Preprint
Article

This version is not peer-reviewed.

A Method for Solving and Simplifying a Class of Radical Infinite Products

Submitted:

17 August 2025

Posted:

20 August 2025

You are already at the latest version

Abstract
In this paper, the author conducts an in-depth study of a radical infinite product of the form \( \displaystyle \prod_{k=a}^{\infty}f(k)^{2^{-k}}=\sqrt{f(a)\sqrt{f(a+1)\sqrt{f(a+2)\cdots}}} \). The convergence of this expression is briefly discussed. A method for simplifying such infinite products is proposed. By exploring cases where \(f(x)\) represents hyperbolic functions, trigonometric functions, and complex-valued functions, the Dobinski identity is reproduced and generalized. Furthermore, leveraging Weierstrass's theorem and special functions, a relationship is established between this form of infinite nested radical and general infinite products.
Keywords: 
;  ;  ;  

1. Introduction

Infinite products, as a core tool in mathematical analysis, have demonstrated profound applications in areas such as the theory of special functions and analytic number theory since the time of Euler and Weierstrass. Classical theory primarily focuses on products of the form n ( 1 + a n ) , while systematic research on infinite nested radicals (of the form a 1 a 2 a 3 ) remains largely unexplored. This paper introduces a novel type of operator—the continued radical—denoted by R k = a f ( k ) R k = a f ( k ) , rigorously defined as a generalization of the limit lim n f ( a ) f ( a + 1 ) f ( a + n ) . And we call f ( a + k ) partial radicand. Centering on this operator, we establish a tripartite theoretical framework of high innovativeness: 1. Foundational Theory: Convergence criteria are established (Section 2, related to the series k 2 k ln | f ( k ) | ), and fundamental operational rules for continued radicals are proven Equations (1), (2), (3).
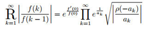
2. Core Tool: The characteristic function ρ ( x ) = R k = 1 ( k + x ) Equation (4) is introduced. Its relationships with the Lerch transcendent and Somos’s quadratic recurrence constant are revealed, along with its recurrence property ρ ( a ) = ρ ( a 1 ) 2 / a Equation (6). A crucial formula—the Product Lemma Equation (9)—is derived:
R k = 1 f ( k ) = R k = 1 f ( k ) f ( k 1 ) 2
This lemma enables closed-form representations of combinatorial structures like factorials and double factorials (Examples 1, 2, 3).
3. Function Construction Theory: The operator is extended to the complex domain. A complex continued radical transformation formula p = p e i π μ (where μ = b k < 0 2 k ) is established and applied to trigonometric/hyperbolic functions: * Concise expressions are obtained, such as R k = 0 tanh ( 2 k x ) = 1 e 4 x Equation (14). * Dobinski’s identity R k = 0 | tan ( 2 k z ) | = 4 sin 2 z Equation (20) is rediscovered, and new identities are derived: 1 2 R k = 1 1 + sec 2 k z = | cos z | Equation (22), 1 2 R k = 1 | tan ( 2 k 1 z ) | = | sin z | Equation (23).
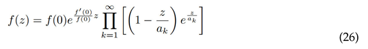
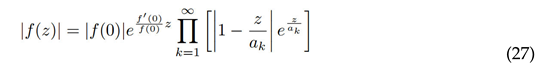
This paper further constructs a profound connection between continued radicals and Weierstrass infinite products (Theorem 1), providing a continued radical factorization for entire functions f ( z ) :
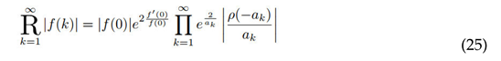
R k = 1 | f ( k ) | = | f ( 0 ) | e 2 f ( 0 ) f ( 0 ) k = 1 e 1 / a k ρ ( a k ) a k
This framework offers novel analytical perspectives on classical functions such as sin z z Example (5) and the Gamma function Proposition (1).

