Submitted:
26 July 2025
Posted:
29 July 2025
You are already at the latest version
Abstract
Keywords:
1. Introduction
2. Materials and Methods
2.1. Participants
2.2. Heart Rate Variability (HRV) Measurement
2.3. Statistics
3. Results
3.1. Sample Characteristics


3.2. HRV Metrics Between the Pre-Treatment MDD Cohort and the HC Group
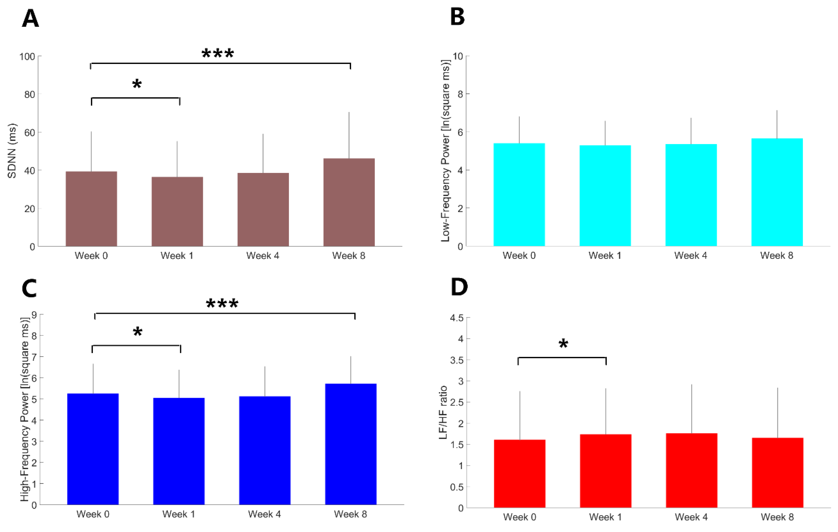
3.3. HRV Metrics from the Baseline to the End of the Treatment
3.4. HRV Metrics Between the Post-Treatment MDD Cohort and the HC Group
3.5. Correlation Analyses
4. Discussion
5. Conclusions
Author Contributions
Funding
Institutional Review Board Statement
Informed Consent Statement
Data Availability Statement
Acknowledgments
Conflicts of Interest
References
- Xiang, Y.-T.; Wang, G.; Hu, C.; Guo, T.; Ungvari, G.S.; Kilbourne, A.M.; et al. Demographic and clinical features and prescribing patterns of psychotropic medications in patients with the melancholic subtype of major depressive disorder in China. PloS one. 2012, 7, e39840. [Google Scholar] [CrossRef]
- Sun, N.; Li, Y.; Cai, Y.; Chen, J.; Shen, Y.; Sun, J.; et al. A COMPARISON OF MELANCHOLIC AND NONMELANCHOLIC RECURRENT MAJOR DEPRESSION IN HAN CHINESE WOMEN. Depression and Anxiety. 2012, 29, 4–9. [Google Scholar] [CrossRef]
- Dunlop, K.; Rizvi, S.J.; Kennedy, S.H.; Hassel, S.; Strother, S.C.; Harris, J.K.; et al. Clinical, behavioral, and neural measures of reward processing correlate with escitalopram response in depression: a Canadian Biomarker Integration Network in Depression (CAN-BIND-1) Report. Neuropsychopharmacology. 2020, 45, 1390–1397. [Google Scholar] [CrossRef]
- Geugies, H. ; Mocking RJT, Figueroa, C. A.; Groot PFC, Marsman, J.C.; Servaas, M.N.; et al. Impaired reward-related learning signals in remitted unmedicated patients with recurrent depression. Brain. 2019, 142, 2510–2522. [Google Scholar]
- Nierenberg, A.A. Residual symptoms in depression: prevalence and impact. J Clin Psychiatry. 2015, 76:e1480. [CrossRef]
- Price, J.; Cole, V.; Goodwin, G.M. Emotional side-effects of selective serotonin reuptake inhibitors: qualitative study. Br J Psychiatry. 2009, 195, 211–217. [Google Scholar] [CrossRef] [PubMed]
- McCabe, C.; Mishor, Z.; Cowen, P.J.; Harmer, C.J. Diminished neural processing of aversive and rewarding stimuli during selective serotonin reuptake inhibitor treatment. Biol Psychiatry. 2010, 67, 439–445. [Google Scholar] [CrossRef]
- Huang, J.; Xie, X.M.; Lyu, N.; Fu, B.B.; Zhao, Q.; Zhang, L.; et al. Agomelatine in the treatment of anhedonia, somatic symptoms, and sexual dysfunction in major depressive disorder. Front Psychiatry. 2023, 14, 1115008. [Google Scholar] [CrossRef]
- Gargoloff, P.D.; Corral, R.; Herbst, L.; Marquez, M.; Martinotti, G.; Gargoloff, P.R. Effectiveness of agomelatine on anhedonia in depressed patients: an outpatient, open-label, real-world study. Hum Psychopharmacol. 2016, 31, 412–418. [Google Scholar] [CrossRef]
- Guo, P.; Xu, Y.; Lv, L.; Feng, M.; Fang, Y.; Huang, W.Q.; et al. A multicenter, randomized controlled study on the efficacy of agomelatine in ameliorating anhedonia, reduced motivation, and circadian rhythm disruptions in patients with major depressive disorder (MDD). Ann Gen Psychiatry. 2023, 22, 46. [Google Scholar] [CrossRef]
