Submitted:
28 July 2025
Posted:
29 July 2025
You are already at the latest version
Abstract
Keywords:
1. Introduction
2. Materials and Methods
2.1. Sample Size
2.2. Subject Population and Inclusion/Exclusion Criteria
2.3. Experimental Design, Randomization, Treatment Protocol and Allocation Concealment
2.4. Evaluation of Adverse Events and Compliance
3. Statistical Analysis
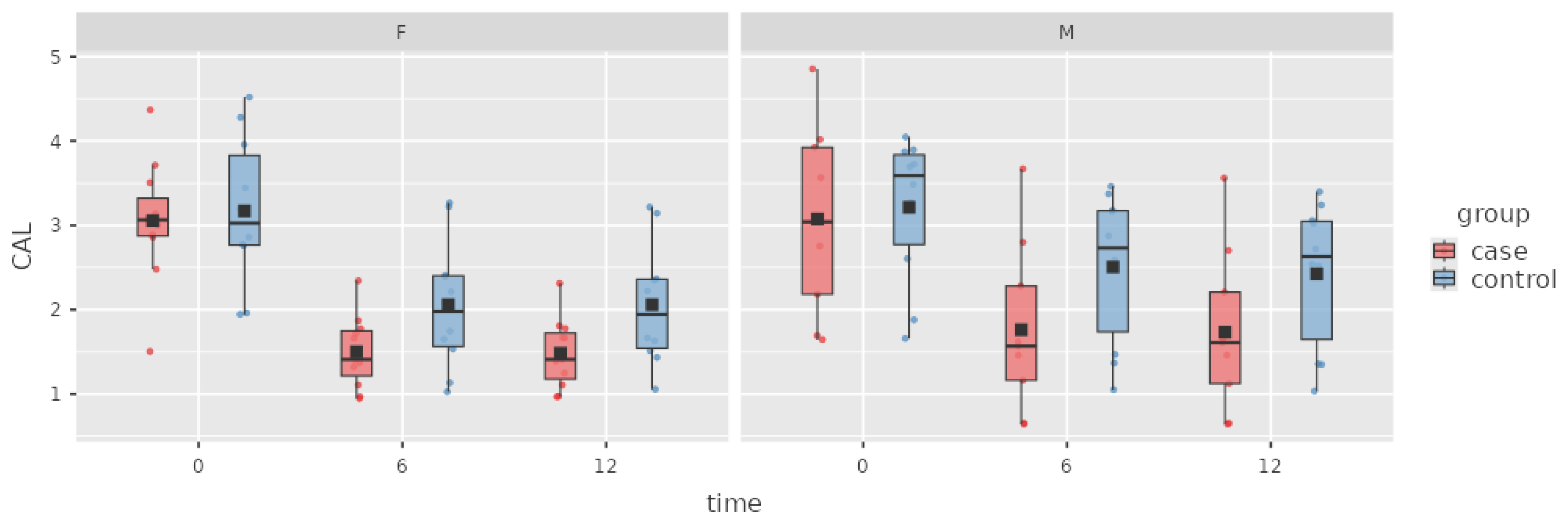
4. Results
| 0 m | 6 m | 12 m | |
|---|---|---|---|
| PPD (mm) | 4.53 ± 0.1 | 2.77 ± 0.10* | 2.67 ± 0.10 |
| CAL (mm) | 3.08 ± 0.18 | 1.65 ± 0.18* | 1.63 ± 0.18 |
| BOP (%) | 88 ± 0.01 | 20 ± 2* | 20 ± 2 |
| PI (%) | 58 ± 0.04 | 29 ± 4* | 29 ± 4 |
| 0 m | 6 m | 12 m | |
|---|---|---|---|
| PPD (mm) | 4.48 ± 0.09 | 3.22 ± 0.09* | 3.12 ± 0.09 |
| CAL (mm) | 3.17 ± 0.18 | 2.26 ± 0.18* | 2.22 ± 0.18 |
| BOP (%) | 9 ± 0.02 | 25 ± 2* | 21 ± 2 |
| PI (%) | 57 ± 0.04 | 24 ± 04* | 22 ± 4 |
| Parameter | Group | 0 m | 6 m | 12 m |
| PPD (mm) | case | 4.53 ± 0.10 | 2.77 ± 0.10 | 2.67 ± 0.1 |
| PPD (mm) | control | 4.48 ± 0.09 | 3.22 ± 0.09 | 3.12 ± 0.09 |
| Intergroup p value | 0.712 | 0.002 | 0.008 | |
| CAL (mm) | case | 3.08 ± 0.18 | 1.65 ± 0.18 | 1.63 ± 0.18 |
| CAL (mm) | control | 3.17 ± 0.18 | 2.26 ± 0.18 | 2.22 ± 0.18 |
| Intergroup p value | 1.000 | 0.122 | 0.121 | |
| BOP (%) | case | 88 ± 2 | 20 ± 2 | 20 ± 2 |
| BOP (%) | control | 90 ± 2 | 25 ± 2 | 21 ± 2 |
| Intergroup p value | 1.000 | 0.187 | 0.909 | |
| PI (%) | case | 0.58 ± 0.04 | 29 ± 4 | 29 ± 4 |
| PI (%) | control | 0.57 ± 0.04 | 24 ± 4 | 22 ± 4 |
| Intergroup p value | 1.000 | 1.000 | 1.000 |




5. Discussion
6. Study Limitations
7. Conclusions
Author Contributions
Funding
Institutional Review Board Statement
Ethics Approval
Informed Consent Statement
Data Availability Statement
Conflicts of Interest
Abbreviations
| PPD | Periodontal probing depth |
| BOP | Bleeding on probing |
| CAL | Clinical attachment loss |
| PI | Plaque index O’Leary et al.1972 |
| DS | Deep scaling |
| RP | Root planing |
| ATBs | Antibiotics |
| AMX | Amoxicillin |
| MTZ | Metronidazole |
| AgP | Aggressive periodontitis |
| EFP | European Federation of Periodontology |
| SD | Standard deviation |
References
- Papapanou, P. N., Sanz, M., Buduneli, et al. (2018). Periodontitis: Consensus report of workgroup 2 of the 2017 World Workshop on the Classification of Periodontal and Peri-Implant Diseases and Conditions. Journal of Clinical Periodontology, 45(Suppl. 20), S162–S170. [CrossRef]
