endosc. 2017, 31, 2789–2797. [Google Scholar] [CrossRef]
- Vidal, R.; Pilar-Cuellar, F.; dos Anjos, S.; Linge, R.; Treceno, B.; Ines Vargas, V.; Rodriguez-Gaztelumendi, A.; Mostany, R.; Castro, E.; Diaz, A.; et al. New Strategies in the Development of Antidepressants: Towards the Modulation of Neuroplasticity Pathways. Curr. Pharm. Des. 2011, 17, 521–533. [Google Scholar] [CrossRef]
- Galve-Roperh, I.; Aguado, T.; Palazuelos, J.; Guzman, M. Mechanisms of Control of Neuron Survival by the Endocannabinoid System. Curr. Pharm. Des. 2008, 14, 2279–2288. [Google Scholar] [CrossRef] [PubMed]
- Rodrigues da Silva, N.; Gomes, F.V.; Sonego, A.B.; Silva, N.R. da; Guimarães, F.S. Cannabidiol Attenuates Behavioral Changes in a Rodent Model of Schizophrenia through 5-HT1A, but Not CB1 and CB2 Receptors. Pharmacol. Res. 2020, 156, 104749. [Google Scholar] [CrossRef]
- Elmes, M.W.; Kaczocha, M.; Berger, W.T.; Leung, K.; Ralph, B.P.; Wang, L.; Sweeney, J.M.; Miyauchi, J.T.; Tsirka, S.E.; Ojima, I.; et al. Fatty Acid-Binding Proteins (FABPs) Are Intracellular Carriers for Δ9-Tetrahydrocannabinol (THC) and Cannabidiol (CBD). J. Biol. Chem. 2015, 290, 8711–8721. [Google Scholar] [CrossRef] [PubMed]
- Giacoppo, S.; Pollastro, F.; Grassi, G.; Bramanti, P.; Mazzon, E. Target Regulation of PI3K/Akt/mTOR Pathway by Cannabidiol in Treatment of Experimental Multiple Sclerosis. Fitoterapia 2017, 116, 77–84. [Google Scholar] [CrossRef]
- Guo, Y.; Liu, Y.; Wu, W.; Ling, D.; Zhang, Q.; Zhao, P.; Hu, X. Indoleamine 2,3-Dioxygenase (Ido) Inhibitors and Their Nanomedicines for Cancer Immunotherapy. Biomaterials 2021, 276, 121018. [Google Scholar] [CrossRef]
- Lee, H.-J.; Jung, H.; Kim, D.-K. IDO and CD40 May Be Key Molecules for Immunomodulatory Capacity of the Primed Tonsil-Derived Mesenchymal Stem Cells. Int. J. Mol. Sci. 2021, 22, 5772. [Google Scholar] [CrossRef] [PubMed]
- von Fournier, A.; Würflein, E.; Moratin, H.; Stöth, M.; Ehret Kasemo, T.; Herrmann, M.; Goncalves, M.; Hagen, R.; Hackenberg, S.; Gehrke, T.; et al. Cisplatin-Mediated IL-6 and IDO1 Suppression in Mesenchymal Stromal Cells: Implications for Tumor Microenvironment Modulation In Vitro. Curr. Issues Mol. Biol. 2025, 47, 231. [Google Scholar] [CrossRef]
- Pagano, S.; Coniglio, M.; Valenti, C.; Federici, M.I.; Lombardo, G.; Cianetti, S.; Marinucci, L. Biological Effects of Cannabidiol on Normal Human Healthy Cell Populations: Systematic Review of the Literature. Biomed. Pharmacother. 2020, 132, 110728. [Google Scholar] [CrossRef]
- Aziz, A.; Nguyen, L.C.; Oumeslakht, L.; Bensussan, A.; Ben Mkaddem, S. Cannabinoids as Immune System Modulators: Cannabidiol Potential Therapeutic Approaches and Limitations. Cannabis and Cannabinoid Res. 2022. [Google Scholar] [CrossRef]
- Nichols, J.M.; Kaplan, B.L.F. Immune Responses Regulated by Cannabidiol. Cannabis and Cannabinoid Res. 2020, 5, 12–31. [Google Scholar] [CrossRef]
- Khodadadi, H.; Salles, É.L.; Alptekin, A.; Mehrabian, D.; Rutkowski, M.; Arbab, A.S.; Yeudall, W.A.; Yu, J.C.; Morgan, J.C.; Hess, D.C.; et al. Inhalant Cannabidiol Inhibits Glioblastoma Progression Through Regulation of Tumor Microenvironment. Cannabis and Cannabinoid Res. 2023, 8, 824–834. [Google Scholar] [CrossRef]