- Di Giannantonio, M.; Di Iorio, G.; Guglielmo, R.; De Berardis, D.; Conti, C.M.; Acciavatti, T.; et al. Major depressive disorder, anhedonia and agomelatine: an open-label study. J Biol Regul Homeost Agents. 2011, 25, 109–114. [Google Scholar]
- Gullett, N.; Zajkowska, Z.; Walsh, A.; Harper, R.; Mondelli, V. Heart rate variability (HRV) as a way to understand associations between the autonomic nervous system (ANS) and affective states: A critical review of the literature. Int J Psychophysiol. 2023, 192, 35–42. [Google Scholar] [CrossRef]
- Hillebrand, S.; Gast, K.B.; de Mutsert, R.; Swenne, C.A.; Jukema, J.W.; Middeldorp, S.; et al. Heart rate variability and first cardiovascular event in populations without known cardiovascular disease: meta-analysis and dose-response meta-regression. Europace. 2013, 15, 742–749. [Google Scholar] [CrossRef]
- Kemp, A.H.; Quintana, D.S.; Quinn, C.R.; Hopkinson, P.; Harris, A.W. Major depressive disorder with melancholia displays robust alterations in resting state heart rate and its variability: implications for future morbidity and mortality. Front Psychol. 2014, 5, 1387. [Google Scholar] [CrossRef]
- Borrione, L.; Brunoni, A.R.; Sampaio-Junior, B.; Aparicio, L.M.; Kemp, A.H.; Bensenor, I.; et al. Associations between symptoms of depression and heart rate variability: An exploratory study. Psychiatry Res. 2018, 262, 482–487. [Google Scholar] [CrossRef] [PubMed]
- Vazquez, L.; Blood, J.D.; Wu, J.; Chaplin, T.M.; Hommer, R.E.; Rutherford, H.J.; et al. High frequency heart-rate variability predicts adolescent depressive symptoms, particularly anhedonia, across one year. J Affect Disord. 2016, 196, 243–247. [Google Scholar] [CrossRef] [PubMed]
- Yeh, T.C.; Kao, L.C.; Tzeng, N.S.; Kuo, T.B.; Huang, S.Y.; Chang, C.C.; et al. Heart rate variability in major depressive disorder and after antidepressant treatment with agomelatine and paroxetine: Findings from the Taiwan Study of Depression and Anxiety (TAISDA). Prog Neuropsychopharmacol Biol Psychiatry. 2016, 64, 60–67. [Google Scholar] [CrossRef] [PubMed]
- Chang, C.C.; Tzeng, N.S.; Yeh, C.B. ; Kuo TBJ, Huang, S. Y.; Chang, H.A. Effects of depression and melatonergic antidepressant treatment alone and in combination with sedative-hypnotics on heart rate variability: Implications for cardiovascular risk. World J Biol Psychiatry. 2018, 19, 368–378. [Google Scholar] [CrossRef]
- Lin, C.E.; Chen, L.F.; Chung, C.H.; Chang, C.C.; Chang, H.A. Resting EEG source-level connectivity pattern to predict anhedonia improvement with agomelatine treatment in patients with major depression. J Affect Disord. 2025. [CrossRef]
- Chu, C.S.; Lin, Y.Y.; Huang, C.C.; Chung, Y.A.; Park, S.Y.; Chang, W.C.; et al. Altered electroencephalography-based source functional connectivity in drug-free patients with major depressive disorder. J Affect Disord. 2025, 369, 1161–1167. [Google Scholar] [CrossRef]