- Sanz M, Herrera D, Kebschull M, et al.; On behalf of the EFP Workshop Participants and Methodological Consultants. Treatment of stage I–III periodontitis—The EFP S3 level clinical practice guideline. J Clin Periodontol. 2020;47:4–60. [CrossRef]
- Eva Skalerič, Milan Petelin, Boris Gašpirc,: Antimicrobial photodynamic therapy in treatment of aggressive periodontitis (stage III, grade C periodontitis): A comparison between photodynamic therapy and antibiotic therapy as an adjunct to non-surgical periodontal treatment, Photodiagnosis and Photodynamic Therapy, Volume 41, 2023, 103251, ISSN 1572-1000. [CrossRef]
- Karrabi M, Baghani Z. Amoxicillin/Metronidazole Dose Impact as an Adjunctive Therapy for Stage II–III Grade C Periodontitis (Aggressive Periodontitis) at 3- And 6-Month Follow-Ups: a Systematic Review and Meta-Analysis. J Oral Maxillofac Res. 2022 Mar 31;13(1):e2. [CrossRef] [PubMed] [PubMed Central]
- Caton JG, Armitage G, Berglundh T, et al.; A new classification scheme for periodontal and peri-implant diseases and conditions—Introduction and key changes from the 1999 classification. J Clin Periodontol. 2018 Jun;45 Suppl 20:S1-S8. [Medline: 29926489]. [CrossRef]
- Miguel MMV, Shaddox LM. Grade C Molar-Incisor Pattern Periodontitis in Young Adults: What Have We Learned So Far? Pathogens. 2024 Jul 12;13(7):580. [CrossRef] [PubMed] [PubMed Central]
- Al-Bitar KM, Garcia JM, Han S and Guentsch A (2024) Association between periodontal health status and quality of life: a cross-sectional study. Front. Oral. Health 5:1346814. [CrossRef]
- Teughels W, Feres M, Oud V, Martín C, Matesanz P, Herrera D. Adjunctive effect of systemic antimicrobials in periodontitis therapy: A systematic review and meta-analysis. J Clin Periodontol. 2020 Jul;47 Suppl 22:257-281. [CrossRef] [PubMed]
- Eickholz, P., Koch, R., Göde, M.,et al. (2023). Clinical benefits of systemic amoxicillin/metronidazole may depend on periodontitis stage and grade: An exploratory sub-analysis of the ABPARO trial. Journal of Clinical Periodontology, 50(9), 1239–1252. [CrossRef]
- Kebschull, M., Jepsen, S., Kocher, T., et al. (2020). Die Behandlung von Parodontitis Stadium I bis III. Die deutsche Implementierung der S3-Leitlinie “Treatment of Stage I–III Periodontitis” der European Federation of Periodontology (EFP). S3-Leitlinie. https://www.awmf.org/ uploads/tx_szleitlinien/083-043l_S3_Behandlung-von-Parodontitis- Stadium-I-III_2021-02_2.pdf:AWMF.