- Gu, Z.; Singh, S.; Niyogi, R.G.; Lamont, G.J.; Wang, H.; Lamont, R.J.; Scott, D.A. Marijuana-Derived Cannabinoids Trigger a CB2/PI3K Axis of Suppression of the Innate Response to Oral Pathogens. Front. Immunol. 2019, 10. [Google Scholar] [CrossRef] [PubMed]
- Kozela, E.; Juknat, A.; Kaushansky, N.; Rimmerman, N.; Ben-Nun, A.; Vogel, Z. Cannabinoids Decrease the Th17 Inflammatory Autoimmune Phenotype. J. Neuroimmune Pharmacol. 2013, 8, 1265–1276. [Google Scholar] [CrossRef] [PubMed]
- Nizzoli, G.; Larghi, P.; Paroni, M.; Crosti, M.C.; Moro, M.; Neddermann, P.; Caprioli, F.; Pagani, M.; De Francesco, R.; Abrignani, S.; et al. IL-10 Promotes Homeostatic Proliferation of Human CD8 + Memory T Cells and, When Produced by CD1c + DCs, Shapes Naive CD8 + T-Cell Priming. Eur. J. Immunol. 2016, 46, 1622–1632. [Google Scholar] [CrossRef] [PubMed]
- Carlini, V.; Noonan, D.M.; Abdalalem, E.; Goletti, D.; Sansone, C.; Calabrone, L.; Albini, A. The Multifaceted Nature of IL-10: Regulation, Role in Immunological Homeostasis and Its Relevance to Cancer, COVID-19 and Post-COVID Conditions. Front. Immunol. 2023, 14. [Google Scholar] [CrossRef]
- Suryavanshi, S.V.; Zaiachuk, M.; Pryimak, N.; Kovalchuk, I.; Kovalchuk, O. Cannabinoids Alleviate the LPS-Induced Cytokine Storm via Attenuating NLRP3 Inflammasome Signaling and TYK2-Mediated STAT3 Signaling Pathways In Vitro. Cells 2022, 11, 1391. [Google Scholar] [CrossRef] [PubMed]
- Li, W.; Liu, Q.; Shi, J.; Xu, X.; Xu, J. The Role of TNF-α in the Fate Regulation and Functional Reprogramming of Mesenchymal Stem Cells in an Inflammatory Microenvironment. Front. Immunol. 2023, 14. [Google Scholar] [CrossRef]
- Walker, F.C.; Sridhar, P.R.; Baldridge, M.T. Differential Roles of Interferons in Innate Responses to Mucosal Viral Infections. Trends Immunol. 2021, 42, 1009–1023. [Google Scholar] [CrossRef]
- Peyravian, N.; Deo, S.; Daunert, S.; Jimenez, J.J. The Anti-Inflammatory Effects of Cannabidiol (CBD) on Acne. J. Inflamm. Res. 2022, Volume 15, 2795–2801. [Google Scholar] [CrossRef]
- Abame, M.A.; He, Y.; Wu, S.; Xie, Z.; Zhang, J.; Gong, X.; Wu, C.; Shen, J. Chronic Administration of Synthetic Cannabidiol Induces Antidepressant Effects Involving Modulation of Serotonin and Noradrenaline Levels in the Hippocampus. Neurosci. Lett. 2021, 744, 135594. [Google Scholar] [CrossRef]
- Ma, H.; Xu, F.; Liu, C.; Seeram, N.P. A Network Pharmacology Approach to Identify Potential Molecular Targets for Cannabidiol’s Anti-Inflammatory Activity. Cannabis and Cannabinoid Res. 2021, 6, 288–299. [Google Scholar] [CrossRef]
- Ke, J.; Yang, Y.; Che, Q.; Jiang, F.; Wang, H.; Chen, Z.; Zhu, M.; Tong, H.; Zhang, H.; Yan, X.; et al. Prostaglandin E2 (PGE2) Promotes Proliferation and Invasion by Enhancing SUMO-1 Activity via EP4 Receptor in Endometrial Cancer. Tumor Biol. 2016, 37, 12203–12211. [Google Scholar] [CrossRef]
- Rausch, S.M.; Gonzalez, B.D.; Clark, M.M.; Patten, C.; Felten, S.; Liu, H.; Li, Y.; Sloan, J.; Yang, P. SNPs in PTGS2 and LTA Predict Pain and Quality of Life in Long Term Lung Cancer Survivors. Lung Cancer 2012, 77, 217–223. [Google Scholar] [CrossRef] [PubMed]