2. Basic Operational Rules and Convergence of the Continued Radical

The continued radical owns the following basic operational rules:
  • R k = a f ( k ) g ( k ) = R k = a f ( k ) · R k = a g ( k )
    We could interpret it according to the meaning of the radical.
  • R k = a c = c , c is a constant
    Taking the logarithm of the product into a series R k = a c = k = a c 2 k = exp k = a ln c 2 k = c .QED
  • R k = a c f ( k ) = c R k = a f ( k ) , c is a constant
    According to 1 and 2, we can prove it easily.

2.1. The convergence of the continued radical

It’s not difficult to find that the convergence of P = R k = 1 f ( k ) f ( k ) > 0 Equivalent to the convergence of S = k = 1 ln f ( k ) 2 k . According to D’Alembert’s test, we can know that if lim n f ( n + 1 ) 2 f ( n ) < 1 . The continued radical converges.
Unless otherwise specified, all infinite products and continued radicals mentioned hereafter are assumed to be convergent.

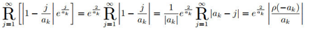
3. ρ ( x ) Function and Somos’s Quadratic Constant

We define a function :
ρ ( x ) : = R k = 1 ( k + x ) ( x 1 )
It’s easy to know that ρ ( x ) can also be express as:
ρ ( x ) = exp s Φ ( 1 2 , s , x ) s = 0
where Φ ( z , s , a ) = n = 0 z n ( a + n ) s is the Lerch function. We could get the recursive formula by radical meaning:
ρ ( a ) = [ ρ ( a 1 ) ] 2 a
or can be rigorously proven via the following Product Lemma 9 as well.
Figure 1.
Figure 1.
Preprints 172797 g001
Figure 2.
Figure 2.
Preprints 172797 g002
Specially, while x = 0 , ρ ( x ) = σ ,where σ is Somos’s Quadratic Recurrence Constant [1], it be defined as σ : = 1 2 3 = 1.661687 .By Equation (6) we can get:
ρ ( a ) = σ k = 1 a k 2 k 2 a , a N .
Lemma 1.
For the function f ( x ) > 0 , x N , the following holds:
R k = 1 f ( k ) = R k = 1 φ ( k ) 2
Proof. Consider the continued radical p = R k = 1 g ( k ) , q = R k = 1 g ( k 1 ) ,where g ( k ) > 0 , k Z ,According to the definition:
p = g ( 1 ) g ( 2 ) g ( 3 )
q = g ( 0 ) g ( 1 ) g ( 2 )
Therefore q 2 = g ( 0 ) g ( 1 ) g ( 2 ) g ( 3 ) = g ( 0 ) p , so that
R k = 1 g ( k 1 ) 2 = g ( 0 ) R k = 1 g ( k )
shift items and multiplying both sides by R k = 1 g ( k ) yields
R k = 1 g ( k ) [ R k = 1 g ( k 1 ) ] 2 = 1 g ( 0 )
g ( 0 ) R k = 1 g ( k ) g ( k 1 ) 2 = R k = 1 g ( k )
Let f ( n ) = g ( n ) g ( 0 ) . Observing that u ( 0 ) k = 1 n u ( k ) u ( k 1 ) = u ( n ) , u ( x ) > 0 , because k = 1 n φ ( k ) = f ( n ) , therefore let φ ( n ) = f ( n ) f ( n 1 ) = g ( n ) / g ( 0 ) g ( n 1 ) g ( 0 ) = g ( n ) g ( n 1 ) ,Substitute the two functions into the equation yields
g ( 0 ) R k = 1 φ ( k ) 2 = R k = 1 g ( 0 ) f ( k )
R k = 1 φ ( k ) 2 = R k = 1 f ( k )
In the following text, we refer to this lemma as the Product Lemma.
Example 1.
Calculate R k = 1 k ! :
According to Product Lemma, we could know that: R k = 1 k ! = R k = 1 k ! ( k 1 ) ! 2 = σ 2
Example 2.
Calculate R k = 1 k ! ! :