- Chen, L.F.; Lin, C.E.; Chung, C.H.; Chung, Y.A.; Park, S.Y.; Chang, W.C.; et al. The association between anhedonia and prefrontal cortex activation in patients with major depression: a functional near-infrared spectroscopy study. Eur Arch Psychiatry Clin Neurosci. 2025. [CrossRef]
- Sheehan, D.V.; Lecrubier, Y.; Sheehan, K.H.; Amorim, P.; Janavs, J.; Weiller, E.; et al. The Mini-International Neuropsychiatric Interview (M.I.N.I.): the development and validation of a structured diagnostic psychiatric interview for DSM-IV and ICD-10. J Clin Psychiatry. 1998, 59 Suppl 20, 22-33;quiz 4-57.
- Montgomery, S.A.; Åsberg, M. A new depression scale designed to be sensitive to change. The British journal of psychiatry. 1979, 134, 382–389. [Google Scholar] [CrossRef]
- Snaith, R.P.; Hamilton, M.; Morley, S.; Humayan, A.; Hargreaves, D.; Trigwell, P. A scale for the assessment of hedonic tone the Snaith-Hamilton Pleasure Scale. Br J Psychiatry. 1995, 167, 99–103. [Google Scholar] [CrossRef]
- Liu, W.H.; Wang, L.Z.; Zhu, Y.H.; Li, M.H.; Chan, R.C. Clinical utility of the Snaith-Hamilton-Pleasure scale in the Chinese settings. BMC Psychiatry. 2012, 12, 184. [Google Scholar] [CrossRef] [PubMed]
- Chung, T.H.; Hanley, K.; Le, Y.-C.; Merchant, A.; Nascimento, F.; De Figueiredo, J.M.; et al. A validation study of PHQ-9 suicide item with the Columbia Suicide Severity Rating Scale in outpatients with mood disorders at National Network of Depression Centers. Journal of Affective Disorders. 2023, 320, 590–594. [Google Scholar] [CrossRef] [PubMed]
- Toussaint, A.; Hüsing, P.; Gumz, A.; Wingenfeld, K.; Härter, M.; Schramm, E.; et al. Sensitivity to change and minimal clinically important difference of the 7-item Generalized Anxiety Disorder Questionnaire (GAD-7). Journal of Affective Disorders. 2020, 265, 395–401. [Google Scholar] [CrossRef] [PubMed]
- Chang, H.A.; Fang, W.H.; Liu, Y.P.; Tzeng, N.S.; Shyu, J.F.; Wan, F.J.; et al. BDNF Val(6)(6)Met polymorphism to generalized anxiety disorder pathways: Indirect effects via attenuated parasympathetic stress-relaxation reactivity. J Abnorm Psychol. 2020, 129, 237–247. [Google Scholar] [CrossRef] [PubMed]
- Chang, H.A.; Chang, C.C.; Kuo, T.B.; Huang, S.Y. Distinguishing bipolar II depression from unipolar major depressive disorder: Differences in heart rate variability. World J Biol Psychiatry. 2015, 16, 351–360. [Google Scholar] [CrossRef]
- Whitton, A.E.; Treadway, M.T.; Pizzagalli, D.A. Reward processing dysfunction in major depression, bipolar disorder and schizophrenia. Curr Opin Psychiatry. 2015, 28, 7–12. [Google Scholar] [CrossRef]
- Haber, S.N.; Knutson, B. The reward circuit: linking primate anatomy and human imaging. Neuropsychopharmacology. 2010, 35, 4–26. [Google Scholar] [CrossRef]
- Li, X.; Yu, J.; Jiang, S.; Fang, L.; Li, Y.; Ma, S.; et al. Circadian rhythms of melatonin and its relationship with anhedonia in patients with mood disorders: a cross-sectional study. BMC Psychiatry. 2024, 24, 165. [Google Scholar] [CrossRef]
- Stefanovic, B.; Spasojevic, N.; Jovanovic, P.; Dronjak, S. Melatonin treatment affects changes in adrenal gene expression of catecholamine biosynthesizing enzymes and norepinephrine transporter in the rat model of chronic-stress-induced depression. Can J Physiol Pharmacol. 2019, 97, 685–690. [Google Scholar] [CrossRef]