- Wu J, Lin L, Xiao J, et al.; Efficacy of scaling and root planning with periodontal endoscopy for residual pockets in the treatment of chronic periodontitis: a randomized controlled clinical trial. Clin Oral Investig. 2022 Jan;26(1):513-521. [Medline: 34145479]. [CrossRef]
- Herrera D, Alonso B, León R, Roldán S, Sanz M. Antimicrobial therapy in periodontitis: the use of systemic antimicrobials against the subgingival biolm. J Clin Periodontol. 2008 Sep;35(8 Suppl):45-66. [Medline: 18724841]. [CrossRef]
- Cácio Lopes Mendes, Paulo de Assis, Hermínia Annibal, et al.; Metronidazole and amoxicillin association in aggressive periodontitis: A systematic review and meta-analysis, The Saudi Dental Journal, Volume 32, Issue 6, 2020, Pages 269-275, ISSN 1013-9052(https://www.sciencedirect.com/science/article/pii/S1013905219311101). [CrossRef]
- Siebert, T. Parodontitída. 1st ed. Plzeň: Vydavatelství a nakladatelství Aleš Čeněk, 2022. ISBN 978-80-7380-895-2.
- The jamovi project (2023). jamovi. (Version 2.4) [Computer Software]. Retrieved from https://www.jamovi.org.
- R Core Team (2022). R: A Language and environment for statistical computing. (Version 4.1) [Computer software]. Retrieved from https://cran.r-project.org. (R packages retrieved from CRAN snapshot 2023-04-07).
- Gallucci, M. (2019). GAMLj: General analyses for linear models. [jamovi module]. Retrieved from https://gamlj.github.io/.
- Haffajee AD, Socransky SS, Gunsolley JC. Systemic anti-infective periodontal therapy. A systematic review. Ann Periodontol. 2003 Dec;8(1):115-81. [CrossRef]
- Heitz-Mayfield LJ. Systemic antibiotics in periodontal therapy. Aust Dent J. 2009 Sep;54 Suppl 1:S96-101. [CrossRef]
- Eickholz, P., Koch, R., Kocher, T., et al. (2019). Clinical benefits of systemic amoxicillin/metronidazole may depend on periodontitis severity and patients’ age: An exploratory sub-analysis of the ABPARO trial. Journal of Clinical Periodontology, 46, 491–501. [CrossRef]
- Mestnik MJ, Feres M, Figueiredo LC, et al.; The effects of adjunctive metronidazole plus amoxicillin in the treatment of generalized aggressive periodontitis. A 1-year double-blinded, placebo-controlled, randomized clinical trial. J Clin Periodontol 2012; 00: 000–000. [CrossRef]
- Branco-de-Almeida, L. S., Velsko, I. M., de Oliveira, I. C. V., de Oliveira, R. C. G., & Shaddox, L. M. (2023). Impact of treatment on host responses in young individuals with periodontitis. Journal of Dental Research, 102, 473–488. [CrossRef]
- Eickholz, P., Koch, R., Gode, M., et al. (2023). Clinical benefits of systemic amoxicillin/metronidazole may depend on periodontitis stage and grade: An exploratory sub-analysis of the ABPARO trial. Journal of Clinical Periodontology, 50, 1239–1252. [CrossRef]
- Faveri M, Retamal-Valdes B, Mestnik MJ, et al.; Microbiological effects of amoxicillin plus metronidazole in the treatment of young patients with Stages III and IV periodontitis: A secondary analysis from a 1-year double-blinded placebo-controlled randomized clinical trial. J Periodontol. 2023 Apr;94(4):498-508. Epub 2023 Jan 30. [CrossRef] [PubMed]
- Winkler, P. C., Benz, L., Nickles, K.,Petsos, H. C., Eickholz, P., & Dannewitz, B. (2024). Decision-making on systemic antibiotics in the management of periodontitis: A retrospective comparison of two concepts. Journal of Clinical Periodontology, 51(9), 1122–1133. [CrossRef]
- Berglundh, T., Krok, L., Liljenberg, B., et al., 1998. The use of metronidazole and amoxicillin in the treatment of advanced periodontal disease. A prospective, controlled clinical trial. J Clin Periodontol 25, 354–362. [CrossRef]
- Taiete, T., Casati, M.Z., Ribeiro, E.D.P., et al., 2016. Amoxicillin/metronidazole associated with nonsurgical therapy did not promote additional benefits in immunologic parameters in generalized aggressive periodontitis: a randomized controlled clinical trial. Quintessence Int 47, 281–292. [CrossRef]