By the relationship between factorial with double factorial n ! = n ! ! ( n 1 ) ! ! yieldsPreprints 172797 i001
Let P = R k = 1 k ! ! , therefore we can get R k = 1 ( k 1 ) ! ! = P . P · P = σ 2 ,Solve it : P = σ 4 3
Example 3.
Calculate R k = 1 ( 2 k ) ! ! :
Let f ( k ) = ( 2 k ) ! ! . According to Equation (9), we know that it equals
f ( 0 ) R k = 1 f ( k ) f ( k 1 ) 2 = R k = 1 ( 2 k ) ! ! ( 2 k 2 ) ! ! 2 = R k = 1 2 k 2 = 4 σ 2
Example 4.
Calculate R k = 1 c k , cis a constant:
Let f ( k ) = c k ,According to Equation (9) we could know that it equals to
f ( 0 ) R k = 1 f ( k ) f ( k 1 ) 2 = R k = 1 c k c k 1 2 = c 2
Corollary 1.
For f ( x ) > 0 , x Z , let F n ( x ) = j = 0 n f ( x j ) ( 1 ) j n j , and the following holds:
R k = 1 f ( k ) = k = 1 n 1 F k ( 0 ) 2 k R k = 1 F n ( k ) 2 n
Proof. Consider function : f ( x ) > 0 , x Z , and let F n ( x ) = F n 1 ( x ) F n 1 ( x 1 ) , F 0 ( x ) = f ( x ) . By iteratively applying the Product Lemma to the continued radical R k = 1 f ( k ) , we obtain: R k = 1 f ( k ) = F 0 ( 0 ) R k = 1 F 1 ( k ) 2 = F 0 ( 0 ) F 1 2 ( 0 ) R k = 1 F 2 ( k ) 4 = F 0 ( 0 ) F 1 2 ( 0 ) F 2 2 ( 0 ) R k = 1 F 3 ( k ) 8
Thus, we can easily deduce by induction:
R k = 1 f ( k ) = k = 0 n 1 F k ( 0 ) 2 k R k = 1 F n ( k ) 2 n , n N
Next, we should prove F n ( x ) = j = 0 N f ( x j ) ( 1 ) j n j : Observing that, while n = 0 , the formula holds. Assuming the formula holds for n = N ,Therefore F N ( x ) = j = 0 N f ( x j ) ( 1 ) j N j , thus F N ( x 1 ) = j = 0 f ( x j 1 ) ( 1 ) j N j .According to the definition to F n ( x ) , we could get:
F N + 1 ( x ) = j = 0 N f ( x j ) ( 1 ) j N j j = 0 N f ( x j 1 ) ( 1 ) j N j
F N + 1 ( x ) = j = 0 N f ( x j ) ( 1 ) j N j · j = 1 N + 1 f ( x j ) ( 1 ) j N j 1 = f ( x 0 ) ( 1 ) 0 N 0 j = 1 N f ( x j ) ( 1 ) j N j · j = 1 N f ( x j ) ( 1 ) j N j 1 · f [ x ( N + 1 ) ] ( 1 ) N + 1 N N = f ( x 0 ) ( 1 ) 0 N 0 j = 1 N f ( x j ) ( 1 ) j N + 1 j · f [ x ( N + 1 ) ] ( 1 ) N + 1 N N = j = 0 N + 1 f ( x j ) ( 1 ) j N + 1 j
Corollary 2.
For function f ( k ) , k N , if f ( k ) n k is well-defined within the real number domain, the following holds:
Proof. Consider p = k = 1 f ( k ) , q = k = 1 f ( k 1 ) , therefore:
p = ( f ( 1 ) ( f ( 2 ) ) n ) n
q = ( f ( 0 ) ( f ( 1 ) ) n ) n
Thus q 1 / n = f ( 0 ) p ,
k = 1 f ( k 1 ) n k 1 / n = f ( 0 ) k = 1 f ( k ) n k
Shift items and multiplying both sides by k = 1 f ( k ) n k 1 / n 1 yields
k = 1 f ( k ) n k k = 1 f ( k 1 ) n k 1 / n = 1 f ( 0 ) Preprints 172797 i019

4. Trigonometric and Hyperbolic Continued Radical

For a function f ( x ) , If is well-defined within x N * , we call R k = 1 f ( k ) is the constructed continued radical of f ( x ) . And we call the process "construct the function into continued radicals".For example, Somos’s constant σ could be regarded as the constructed continued radical of f ( n ) = n .
Lemma 2.
R k = 1 1 + x 2 k 1 x 2 k = 1 1 x 2 , | x | < 1
The proof can be found in [2], and we omit further elaboration here.