- Guardiola-Lemaitre, B.; De Bodinat, C.; Delagrange, P.; Millan, M.J.; Munoz, C.; Mocaer, E. Agomelatine: mechanism of action and pharmacological profile in relation to antidepressant properties. Br J Pharmacol. 2014, 171, 3604–3619. [Google Scholar] [CrossRef] [PubMed]
- Koch, C.; Wilhelm, M.; Salzmann, S.; Rief, W.; Euteneuer, F. A meta-analysis of heart rate variability in major depression. Psychol Med. 2019, 49, 1948–1957. [Google Scholar] [CrossRef] [PubMed]
- Hu, M.X.; Milaneschi, Y.; Lamers, F.; Nolte, I.M.; Snieder, H.; Dolan, C.V.; et al. The association of depression and anxiety with cardiac autonomic activity: The role of confounding effects of antidepressants. Depress Anxiety. 2019, 36, 1163–1172. [Google Scholar] [CrossRef] [PubMed]
- Carney, R.M.; Freedland, K.E. Depression and coronary heart disease. Nat Rev Cardiol. 2017, 14, 145–155. [Google Scholar] [CrossRef]
- Nishiyama, K.; Yasue, H.; Moriyama, Y.; Tsunoda, R.; Ogawa, H.; Yoshimura, M.; et al. Acute effects of melatonin administration on cardiovascular autonomic regulation in healthy men. Am Heart J. 2001, 141:E9.
- Girouard, H.; Chulak, C.; LeJossec, M.; Lamontagne, D.; de Champlain, J. Chronic antioxidant treatment improves sympathetic functions and beta-adrenergic pathway in the spontaneously hypertensive rats. J Hypertens. 2003, 21, 179–188. [Google Scholar] [CrossRef]
- Sevoz-Couche, C.; Spyer, K.M.; Jordan, D. Inhibition of rat nucleus tractus solitarius neurones by activation of 5-HT2C receptors. Neuroreport. 2000, 11, 1785–1790. [Google Scholar] [CrossRef]
- Jordan, D. Vagal control of the heart: central serotonergic (5-HT) mechanisms. Exp Physiol. 2005, 90, 175–181. [Google Scholar] [CrossRef]
- Xia, Y.; Zhang, H.; Wang, Z.; Song, Y.; Shi, K.; Fan, J.; et al. Circadian rhythm modulation in heart rate variability as potential biomarkers for major depressive disorder: A machine learning approach. J Psychiatr Res. 2025, 184, 340–349. [Google Scholar] [CrossRef]
- Vandewalle, G.; Middleton, B.; Rajaratnam, S.M.; Stone, B.M.; Thorleifsdottir, B.; Arendt, J.; et al. Robust circadian rhythm in heart rate and its variability: influence of exogenous melatonin and photoperiod. J Sleep Res. 2007, 16, 148–155. [Google Scholar] [CrossRef]
- Kircanski, K.; Williams, L.M.; Gotlib, I.H. Heart rate variability as a biomarker of anxious depression response to antidepressant medication. Depress Anxiety. 2019, 36, 63–71. [Google Scholar] [CrossRef]



Disclaimer/Publisher’s Note: The statements, opinions and data contained in all publications are solely those of the individual author(s) and contributor(s) and not of MDPI and/or the editor(s). MDPI and/or the editor(s) disclaim responsibility for any injury to people or property resulting from any ideas, methods, instructions or products referred to in the content. |
© 2025 by the authors. Licensee MDPI, Basel, Switzerland. This article is an open access article distributed under the terms and conditions of the Creative Commons Attribution (CC BY) license (http://creativecommons.org/licenses/by/4.0/).