- Yek, E.C., Cintan, S., Topcuoglu, N., et al., 2010. Efficacy of amoxicillin and metronidazole combination for the management of generalized aggressive periodontitis. J Periodontol 81, 964–974. [CrossRef]
- Mendes, C. L., Assis, P. de, Annibal, H., et al. (2020). Metronidazole and amoxicillin association in aggressive periodontitis: A systematic review and meta-analysis. The Saudi Dental Journal, 32(6), 269–275. [CrossRef]
- Lang N, Bartold P (2018) Periodontal health. J Periodontol 89(S1): S9-S16. [CrossRef]
- Boivin WG, et al. Adjunctive Antimicrobials in Nonsurgical Periodontitis Treatment: A Review of Recent Trials and Indications. J Dental Sci 2025, 10(1): 000411. [CrossRef]
- Mugri MH. Efficacy of Systemic Amoxicillin-Metronidazole in Periodontitis Patients with Diabetes Mellitus: A Systematic Review of Randomized Clinical Trials. Medicina (Kaunas). 2022 Nov 7;58(11):1605. [CrossRef] [PubMed] [PubMed Central]
- Borges I, Faveri M, Figueiredo LC, Duarte PM, Retamal-Valdes B, Montenegro SCL, Feres M. Different antibiotic protocols in the treatment of severe chronic periodontitis: A 1-year randomized trial. J Clin Periodontol. 2017 Aug;44(8):822-832. Epub 2017 Jul 26. [CrossRef] [PubMed]
- Feres M, Retamal-Valdes B, Faveri M, et al.; Proposal of a Clinical Endpoint for Periodontal Trials: The Treat-to-Target Approach. J Int Acad Periodontol. 2020 Apr 1;22(2):41-53. [PubMed]
- Castro dos Santos N, Westphal MR, Retamal-Valdes B, et al. Influence of gender on periodontal outcomes: A retrospective analysis of eight randomized clinical trials. J Periodont Res. 2024; 59: 1175-1183. [CrossRef]
- Tavakoli TT, Gholami F, Huang H, et al. Gender differences in immunological response of African-American juveniles with Grade C molar incisor pattern periodontitis. J Periodontol. 2021;1-11. [CrossRef]
- Teughels, W., Feres, M., Oud, V., Martin, C., Matesanz, P., & Herrera, D. (2020). Adjunctive effect of systemic antimicrobials in periodontitis therapy: A systematic review and meta-analysis. Journal of Clinical Periodontology, 47(Suppl 22), 257–281. [CrossRef]
- Jockel-Schneider, Y., Pretzl, B., Ehmke, B., & Schlagenhauf, U. (2018). S3-Leitlinie (Kurzversion): Adjuvante systemische Antibiotikagabe bei subgingivaler Instrumentierung im Rahmen der systematischen Parodontitistherapie. Parodontologie, 29, 387–398.
- Pretzl, B., Salzer, S., Ehmke, B., et al. (2019). Administration of systemic antibiotics during non-surgical periodontal therapy-a consensus report. Clinical Oral Investigations, 23, 3073–3085. [CrossRef]
- Benz, L., Winkler, P., Dannewitz, B., et al. (2023). Additional benefit of systemic antibiotics in subgingival instrumentation of stage III and IV periodontitis with Aggregatibacter actinomycetemcomitans: A retrospective analysis. Journal of Clinical Periodontology, 50(5), 684–693. [CrossRef]
| Case group | Control group | p value | |
|---|---|---|---|
| No. of Patients | 20 | 20 | |
| Sex (male/female) | 9/11 | 10/10 | 0.752 |
| Mean age (range) Male Female |
27.8 (18-34) 28.4 (21-33) 27.2 (18-34) |
28.7 (18-35) 26.6 (18-34) 30.8 (24-35) |
0.579 0.852 0.360 |
| Mean number of teeth/patient |
25.1 (20-27) |
24.9 (20-28) |
0.810 |
| Mean full-mouth PPD (± SD) |
4.52 ± 0.09 |
4.48 ± 0.09 |
0.756 |
| Mean full-mouth CAL (±SD) |
3.06 ± 0.20 |
3.19 ± 0.19 |
0.659 |
| Mean full-mouth BOP (±SD) |
89 ± 2 |
90 ± 2 |
0.538 |
| Mean full-mouth PI (±SD) | 58 ± 4 |
57 ± 5 |
0.809 |
Disclaimer/Publisher’s Note: The statements, opinions and data contained in all publications are solely those of the individual author(s) and contributor(s) and not of MDPI and/or the editor(s). MDPI and/or the editor(s) disclaim responsibility for any injury to people or property resulting from any ideas, methods, instructions or products referred to in the content. |
© 2025 by the authors. Licensee MDPI, Basel, Switzerland. This article is an open access article distributed under the terms and conditions of the Creative Commons Attribution (CC BY) license (http://creativecommons.org/licenses/by/4.0/).