4.1. Construct the hyperbolic function into continued radicals

According to the properties of hyperbolic function coth z = e z + e z e z e z yields 1 + c 2 x 1 c 2 x = coth 2 x 1 ln c
By Equation (8) we could get:
R k = 1 coth 2 k 1 ln c = 1 1 c 2
Substituting c = e 2 x yields:
R k = 1 coth ( 2 k x ) = 1 1 e 4 x
Correspondingly,
R k = 1 tanh ( 2 k x ) = 1 e 4 x

4.2. Complex continued radical

In this subsection, we only require the partial radicand to be a nonzero real number. This implies that the result of continued radicals is complex. We refer to such expressions as complex continued radicals, which will be thoroughly discussed in this subsection. In contrast, the previously discussed cases with real-valued outcomes are termed real continued radicals.

4.2.1. The relationship between complex and real continued radicals

For real continued radical p = R k = 1 a k , where a k > 0 .Consider the sequence | b k | = a k , b k < 0 . Let p = R k = 1 b k . We decompose p into two components based on the sign of the partial radicands:
p = R k = 1 b k = R b k < 0 b k R b k > 0 b k = R b k < 0 ( a k ) R b k > 0 a k
Extracting the ( 1 ) factor and converting it into multiplicative form yields:
p = p b k < 0 ( 1 ) 2 k
Observing that ( 1 ) 2 k = i 2 1 k = e 2 k i π , thus
p = p e i π b k < 0 2 k
Let μ = b k < 0 2 k , and we call μ the transformational of b k . Therefore:
p = p cos π μ + i p sin π μ
In other words,
p = R e ( p ) cos π μ = I m ( p ) sin π μ
We could know 0 < μ 1 , while μ = 1 , p = p . Transforming the above expression, we obtain:
R e ( p ) cos π μ = I m ( p ) sin π μ I m ( p ) cos π μ = R e ( p ) sin π μ R e ( p ) sin π μ I m ( p ) cos π μ = 0
According to the auxiliary angle formula, we could get: sin ( π μ + φ ) = 0 , where φ = arctan I m ( p ) R e ( p ) , thus:
π μ + φ = k π μ = k φ π , k Z
Because 0 < μ 1 , therefore
μ = { 1 π arctan I m ( p ) R e ( p ) }
In it, { a } denotes the fractional part of a.

4.3. Real-complex transformation for continued radicals

In subsection Construct the hyperbolic function into radical, we got the constructed continued radical of tanh ( 2 k x ) . According to the properties of hyperbolic function: tanh x = i tan i x , we could get:
R k = 1 tan ( 2 k z ) = i 1 e 4 i z
Expanding via Euler’s formula, we obtain:
R k = 1 tan ( 2 k z ) = sin 4 z + i 1 cos 4 z
To convert it into a real radical product, we take the absolute value of the inner function:
R k = 1 | tan ( 2 k z ) | = sin 4 z cos π μ = 1 cos 4 z sin π μ
By the derivation of Equation (18), we can easily get:
μ = { 2 z π }
Substituting into the original expression yields:
R k = 1 | tan ( 2 k z ) | = sin 4 z cos π 2 z π = 1 cos 4 z sin π 2 z π
where π 2 z π is a periodic function with π 2 as its period. For z [ t π 2 , ( t + 1 ) π 2 ) , π 2 z π equivalent to 2 z t π , therefore
cos sin π 2 z π = cos sin 2 z z [ t π , t π + π 2 ) cos sin 2 z z [ t π π 2 , t π )
Observing that:
| tan x | = tan x x [ t π , t π + π 2 ) tan x x [ t π π 2 , t π )
we may introduce a factor of | tan z | into the original expression:
| tan z | R k = 1 | tan ( 2 k z ) | = tan z sin 4 z cos 2 z = tan z 1 cos 4 z sin 2 z
Simplifying, we obtain:
R k = 0 | tan ( 2 k z ) | = 4 sin 2 z
Or we do not introduce | tan z | . Since the result of the square root is non-negative, we can also derive:Preprints 172797 i002
This result coincides precisely with the infinite product identity proposed by Dobinski nearly 150 years ago [3]. In this paper, we have derived the same result through a novel approach.