- Bacalia, K.M.A.; Tveter, K.M.; Palmer, H.; Douyere, J.; Martinez, S.; Sui, K.; Roopchand, D.E. Cannabidiol Decreases Intestinal Inflammation in the Ovariectomized Murine Model of Postmenopause. Biomedicines 2022, 11, 74. [Google Scholar] [CrossRef] [PubMed]
- Esposito, L.G.A.; Overbaugh, E.; Xiong, J.; Rathinasabapathy, T.; Komarnytsky, S.; da Silva, D.J.H.; Esposito, D.A. Immune Responses Are Differentially Regulated by Root, Stem, Leaf, and Flower Extracts of Female and Male CBD Hemp (Cannabis Sativa L.) Plants. Immuno 2021, 1, 369–379. [Google Scholar] [CrossRef]
- Hellmann, J.; Tang, Y.; Zhang, M.J.; Hai, T.; Bhatnagar, A.; Srivastava, S.; Spite, M. Atf3 Negatively Regulates Ptgs2/Cox2 Expression during Acute Inflammation. Prostaglandins Other Lipid Mediat. 2015, 116–117, 49–56. [Google Scholar] [CrossRef]
- Joffre, J.; Yeh, C.-C.; Wong, E.; Thete, M.; Xu, F.; Zlatanova, I.; Lloyd, E.; Kobzik, L.; Legrand, M.; Hellman, J. Activation of CB1R Promotes Lipopolysaccharide-Induced IL-10 Secretion by Monocytic Myeloid-Derived Suppressive Cells and Reduces Acute Inflammation and Organ Injury. J. Immunol. 2020, 204, 3339–3350. [Google Scholar] [CrossRef] [PubMed]
- Jin, Q.-H.; Kim, H.-K.; Na, J.-Y.; Jin, C.; Seon, J.-K. Anti-Inflammatory Effects of Mesenchymal Stem Cell-Conditioned Media Inhibited Macrophages Activation in Vitro. Sci. Rep. 2022, 12, 4754. [Google Scholar] [CrossRef]
- Gornostaeva, A.; Andreeva, E.; Buravkova, L. Inflammatory Priming of Mesenchymal Stem Cells: Focus on Growth Factors Enhancement. BIOCELL 2022, 46, 2049–2052. [Google Scholar] [CrossRef]
- Sadeghi, M.; Moghaddam, A.; Amiri, A.M.; Charoghdoozi, K.; Mohammadi, M.; Dehnavi, S.; Orazizadeh, M. Improving the Wound Healing Process: Pivotal Role of Mesenchymal Stromal/Stem Cells and Immune Cells. Stem Cell Rev. Rep. 2025, 21, 680–697. [Google Scholar] [CrossRef] [PubMed]




| Gene | Forward | Reverse |
| BDNF | GTGTCGAAAGGCCAACTGAAG | CGTGTAACCCATGGGATTGC |
| GDNF | GGTTTGCTACAGCCAGCAGTT | CGCACCATGTTCAAAATCCA |
| HGF | ATGGTTCTTGGCGTCATTGTT | AATGCCAGGACGATTTGGAA |
| IL-10 | CCCAGGATGGCAACTCTTCTC | CGGGATGGTATTTTGCAGATC |
| IDO | TGTGGACCCAAGCACGTTTT | AGTTGCCTTTCCAACCAGACA |
| PTGES2 | GCCTGCAGCTGACCCTGTA | CACGGACCTTGCTGCAGAA |
| IFN-γ | TCTCACCAAGATCCAACC TAAGG | TGCGGCCTCGAAACAGA |
| TNF-α | TGGAATCATTGCCCTGTAAGG | TGATCAAAGGGTCGGTTTGG |
| HPRT | CGGCTTGCTCGAGATGTGAT | GCACACAGAGGGCTATGT |
| RPS5 | GAGGCCTCAGGCTGTCGAT | AGCCAAATGGCCTGATTCAC |
| RPS19 | GGGTCCTCCAAGCCCTAGAG | CGGCCCCCATCTTGGT |
Disclaimer/Publisher’s Note: The statements, opinions and data contained in all publications are solely those of the individual author(s) and contributor(s) and not of MDPI and/or the editor(s). MDPI and/or the editor(s) disclaim responsibility for any injury to people or property resulting from any ideas, methods, instructions or products referred to in the content. |
© 2025 by the authors. Licensee MDPI, Basel, Switzerland. This article is an open access article distributed under the terms and conditions of the Creative Commons Attribution (CC BY) license (http://creativecommons.org/licenses/by/4.0/).