4.4. Extending Trigonometric continued radicals via the Product Lemma

Corollary 3.
In the preceding subsection, we derived
R k = 1 | tan ( 2 k z ) | = | 1 cos 4 z sin 2 z | = 4 sin 2 z | tan z |
By applying the Product Lemma to the continued radical, and let f ( k ) = | tan ( 2 k z ) | , we obtain:
R k = 1 | tan ( 2 k z ) | = | tan z | R k = 1 f ( k ) f ( 0 ) = | tan z | R k = 1 f ( k ) f ( k 1 ) 2
And,
f k f k 1 = tan 2 k z tan 2 k 1 z = 2 1 tan 2 2 k 1 z
Substituting and simplifying yields :
4 | tan z | R k = 1 1 | 1 tan 2 2 k 1 z | 2 = R k = 1 | tan ( 2 k z ) |
R k = 1 1 | 1 tan 2 2 k 1 z | = cos z
Applying the half-angle formula, we may further simplify the left-hand side:
1 tan 2 2 k 1 z = 1 tan 2 2 k z 2 = 1 1 cos 2 k z 1 + cos 2 k z = 2 cos 2 k z 1 + cos 2 k z
Therefore,
1 2 R k = 1 1 + sec 2 k z = | cos z |
Corollary 4.
Dividing the result from Example 3, 1 2 R k = 1 1 + sec 2 k z = | cos z | , by Equation (21)
R k = 1 | tan ( 2 k z ) | = 4 tan z cos 2 z :
1 2 R k = 1 x tan 2 k z 1 + sec 2 k z = | sin z |
Simplifying gives:
tan 2 k z 1 + sec 2 k z = tan 2 k z 1 + 1 cos 2 k z = sin 2 k z 1 + cos 2 k z = tan 2 k 1 z
Finally, we obtain:
1 2 R k = 1 | tan 2 k 1 z | = | sin z |
We may also employ the generalized Product Lemma 1 to further derive trigonometric nested radicals, with details to be presented later.

4.5. In summary

Table 1.
R k = 1 tanh ( 2 k x ) = 1 e 4 x R k = 1 coth ( 2 k x ) = 1 1 e 4 x
p = p e i π μ , μ = b k < 0 2 k = { 1 π arctan I m ( p ) R ( p ) } R k = 0 | tan 2 k z | = 4 sin 2 z
1 2 R k = 1 | 1 + sec 2 k z | = | cos z | 1 2 R k = 1 | tan 2 k 1 z | = | sin z |

5. The Relationship Between Continued Radical with Common Infinite Product

Lemma 3.
R k = 1 j = 1 n φ ( k , j ) = k = 1 n R j = 1 φ ( j , k )
Proof. According to the radical meaning, we could get:
R k = 1 j = 1 n φ ( k , j ) = φ ( 1 , 1 ) φ ( 1 , 2 ) φ ( 1 , n ) φ ( 2 , 1 ) φ ( 2 , 2 ) φ ( 2 , n )
Then the continued radical can also be expressed as:
φ ( 1 , 1 ) φ ( 2 , 1 ) · φ ( 1 , 2 ) φ ( 2 , 2 ) · φ ( 1 , 3 ) φ ( 2 , 3 ) φ ( 1 , n ) φ ( 2 , n )
This lemma still holds while n .
Theorem 1.
Let f ( z ) be an entire function with only non-zero simple zeros at a 1 , a 2 , , satisfying lim n a n = . Suppose there exists a sequence of contours { C m } on which f ( z ) f ( z ) < M , where M is a positive constant independent of m. Then, the following holds:Preprints 172797 i003
Proof.According to the Weierstrass factorization theorem [4], if a function satisfies the above conditions, it can be expanded as an infinite product:Preprints 172797 i004
Then | f ( z ) | must satisfy:Preprints 172797 i005
Construct both sides of the equation into continued radicals:Preprints 172797 i006
| f ( 0 ) | on the left side could be regarded as a constant, so that we could factor it out. e f ( 0 ) f ( 0 ) k could be regard as the situation of Example 4:Preprints 172797 i007
According to Lemma 3, swapping the continued radical product symbol with the product symbol, and interchanging indices k and j, we obtain:Preprints 172797 i008
Simplifying the continued radical on the left-hand side of the equation yields:Preprints 172797 i009
Substituting back into the original equation completes the proof. □
Example 5.
Express R k = 1 sin z z as an infinite product:
We could note that sin z z meets the requirements of Theorem 1. And the zeros of sin z z are ± n π , n Z * . Substituting into the theorem yields:Preprints 172797 i010
Furthermore, we can factor out 1 k to obtain:Preprints 172797 i011
Corollary 5.
According to the Theorem 1Preprints 172797 i012
Applying the Product Lemma to the left-hand side of the equation yields:Preprints 172797 i013
Simplifying and rearranging gives:Preprints 172797 i014
Corollary 6.
If function f ( z ) meets the requirements of Theorem 1, and f ( ω z + t ) meets the requirements as well, the following holdsPreprints 172797 i015
The reader could prove this independently.

5.1. Infinite product forms of continued radicals for other functions:

Proposition 1.
σ = k = 1 k + 1 ρ ( k 1 ) = e γ k = 1 k e 1 / k ρ ( k 1 )
Proof. Two known infinite product representations of the Gamma function:
Γ ( x + 1 ) = n = 1 ( 1 + 1 / n ) x 1 + x / n = e γ x n = 1 e x / n 1 + x / n
Taking the first infinite product and constructing continued radicals on both sides of the equation yields:Preprints 172797 i016
Exchanging the product operator and the continued radical operator while swapping variables yields: σ 2 = k = 1 R j = 1 ( 1 + 1 / k ) j 1 + j / k Similarly to the proof of Theorem 1, we obtain:
σ 2 = k = 1 k ( 1 + 1 / k ) 2 ρ ( k )
Applying the property of ρ ( x ) , ρ ( a ) = [ ρ ( a 1 ) ] 2 a Equation (6), further simplification completes the proof. Similarly, the second result can be proved following the second equality (details omitted). □
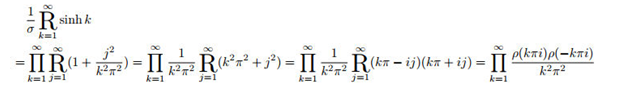
Proposition 2.
1 σ R k = 1 sinh k = k = 1 ρ ( k π i ) ρ ( k π i ) k 2 π 2
Proof. Writing out the infinite product form of the hyperbolic sine function:
sinh k k = j = 1 ( 1 + k 2 j 2 π 2 )
Constructing continued radicals on both sides of the equation yields:Preprints 172797 i017
Exchanging the product operator and the continued radical operator, and simplifying it gives:Preprints 172797 i018

References

  1. Finch, S. Mathematical Constants; Cambridge University Press, 2003.
  2. Ricksen. How to prove this infinite product? https://www.zhihu.com/question/659016725/answer/1912507630745781602, 2024.
  3. Dobinski. Product einer unendlichen Factorenreihe. Archiv Math. u. Phys 1876, 59.
  4. Wang Zhuxi and Guo Dunren. Introduction to Special Functions. Peking University Press, 2000.
Disclaimer/Publisher’s Note: The statements, opinions and data contained in all publications are solely those of the individual author(s) and contributor(s) and not of MDPI and/or the editor(s). MDPI and/or the editor(s) disclaim responsibility for any injury to people or property resulting from any ideas, methods, instructions or products referred to in the content.
Copyright: This open access article is published under a Creative Commons CC BY 4.0 license, which permit the free download, distribution, and reuse, provided that the author and preprint are cited in any reuse.
Prerpints.org logo

Preprints.org is a free preprint server supported by MDPI in Basel, Switzerland.

Subscribe

Disclaimer

Terms of Use

Privacy Policy

Privacy Settings

© 2026 MDPI (Basel, Switzerland) unless otherwise stated